注意
點選此處下載完整示例程式碼
聊天機器人教程¶
建立日期:2018年8月14日 | 最後更新:2025年1月24日 | 最後驗證:2024年11月5日
在本教程中,我們將探索迴圈序列到序列模型的一個有趣用例。我們將使用康奈爾電影對話語料庫 (Cornell Movie-Dialogs Corpus) 中的電影劇本訓練一個簡單的聊天機器人。
對話模型是人工智慧研究中的熱門話題。聊天機器人可以在各種場景中找到,包括客戶服務應用和線上幫助臺。這些機器人通常由基於檢索的模型驅動,它們對特定形式的問題輸出預定義的響應。在像公司 IT 幫助臺這樣高度受限的領域中,這些模型可能足夠了,但是對於更通用的用例,它們不夠健壯。教會機器在多個領域與人類進行有意義的對話是一個遠未解決的研究問題。最近,深度學習的繁榮使得強大的生成模型成為可能,例如 Google 的神經對話模型 (Neural Conversational Model),這標誌著朝著多領域生成對話模型邁出了一大步。在本教程中,我們將在 PyTorch 中實現這種模型。
> hello?
Bot: hello .
> where am I?
Bot: you re in a hospital .
> who are you?
Bot: i m a lawyer .
> how are you doing?
Bot: i m fine .
> are you my friend?
Bot: no .
> you're under arrest
Bot: i m trying to help you !
> i'm just kidding
Bot: i m sorry .
> where are you from?
Bot: san francisco .
> it's time for me to leave
Bot: i know .
> goodbye
Bot: goodbye .
教程亮點
處理康奈爾電影對話語料庫 (Cornell Movie-Dialogs Corpus) 資料集的載入和預處理
實現帶Luong 注意力機制的序列到序列模型
使用小批次(mini-batches)聯合訓練編碼器和解碼器模型
實現貪婪搜尋解碼模組
與訓練好的聊天機器人互動
致謝
本教程借鑑了以下來源的程式碼
Yuan-Kuei Wu 的 pytorch-chatbot 實現:https://github.com/ywk991112/pytorch-chatbot
Sean Robertson 的 practical-pytorch seq2seq-translation 示例:https://github.com/spro/practical-pytorch/tree/master/seq2seq-translation
FloydHub 康奈爾電影語料庫預處理程式碼:https://github.com/floydhub/textutil-preprocess-cornell-movie-corpus
準備工作¶
首先,下載電影對話語料庫 (Movie-Dialogs Corpus) 的 zip 檔案。
# and put in a ``data/`` directory under the current directory.
#
# After that, let’s import some necessities.
#
import torch
from torch.jit import script, trace
import torch.nn as nn
from torch import optim
import torch.nn.functional as F
import csv
import random
import re
import os
import unicodedata
import codecs
from io import open
import itertools
import math
import json
# If the current `accelerator <https://pytorch.com.tw/docs/stable/torch.html#accelerators>`__ is available,
# we will use it. Otherwise, we use the CPU.
device = torch.accelerator.current_accelerator().type if torch.accelerator.is_available() else "cpu"
print(f"Using {device} device")
Using cuda device
載入和預處理資料¶
下一步是重新格式化資料檔案,並將資料載入到我們可以使用的結構中。
康奈爾電影對話語料庫 (Cornell Movie-Dialogs Corpus) 是一個豐富的電影角色對話資料集
包含 10,292 對電影角色的 220,579 個對話交流
來自 617 部電影的 9,035 個角色
總計 304,713 條話語
這個資料集規模大且多樣,語言正式度、時間段、情感等方面變化很大。我們希望這種多樣效能夠使我們的模型對多種形式的輸入和查詢具有魯棒性。
首先,我們將檢視資料檔案的一些行,以瞭解原始格式。
corpus_name = "movie-corpus"
corpus = os.path.join("data", corpus_name)
def printLines(file, n=10):
with open(file, 'rb') as datafile:
lines = datafile.readlines()
for line in lines[:n]:
print(line)
printLines(os.path.join(corpus, "utterances.jsonl"))
b'{"id": "L1045", "conversation_id": "L1044", "text": "They do not!", "speaker": "u0", "meta": {"movie_id": "m0", "parsed": [{"rt": 1, "toks": [{"tok": "They", "tag": "PRP", "dep": "nsubj", "up": 1, "dn": []}, {"tok": "do", "tag": "VBP", "dep": "ROOT", "dn": [0, 2, 3]}, {"tok": "not", "tag": "RB", "dep": "neg", "up": 1, "dn": []}, {"tok": "!", "tag": ".", "dep": "punct", "up": 1, "dn": []}]}]}, "reply-to": "L1044", "timestamp": null, "vectors": []}\n'
b'{"id": "L1044", "conversation_id": "L1044", "text": "They do to!", "speaker": "u2", "meta": {"movie_id": "m0", "parsed": [{"rt": 1, "toks": [{"tok": "They", "tag": "PRP", "dep": "nsubj", "up": 1, "dn": []}, {"tok": "do", "tag": "VBP", "dep": "ROOT", "dn": [0, 2, 3]}, {"tok": "to", "tag": "TO", "dep": "dobj", "up": 1, "dn": []}, {"tok": "!", "tag": ".", "dep": "punct", "up": 1, "dn": []}]}]}, "reply-to": null, "timestamp": null, "vectors": []}\n'
b'{"id": "L985", "conversation_id": "L984", "text": "I hope so.", "speaker": "u0", "meta": {"movie_id": "m0", "parsed": [{"rt": 1, "toks": [{"tok": "I", "tag": "PRP", "dep": "nsubj", "up": 1, "dn": []}, {"tok": "hope", "tag": "VBP", "dep": "ROOT", "dn": [0, 2, 3]}, {"tok": "so", "tag": "RB", "dep": "advmod", "up": 1, "dn": []}, {"tok": ".", "tag": ".", "dep": "punct", "up": 1, "dn": []}]}]}, "reply-to": "L984", "timestamp": null, "vectors": []}\n'
b'{"id": "L984", "conversation_id": "L984", "text": "She okay?", "speaker": "u2", "meta": {"movie_id": "m0", "parsed": [{"rt": 1, "toks": [{"tok": "She", "tag": "PRP", "dep": "nsubj", "up": 1, "dn": []}, {"tok": "okay", "tag": "RB", "dep": "ROOT", "dn": [0, 2]}, {"tok": "?", "tag": ".", "dep": "punct", "up": 1, "dn": []}]}]}, "reply-to": null, "timestamp": null, "vectors": []}\n'
b'{"id": "L925", "conversation_id": "L924", "text": "Let\'s go.", "speaker": "u0", "meta": {"movie_id": "m0", "parsed": [{"rt": 0, "toks": [{"tok": "Let", "tag": "VB", "dep": "ROOT", "dn": [2, 3]}, {"tok": "\'s", "tag": "PRP", "dep": "nsubj", "up": 2, "dn": []}, {"tok": "go", "tag": "VB", "dep": "ccomp", "up": 0, "dn": [1]}, {"tok": ".", "tag": ".", "dep": "punct", "up": 0, "dn": []}]}]}, "reply-to": "L924", "timestamp": null, "vectors": []}\n'
b'{"id": "L924", "conversation_id": "L924", "text": "Wow", "speaker": "u2", "meta": {"movie_id": "m0", "parsed": [{"rt": 0, "toks": [{"tok": "Wow", "tag": "UH", "dep": "ROOT", "dn": []}]}]}, "reply-to": null, "timestamp": null, "vectors": []}\n'
b'{"id": "L872", "conversation_id": "L870", "text": "Okay -- you\'re gonna need to learn how to lie.", "speaker": "u0", "meta": {"movie_id": "m0", "parsed": [{"rt": 4, "toks": [{"tok": "Okay", "tag": "UH", "dep": "intj", "up": 4, "dn": []}, {"tok": "--", "tag": ":", "dep": "punct", "up": 4, "dn": []}, {"tok": "you", "tag": "PRP", "dep": "nsubj", "up": 4, "dn": []}, {"tok": "\'re", "tag": "VBP", "dep": "aux", "up": 4, "dn": []}, {"tok": "gon", "tag": "VBG", "dep": "ROOT", "dn": [0, 1, 2, 3, 6, 12]}, {"tok": "na", "tag": "TO", "dep": "aux", "up": 6, "dn": []}, {"tok": "need", "tag": "VB", "dep": "xcomp", "up": 4, "dn": [5, 8]}, {"tok": "to", "tag": "TO", "dep": "aux", "up": 8, "dn": []}, {"tok": "learn", "tag": "VB", "dep": "xcomp", "up": 6, "dn": [7, 11]}, {"tok": "how", "tag": "WRB", "dep": "advmod", "up": 11, "dn": []}, {"tok": "to", "tag": "TO", "dep": "aux", "up": 11, "dn": []}, {"tok": "lie", "tag": "VB", "dep": "xcomp", "up": 8, "dn": [9, 10]}, {"tok": ".", "tag": ".", "dep": "punct", "up": 4, "dn": []}]}]}, "reply-to": "L871", "timestamp": null, "vectors": []}\n'
b'{"id": "L871", "conversation_id": "L870", "text": "No", "speaker": "u2", "meta": {"movie_id": "m0", "parsed": [{"rt": 0, "toks": [{"tok": "No", "tag": "UH", "dep": "ROOT", "dn": []}]}]}, "reply-to": "L870", "timestamp": null, "vectors": []}\n'
b'{"id": "L870", "conversation_id": "L870", "text": "I\'m kidding. You know how sometimes you just become this \\"persona\\"? And you don\'t know how to quit?", "speaker": "u0", "meta": {"movie_id": "m0", "parsed": [{"rt": 2, "toks": [{"tok": "I", "tag": "PRP", "dep": "nsubj", "up": 2, "dn": []}, {"tok": "\'m", "tag": "VBP", "dep": "aux", "up": 2, "dn": []}, {"tok": "kidding", "tag": "VBG", "dep": "ROOT", "dn": [0, 1, 3]}, {"tok": ".", "tag": ".", "dep": "punct", "up": 2, "dn": [4]}, {"tok": " ", "tag": "_SP", "dep": "", "up": 3, "dn": []}]}, {"rt": 1, "toks": [{"tok": "You", "tag": "PRP", "dep": "nsubj", "up": 1, "dn": []}, {"tok": "know", "tag": "VBP", "dep": "ROOT", "dn": [0, 6, 11]}, {"tok": "how", "tag": "WRB", "dep": "advmod", "up": 3, "dn": []}, {"tok": "sometimes", "tag": "RB", "dep": "advmod", "up": 6, "dn": [2]}, {"tok": "you", "tag": "PRP", "dep": "nsubj", "up": 6, "dn": []}, {"tok": "just", "tag": "RB", "dep": "advmod", "up": 6, "dn": []}, {"tok": "become", "tag": "VBP", "dep": "ccomp", "up": 1, "dn": [3, 4, 5, 9]}, {"tok": "this", "tag": "DT", "dep": "det", "up": 9, "dn": []}, {"tok": "\\"", "tag": "``", "dep": "punct", "up": 9, "dn": []}, {"tok": "persona", "tag": "NN", "dep": "attr", "up": 6, "dn": [7, 8, 10]}, {"tok": "\\"", "tag": "\'\'", "dep": "punct", "up": 9, "dn": []}, {"tok": "?", "tag": ".", "dep": "punct", "up": 1, "dn": [12]}, {"tok": " ", "tag": "_SP", "dep": "", "up": 11, "dn": []}]}, {"rt": 4, "toks": [{"tok": "And", "tag": "CC", "dep": "cc", "up": 4, "dn": []}, {"tok": "you", "tag": "PRP", "dep": "nsubj", "up": 4, "dn": []}, {"tok": "do", "tag": "VBP", "dep": "aux", "up": 4, "dn": []}, {"tok": "n\'t", "tag": "RB", "dep": "neg", "up": 4, "dn": []}, {"tok": "know", "tag": "VB", "dep": "ROOT", "dn": [0, 1, 2, 3, 7, 8]}, {"tok": "how", "tag": "WRB", "dep": "advmod", "up": 7, "dn": []}, {"tok": "to", "tag": "TO", "dep": "aux", "up": 7, "dn": []}, {"tok": "quit", "tag": "VB", "dep": "xcomp", "up": 4, "dn": [5, 6]}, {"tok": "?", "tag": ".", "dep": "punct", "up": 4, "dn": []}]}]}, "reply-to": null, "timestamp": null, "vectors": []}\n'
b'{"id": "L869", "conversation_id": "L866", "text": "Like my fear of wearing pastels?", "speaker": "u0", "meta": {"movie_id": "m0", "parsed": [{"rt": 0, "toks": [{"tok": "Like", "tag": "IN", "dep": "ROOT", "dn": [2, 6]}, {"tok": "my", "tag": "PRP$", "dep": "poss", "up": 2, "dn": []}, {"tok": "fear", "tag": "NN", "dep": "pobj", "up": 0, "dn": [1, 3]}, {"tok": "of", "tag": "IN", "dep": "prep", "up": 2, "dn": [4]}, {"tok": "wearing", "tag": "VBG", "dep": "pcomp", "up": 3, "dn": [5]}, {"tok": "pastels", "tag": "NNS", "dep": "dobj", "up": 4, "dn": []}, {"tok": "?", "tag": ".", "dep": "punct", "up": 0, "dn": []}]}]}, "reply-to": "L868", "timestamp": null, "vectors": []}\n'
建立格式化資料檔案¶
為了方便起見,我們將建立一個格式良好的資料檔案,其中每一行包含一個用製表符分隔的查詢句子和響應句子對。
以下函式有助於解析原始的 utterances.jsonl 資料檔案。
loadLinesAndConversations將檔案的每一行拆分成一個包含欄位lineID,characterID和 text 的行字典,然後將它們按欄位conversationID,movieID和 lines 分組到對話中。extractSentencePairs從對話中提取句子對
# Splits each line of the file to create lines and conversations
def loadLinesAndConversations(fileName):
lines = {}
conversations = {}
with open(fileName, 'r', encoding='iso-8859-1') as f:
for line in f:
lineJson = json.loads(line)
# Extract fields for line object
lineObj = {}
lineObj["lineID"] = lineJson["id"]
lineObj["characterID"] = lineJson["speaker"]
lineObj["text"] = lineJson["text"]
lines[lineObj['lineID']] = lineObj
# Extract fields for conversation object
if lineJson["conversation_id"] not in conversations:
convObj = {}
convObj["conversationID"] = lineJson["conversation_id"]
convObj["movieID"] = lineJson["meta"]["movie_id"]
convObj["lines"] = [lineObj]
else:
convObj = conversations[lineJson["conversation_id"]]
convObj["lines"].insert(0, lineObj)
conversations[convObj["conversationID"]] = convObj
return lines, conversations
# Extracts pairs of sentences from conversations
def extractSentencePairs(conversations):
qa_pairs = []
for conversation in conversations.values():
# Iterate over all the lines of the conversation
for i in range(len(conversation["lines"]) - 1): # We ignore the last line (no answer for it)
inputLine = conversation["lines"][i]["text"].strip()
targetLine = conversation["lines"][i+1]["text"].strip()
# Filter wrong samples (if one of the lists is empty)
if inputLine and targetLine:
qa_pairs.append([inputLine, targetLine])
return qa_pairs
現在我們將呼叫這些函式並建立檔案。我們將它命名為 formatted_movie_lines.txt。
# Define path to new file
datafile = os.path.join(corpus, "formatted_movie_lines.txt")
delimiter = '\t'
# Unescape the delimiter
delimiter = str(codecs.decode(delimiter, "unicode_escape"))
# Initialize lines dict and conversations dict
lines = {}
conversations = {}
# Load lines and conversations
print("\nProcessing corpus into lines and conversations...")
lines, conversations = loadLinesAndConversations(os.path.join(corpus, "utterances.jsonl"))
# Write new csv file
print("\nWriting newly formatted file...")
with open(datafile, 'w', encoding='utf-8') as outputfile:
writer = csv.writer(outputfile, delimiter=delimiter, lineterminator='\n')
for pair in extractSentencePairs(conversations):
writer.writerow(pair)
# Print a sample of lines
print("\nSample lines from file:")
printLines(datafile)
Processing corpus into lines and conversations...
Writing newly formatted file...
Sample lines from file:
b'They do to!\tThey do not!\n'
b'She okay?\tI hope so.\n'
b"Wow\tLet's go.\n"
b'"I\'m kidding. You know how sometimes you just become this ""persona""? And you don\'t know how to quit?"\tNo\n'
b"No\tOkay -- you're gonna need to learn how to lie.\n"
b"I figured you'd get to the good stuff eventually.\tWhat good stuff?\n"
b'What good stuff?\t"The ""real you""."\n'
b'"The ""real you""."\tLike my fear of wearing pastels?\n'
b'do you listen to this crap?\tWhat crap?\n'
b"What crap?\tMe. This endless ...blonde babble. I'm like, boring myself.\n"
載入和修剪資料¶
下一步是建立一個詞彙表,並將查詢/響應句子對載入到記憶體中。
請注意,我們處理的是詞語序列,它們沒有隱式對映到離散的數值空間。因此,我們必須透過將資料集中遇到的每個唯一詞對映到索引值來建立一個數值空間。
為此,我們定義了一個 Voc 類,它維護一個從詞到索引的對映,一個從索引到詞的反向對映,每個詞的計數以及總詞數。該類提供了將詞新增到詞彙表(addWord)、新增句子中的所有詞(addSentence)和修剪不常出現的詞(trim)的方法。稍後將詳細介紹修剪。
# Default word tokens
PAD_token = 0 # Used for padding short sentences
SOS_token = 1 # Start-of-sentence token
EOS_token = 2 # End-of-sentence token
class Voc:
def __init__(self, name):
self.name = name
self.trimmed = False
self.word2index = {}
self.word2count = {}
self.index2word = {PAD_token: "PAD", SOS_token: "SOS", EOS_token: "EOS"}
self.num_words = 3 # Count SOS, EOS, PAD
def addSentence(self, sentence):
for word in sentence.split(' '):
self.addWord(word)
def addWord(self, word):
if word not in self.word2index:
self.word2index[word] = self.num_words
self.word2count[word] = 1
self.index2word[self.num_words] = word
self.num_words += 1
else:
self.word2count[word] += 1
# Remove words below a certain count threshold
def trim(self, min_count):
if self.trimmed:
return
self.trimmed = True
keep_words = []
for k, v in self.word2count.items():
if v >= min_count:
keep_words.append(k)
print('keep_words {} / {} = {:.4f}'.format(
len(keep_words), len(self.word2index), len(keep_words) / len(self.word2index)
))
# Reinitialize dictionaries
self.word2index = {}
self.word2count = {}
self.index2word = {PAD_token: "PAD", SOS_token: "SOS", EOS_token: "EOS"}
self.num_words = 3 # Count default tokens
for word in keep_words:
self.addWord(word)
現在我們可以組裝我們的詞彙表和查詢/響應句子對。在準備使用這些資料之前,我們必須進行一些預處理。
首先,我們必須使用 unicodeToAscii 將 Unicode 字串轉換為 ASCII。接下來,我們將所有字母轉換為小寫,並修剪除基本標點符號外的所有非字母字元(normalizeString)。最後,為了幫助訓練收斂,我們將過濾掉長度超過 MAX_LENGTH 閾值的句子(filterPairs)。
MAX_LENGTH = 10 # Maximum sentence length to consider
# Turn a Unicode string to plain ASCII, thanks to
# https://stackoverflow.com/a/518232/2809427
def unicodeToAscii(s):
return ''.join(
c for c in unicodedata.normalize('NFD', s)
if unicodedata.category(c) != 'Mn'
)
# Lowercase, trim, and remove non-letter characters
def normalizeString(s):
s = unicodeToAscii(s.lower().strip())
s = re.sub(r"([.!?])", r" \1", s)
s = re.sub(r"[^a-zA-Z.!?]+", r" ", s)
s = re.sub(r"\s+", r" ", s).strip()
return s
# Read query/response pairs and return a voc object
def readVocs(datafile, corpus_name):
print("Reading lines...")
# Read the file and split into lines
lines = open(datafile, encoding='utf-8').\
read().strip().split('\n')
# Split every line into pairs and normalize
pairs = [[normalizeString(s) for s in l.split('\t')] for l in lines]
voc = Voc(corpus_name)
return voc, pairs
# Returns True if both sentences in a pair 'p' are under the MAX_LENGTH threshold
def filterPair(p):
# Input sequences need to preserve the last word for EOS token
return len(p[0].split(' ')) < MAX_LENGTH and len(p[1].split(' ')) < MAX_LENGTH
# Filter pairs using the ``filterPair`` condition
def filterPairs(pairs):
return [pair for pair in pairs if filterPair(pair)]
# Using the functions defined above, return a populated voc object and pairs list
def loadPrepareData(corpus, corpus_name, datafile, save_dir):
print("Start preparing training data ...")
voc, pairs = readVocs(datafile, corpus_name)
print("Read {!s} sentence pairs".format(len(pairs)))
pairs = filterPairs(pairs)
print("Trimmed to {!s} sentence pairs".format(len(pairs)))
print("Counting words...")
for pair in pairs:
voc.addSentence(pair[0])
voc.addSentence(pair[1])
print("Counted words:", voc.num_words)
return voc, pairs
# Load/Assemble voc and pairs
save_dir = os.path.join("data", "save")
voc, pairs = loadPrepareData(corpus, corpus_name, datafile, save_dir)
# Print some pairs to validate
print("\npairs:")
for pair in pairs[:10]:
print(pair)
Start preparing training data ...
Reading lines...
Read 221282 sentence pairs
Trimmed to 64313 sentence pairs
Counting words...
Counted words: 18082
pairs:
['they do to !', 'they do not !']
['she okay ?', 'i hope so .']
['wow', 'let s go .']
['what good stuff ?', 'the real you .']
['the real you .', 'like my fear of wearing pastels ?']
['do you listen to this crap ?', 'what crap ?']
['well no . . .', 'then that s all you had to say .']
['then that s all you had to say .', 'but']
['but', 'you always been this selfish ?']
['have fun tonight ?', 'tons']
另一種有助於在訓練期間更快收斂的策略是修剪詞彙表中很少使用的詞。減小特徵空間也將降低模型必須學習逼近的函式的難度。我們將透過兩步完成此操作
使用
voc.trim函式修剪使用次數低於MIN_COUNT閾值的詞。過濾掉包含已修剪詞語的句子對。
MIN_COUNT = 3 # Minimum word count threshold for trimming
def trimRareWords(voc, pairs, MIN_COUNT):
# Trim words used under the MIN_COUNT from the voc
voc.trim(MIN_COUNT)
# Filter out pairs with trimmed words
keep_pairs = []
for pair in pairs:
input_sentence = pair[0]
output_sentence = pair[1]
keep_input = True
keep_output = True
# Check input sentence
for word in input_sentence.split(' '):
if word not in voc.word2index:
keep_input = False
break
# Check output sentence
for word in output_sentence.split(' '):
if word not in voc.word2index:
keep_output = False
break
# Only keep pairs that do not contain trimmed word(s) in their input or output sentence
if keep_input and keep_output:
keep_pairs.append(pair)
print("Trimmed from {} pairs to {}, {:.4f} of total".format(len(pairs), len(keep_pairs), len(keep_pairs) / len(pairs)))
return keep_pairs
# Trim voc and pairs
pairs = trimRareWords(voc, pairs, MIN_COUNT)
keep_words 7833 / 18079 = 0.4333
Trimmed from 64313 pairs to 53131, 0.8261 of total
為模型準備資料¶
儘管我們已經付出了很多努力來準備和整理資料,將其放入一個很好的詞彙表物件和句子對列表中,但我們的模型最終期望將數值型的 torch 張量作為輸入。為模型準備處理好的資料的一種方法可以在seq2seq 翻譯教程中找到。在該教程中,我們使用的批次大小為 1,這意味著我們只需將句子對中的詞語轉換為它們在詞彙表中對應的索引,然後將其輸入到模型中。
但是,如果您想加快訓練速度和/或希望利用 GPU 並行化能力,您將需要使用小批次(mini-batches)進行訓練。
使用小批次(mini-batches)也意味著我們必須注意批次中句子長度的變化。為了在同一批次中適應不同大小的句子,我們將批次輸入的張量形狀設為 (max_length, batch_size),其中長度小於 max_length 的句子在 EOS_token 之後進行零填充。
如果我們簡單地將英語句子透過將詞語轉換為索引(indexesFromSentence)並進行零填充來轉換為張量,我們的張量形狀將是 (batch_size, max_length),並且對第一維進行索引將返回跨所有時間步的完整序列。然而,我們需要能夠沿著時間步和跨批次中的所有序列對批次進行索引。因此,我們將輸入批次的形狀轉置為 (max_length, batch_size),這樣對第一維進行索引將返回跨批次中所有句子的一個時間步。我們在 zeroPadding 函式中隱式處理了這個轉置。
The inputVar 函式處理將句子轉換為張量的過程,最終建立一個形狀正確的零填充張量。它還返回批次中每個序列的 lengths 張量,該張量稍後將傳遞給我們的解碼器。
The outputVar 函式執行與 inputVar 類似的功能,但它不返回 lengths 張量,而是返回一個二進位制掩碼張量和一個最大目標句子長度。二進位制掩碼張量與輸出目標張量具有相同的形狀,但是所有是 PAD_token 的元素都是 0,而其他元素都是 1。
batch2TrainData 簡單地接受一組句子對,並使用上述函式返回輸入和目標張量。
def indexesFromSentence(voc, sentence):
return [voc.word2index[word] for word in sentence.split(' ')] + [EOS_token]
def zeroPadding(l, fillvalue=PAD_token):
return list(itertools.zip_longest(*l, fillvalue=fillvalue))
def binaryMatrix(l, value=PAD_token):
m = []
for i, seq in enumerate(l):
m.append([])
for token in seq:
if token == PAD_token:
m[i].append(0)
else:
m[i].append(1)
return m
# Returns padded input sequence tensor and lengths
def inputVar(l, voc):
indexes_batch = [indexesFromSentence(voc, sentence) for sentence in l]
lengths = torch.tensor([len(indexes) for indexes in indexes_batch])
padList = zeroPadding(indexes_batch)
padVar = torch.LongTensor(padList)
return padVar, lengths
# Returns padded target sequence tensor, padding mask, and max target length
def outputVar(l, voc):
indexes_batch = [indexesFromSentence(voc, sentence) for sentence in l]
max_target_len = max([len(indexes) for indexes in indexes_batch])
padList = zeroPadding(indexes_batch)
mask = binaryMatrix(padList)
mask = torch.BoolTensor(mask)
padVar = torch.LongTensor(padList)
return padVar, mask, max_target_len
# Returns all items for a given batch of pairs
def batch2TrainData(voc, pair_batch):
pair_batch.sort(key=lambda x: len(x[0].split(" ")), reverse=True)
input_batch, output_batch = [], []
for pair in pair_batch:
input_batch.append(pair[0])
output_batch.append(pair[1])
inp, lengths = inputVar(input_batch, voc)
output, mask, max_target_len = outputVar(output_batch, voc)
return inp, lengths, output, mask, max_target_len
# Example for validation
small_batch_size = 5
batches = batch2TrainData(voc, [random.choice(pairs) for _ in range(small_batch_size)])
input_variable, lengths, target_variable, mask, max_target_len = batches
print("input_variable:", input_variable)
print("lengths:", lengths)
print("target_variable:", target_variable)
print("mask:", mask)
print("max_target_len:", max_target_len)
input_variable: tensor([[ 86, 24, 140, 829, 62],
[ 6, 355, 1362, 206, 566],
[ 36, 735, 14, 72, 1919],
[ 17, 140, 140, 2160, 85],
[ 62, 28, 158, 14, 14],
[1012, 461, 140, 2, 2],
[3223, 10, 14, 0, 0],
[1012, 2, 2, 0, 0],
[ 6, 0, 0, 0, 0],
[ 2, 0, 0, 0, 0]])
lengths: tensor([10, 8, 8, 6, 6])
target_variable: tensor([[ 18, 11, 101, 93, 277],
[ 483, 113, 19, 311, 72],
[ 5, 241, 10, 72, 10],
[ 22, 706, 2, 19, 2],
[2010, 14, 0, 24, 0],
[1556, 2, 0, 136, 0],
[ 14, 0, 0, 5, 0],
[ 2, 0, 0, 48, 0],
[ 0, 0, 0, 14, 0],
[ 0, 0, 0, 2, 0]])
mask: tensor([[ True, True, True, True, True],
[ True, True, True, True, True],
[ True, True, True, True, True],
[ True, True, True, True, True],
[ True, True, False, True, False],
[ True, True, False, True, False],
[ True, False, False, True, False],
[ True, False, False, True, False],
[False, False, False, True, False],
[False, False, False, True, False]])
max_target_len: 10
定義模型¶
Seq2Seq 模型¶
我們的聊天機器人的核心是一個序列到序列 (seq2seq) 模型。seq2seq 模型的目標是接收一個可變長度的序列作為輸入,並使用一個固定大小的模型返回一個可變長度的序列作為輸出。
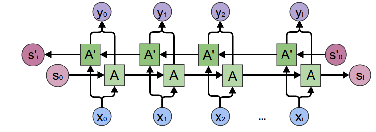
Sutskever 等人發現,透過將兩個獨立的迴圈神經網路(RNN)結合起來使用,我們可以完成這項任務。其中一個 RNN 充當編碼器,它將可變長度的輸入序列編碼為固定長度的上下文向量。理論上,這個上下文向量(RNN 的最終隱藏層)將包含輸入到機器人中的查詢句子的語義資訊。第二個 RNN 是一個解碼器,它接收一個輸入詞和上下文向量,並返回對序列中下一個詞的猜測以及在下一次迭代中使用的隱藏狀態。
圖片來源:https://jeddy92.github.io/JEddy92.github.io/ts_seq2seq_intro/
編碼器¶
編碼器 RNN 逐個時間步(例如,詞)迭代輸入句子,在每個時間步輸出一個“輸出”向量和一個“隱藏狀態”向量。然後將隱藏狀態向量傳遞到下一個時間步,同時記錄輸出向量。編碼器將它在序列中每個點看到的上下文轉換為高維空間中的一組點,解碼器將使用這些點為給定任務生成有意義的輸出。
我們的編碼器的核心是一個多層門控迴圈單元(Gated Recurrent Unit,GRU),由Cho 等人在 2014 年發明。我們將使用 GRU 的雙向變體,這意味著本質上有兩個獨立的 RNN:一個以正常順序饋送輸入序列,另一個以反向順序饋送輸入序列。每個網路的輸出在每個時間步相加。使用雙向 GRU 將使我們能夠同時編碼過去和未來的上下文。
雙向 RNN
圖片來源:https://colah.github.io/posts/2015-09-NN-Types-FP/
請注意,使用了一個 embedding 層來將我們的詞索引編碼到任意大小的特徵空間中。對於我們的模型,該層將每個詞對映到一個大小為 hidden_size 的特徵空間。訓練後,這些值應編碼具有相似含義的詞之間的語義相似性。
最後,如果將填充後的序列批次傳遞給 RNN 模組,我們必須在 RNN 傳遞前後使用 nn.utils.rnn.pack_padded_sequence 和 nn.utils.rnn.pad_packed_sequence 分別打包和解包填充。
計算圖
將詞索引轉換為嵌入。
為 RNN 模組打包填充後的序列批次。
透過 GRU 進行前向傳播。
解包填充。
對雙向 GRU 輸出求和。
返回輸出和最終隱藏狀態。
輸入
input_seq: 輸入句子批次;形狀=(max_length, batch_size)input_lengths: 批次中每個句子對應的長度列表;形狀=(batch_size)hidden: 隱藏狀態;形狀=(n_layers x num_directions, batch_size, hidden_size)
輸出
outputs: GRU 最後一層隱藏層的輸出特徵(雙向輸出之和);形狀=(max_length, batch_size, hidden_size)hidden: GRU 更新後的隱藏狀態;形狀=(n_layers x num_directions, batch_size, hidden_size)
class EncoderRNN(nn.Module):
def __init__(self, hidden_size, embedding, n_layers=1, dropout=0):
super(EncoderRNN, self).__init__()
self.n_layers = n_layers
self.hidden_size = hidden_size
self.embedding = embedding
# Initialize GRU; the input_size and hidden_size parameters are both set to 'hidden_size'
# because our input size is a word embedding with number of features == hidden_size
self.gru = nn.GRU(hidden_size, hidden_size, n_layers,
dropout=(0 if n_layers == 1 else dropout), bidirectional=True)
def forward(self, input_seq, input_lengths, hidden=None):
# Convert word indexes to embeddings
embedded = self.embedding(input_seq)
# Pack padded batch of sequences for RNN module
packed = nn.utils.rnn.pack_padded_sequence(embedded, input_lengths)
# Forward pass through GRU
outputs, hidden = self.gru(packed, hidden)
# Unpack padding
outputs, _ = nn.utils.rnn.pad_packed_sequence(outputs)
# Sum bidirectional GRU outputs
outputs = outputs[:, :, :self.hidden_size] + outputs[:, : ,self.hidden_size:]
# Return output and final hidden state
return outputs, hidden
解碼器¶
解碼器 RNN 以逐詞的方式生成響應句子。它使用編碼器的上下文向量和內部隱藏狀態來生成序列中的下一個詞。它繼續生成詞,直到輸出一個 EOS_token,表示句子結束。香草(vanilla)seq2seq 解碼器的一個常見問題是,如果完全依賴上下文向量來編碼整個輸入序列的含義,很可能會發生資訊丟失。在處理長輸入序列時尤其如此,這極大地限制瞭解碼器的能力。
為了解決這個問題,Bahdanau 等人建立了一種“注意力機制”,它允許解碼器關注輸入序列的某些部分,而不是在每個步驟都使用整個固定上下文。
從高層次上看,注意力是使用解碼器當前的隱藏狀態和編碼器的輸出計算的。輸出注意力權重與輸入序列形狀相同,我們可以將它們乘以編碼器輸出,得到一個加權和,它指示編碼器輸出中應該關注的部分。Sean Robertson 的圖很好地描述了這一點
Luong 等人在 Bahdanau 等人的基礎上改進,建立了“全域性注意力”(Global attention)。主要區別在於,“全域性注意力”考慮編碼器的所有隱藏狀態,而不是像 Bahdanau 等人的“區域性注意力”(Local attention)那樣只考慮當前時間步的編碼器隱藏狀態。另一個區別是,“全域性注意力”僅使用解碼器當前時間步的隱藏狀態來計算注意力權重或能量。Bahdanau 等人的注意力計算需要知道解碼器在前一時間步的狀態。此外,Luong 等人 提供了各種計算編碼器輸出和解碼器輸出之間注意力能量的方法,這些方法被稱為“評分函式”(score functions)
其中 \(h_t\) = 當前目標解碼器狀態,\(\bar{h}_s\) = 所有編碼器狀態。
總的來說,全域性注意力機制可以用下圖概括。請注意,我們將“注意力層”(Attention Layer)實現為一個單獨的 nn.Module,名為 Attn。該模組的輸出是一個經過 softmax 歸一化的權重張量,形狀為 (batch_size, 1, max_length)。
# Luong attention layer
class Attn(nn.Module):
def __init__(self, method, hidden_size):
super(Attn, self).__init__()
self.method = method
if self.method not in ['dot', 'general', 'concat']:
raise ValueError(self.method, "is not an appropriate attention method.")
self.hidden_size = hidden_size
if self.method == 'general':
self.attn = nn.Linear(self.hidden_size, hidden_size)
elif self.method == 'concat':
self.attn = nn.Linear(self.hidden_size * 2, hidden_size)
self.v = nn.Parameter(torch.FloatTensor(hidden_size))
def dot_score(self, hidden, encoder_output):
return torch.sum(hidden * encoder_output, dim=2)
def general_score(self, hidden, encoder_output):
energy = self.attn(encoder_output)
return torch.sum(hidden * energy, dim=2)
def concat_score(self, hidden, encoder_output):
energy = self.attn(torch.cat((hidden.expand(encoder_output.size(0), -1, -1), encoder_output), 2)).tanh()
return torch.sum(self.v * energy, dim=2)
def forward(self, hidden, encoder_outputs):
# Calculate the attention weights (energies) based on the given method
if self.method == 'general':
attn_energies = self.general_score(hidden, encoder_outputs)
elif self.method == 'concat':
attn_energies = self.concat_score(hidden, encoder_outputs)
elif self.method == 'dot':
attn_energies = self.dot_score(hidden, encoder_outputs)
# Transpose max_length and batch_size dimensions
attn_energies = attn_energies.t()
# Return the softmax normalized probability scores (with added dimension)
return F.softmax(attn_energies, dim=1).unsqueeze(1)
既然我們已經定義了注意力子模組,就可以實現實際的解碼器模型了。對於解碼器,我們將手動地一次饋送批次中的一個時間步。這意味著我們的嵌入詞張量和 GRU 輸出都將具有形狀 (1, batch_size, hidden_size)。
計算圖
獲取當前輸入詞的嵌入。
透過單向 GRU 進行前向傳播。
從 (2) 中的當前 GRU 輸出計算注意力權重。
將注意力權重乘以編碼器輸出,得到新的“加權和”上下文向量。
使用 Luong 方程 5 拼接加權上下文向量和 GRU 輸出。
使用 Luong 方程 6 預測下一個詞(不含 softmax)。
返回輸出和最終隱藏狀態。
輸入
input_step: 輸入序列批次中的一個時間步(一個詞);形狀=(1, batch_size)last_hidden: GRU 的最終隱藏層;形狀=(n_layers x num_directions, batch_size, hidden_size)encoder_outputs: 編碼器模型的輸出;形狀=(max_length, batch_size, hidden_size)
輸出
output: 經過 softmax 歸一化的張量,給出解碼序列中每個詞成為正確下一個詞的機率;形狀=(batch_size, voc.num_words)hidden: GRU 的最終隱藏狀態;形狀=(n_layers x num_directions, batch_size, hidden_size)
class LuongAttnDecoderRNN(nn.Module):
def __init__(self, attn_model, embedding, hidden_size, output_size, n_layers=1, dropout=0.1):
super(LuongAttnDecoderRNN, self).__init__()
# Keep for reference
self.attn_model = attn_model
self.hidden_size = hidden_size
self.output_size = output_size
self.n_layers = n_layers
self.dropout = dropout
# Define layers
self.embedding = embedding
self.embedding_dropout = nn.Dropout(dropout)
self.gru = nn.GRU(hidden_size, hidden_size, n_layers, dropout=(0 if n_layers == 1 else dropout))
self.concat = nn.Linear(hidden_size * 2, hidden_size)
self.out = nn.Linear(hidden_size, output_size)
self.attn = Attn(attn_model, hidden_size)
def forward(self, input_step, last_hidden, encoder_outputs):
# Note: we run this one step (word) at a time
# Get embedding of current input word
embedded = self.embedding(input_step)
embedded = self.embedding_dropout(embedded)
# Forward through unidirectional GRU
rnn_output, hidden = self.gru(embedded, last_hidden)
# Calculate attention weights from the current GRU output
attn_weights = self.attn(rnn_output, encoder_outputs)
# Multiply attention weights to encoder outputs to get new "weighted sum" context vector
context = attn_weights.bmm(encoder_outputs.transpose(0, 1))
# Concatenate weighted context vector and GRU output using Luong eq. 5
rnn_output = rnn_output.squeeze(0)
context = context.squeeze(1)
concat_input = torch.cat((rnn_output, context), 1)
concat_output = torch.tanh(self.concat(concat_input))
# Predict next word using Luong eq. 6
output = self.out(concat_output)
output = F.softmax(output, dim=1)
# Return output and final hidden state
return output, hidden
定義訓練過程¶
掩碼損失¶
由於我們處理的是填充序列的批次,在計算損失時不能簡單地考慮張量的所有元素。我們定義 maskNLLLoss,根據解碼器的輸出張量、目標張量以及描述目標張量填充情況的二進位制掩碼張量來計算損失。這個損失函式計算掩碼張量中對應於 1 的元素的平均負對數似然。
def maskNLLLoss(inp, target, mask):
nTotal = mask.sum()
crossEntropy = -torch.log(torch.gather(inp, 1, target.view(-1, 1)).squeeze(1))
loss = crossEntropy.masked_select(mask).mean()
loss = loss.to(device)
return loss, nTotal.item()
單次訓練迭代¶
The train 函式包含單次訓練迭代(單個輸入批次)的演算法。
我們將使用一些巧妙的技巧來幫助收斂
第一個技巧是使用教師強制(teacher forcing)。這意味著以
teacher_forcing_ratio設定的某個機率,我們使用當前目標詞作為解碼器的下一個輸入,而不是使用解碼器當前的猜測。這項技術就像解碼器的訓練輪,有助於提高訓練效率。然而,教師強制可能導致推理期間的模型不穩定,因為解碼器在訓練期間可能沒有足夠的機會真正生成自己的輸出序列。因此,我們必須謹慎設定teacher_forcing_ratio,並且不要被快速收斂所迷惑。我們實現的第二個技巧是梯度裁剪(gradient clipping)。這是應對“梯度爆炸”問題常用的技術。本質上,透過將梯度裁剪或閾值化到一個最大值,我們可以防止梯度呈指數增長並導致溢位 (NaN) 或在成本函式中越過陡峭的懸崖。
圖片來源:Goodfellow 等人. Deep Learning. 2016. https://www.deeplearningbook.org/
操作順序
將整個輸入批次前向傳播透過編碼器。
將解碼器輸入初始化為 SOS_token,將隱藏狀態初始化為編碼器的最終隱藏狀態。
將輸入批次序列一次一個時間步地前向傳播透過解碼器。
如果使用教師強制:將下一個解碼器輸入設定為當前目標;否則:將下一個解碼器輸入設定為當前解碼器輸出。
計算並累積損失。
執行反向傳播。
裁剪梯度。
更新編碼器和解碼器模型引數。
注意
PyTorch 的 RNN 模組(RNN, LSTM, GRU)可以像任何其他非迴圈層一樣使用,只需將整個輸入序列(或序列批次)傳遞給它們即可。我們在 encoder 中就是這樣使用 GRU 層的。實際上,在其內部有一個迭代過程,迴圈處理每個時間步並計算隱藏狀態。或者,您可以一次一個時間步地執行這些模組。在這種情況下,我們在訓練過程中手動迴圈處理序列,就像我們必須對 decoder 模型所做的那樣。只要您對這些模組保持正確的概念模型,實現序列模型就非常簡單了。
def train(input_variable, lengths, target_variable, mask, max_target_len, encoder, decoder, embedding,
encoder_optimizer, decoder_optimizer, batch_size, clip, max_length=MAX_LENGTH):
# Zero gradients
encoder_optimizer.zero_grad()
decoder_optimizer.zero_grad()
# Set device options
input_variable = input_variable.to(device)
target_variable = target_variable.to(device)
mask = mask.to(device)
# Lengths for RNN packing should always be on the CPU
lengths = lengths.to("cpu")
# Initialize variables
loss = 0
print_losses = []
n_totals = 0
# Forward pass through encoder
encoder_outputs, encoder_hidden = encoder(input_variable, lengths)
# Create initial decoder input (start with SOS tokens for each sentence)
decoder_input = torch.LongTensor([[SOS_token for _ in range(batch_size)]])
decoder_input = decoder_input.to(device)
# Set initial decoder hidden state to the encoder's final hidden state
decoder_hidden = encoder_hidden[:decoder.n_layers]
# Determine if we are using teacher forcing this iteration
use_teacher_forcing = True if random.random() < teacher_forcing_ratio else False
# Forward batch of sequences through decoder one time step at a time
if use_teacher_forcing:
for t in range(max_target_len):
decoder_output, decoder_hidden = decoder(
decoder_input, decoder_hidden, encoder_outputs
)
# Teacher forcing: next input is current target
decoder_input = target_variable[t].view(1, -1)
# Calculate and accumulate loss
mask_loss, nTotal = maskNLLLoss(decoder_output, target_variable[t], mask[t])
loss += mask_loss
print_losses.append(mask_loss.item() * nTotal)
n_totals += nTotal
else:
for t in range(max_target_len):
decoder_output, decoder_hidden = decoder(
decoder_input, decoder_hidden, encoder_outputs
)
# No teacher forcing: next input is decoder's own current output
_, topi = decoder_output.topk(1)
decoder_input = torch.LongTensor([[topi[i][0] for i in range(batch_size)]])
decoder_input = decoder_input.to(device)
# Calculate and accumulate loss
mask_loss, nTotal = maskNLLLoss(decoder_output, target_variable[t], mask[t])
loss += mask_loss
print_losses.append(mask_loss.item() * nTotal)
n_totals += nTotal
# Perform backpropagation
loss.backward()
# Clip gradients: gradients are modified in place
_ = nn.utils.clip_grad_norm_(encoder.parameters(), clip)
_ = nn.utils.clip_grad_norm_(decoder.parameters(), clip)
# Adjust model weights
encoder_optimizer.step()
decoder_optimizer.step()
return sum(print_losses) / n_totals
訓練迭代¶
現在終於可以將完整的訓練過程與資料結合起來了。trainIters 函式負責根據傳入的模型、最佳化器、資料等執行 n_iterations 次訓練。這個函式相當不言自明,因為我們已經在 train 函式中完成了大部分工作。
有一點需要注意,當我們儲存模型時,我們儲存一個 tarball,其中包含編碼器和解碼器的 state_dicts(引數)、最佳化器的 state_dicts、損失、迭代次數等。以這種方式儲存模型將為我們提供最大的檢查點靈活性。載入檢查點後,我們可以使用模型引數執行推理,或者我們可以從上次停止的地方繼續訓練。
def trainIters(model_name, voc, pairs, encoder, decoder, encoder_optimizer, decoder_optimizer, embedding, encoder_n_layers, decoder_n_layers, save_dir, n_iteration, batch_size, print_every, save_every, clip, corpus_name, loadFilename):
# Load batches for each iteration
training_batches = [batch2TrainData(voc, [random.choice(pairs) for _ in range(batch_size)])
for _ in range(n_iteration)]
# Initializations
print('Initializing ...')
start_iteration = 1
print_loss = 0
if loadFilename:
start_iteration = checkpoint['iteration'] + 1
# Training loop
print("Training...")
for iteration in range(start_iteration, n_iteration + 1):
training_batch = training_batches[iteration - 1]
# Extract fields from batch
input_variable, lengths, target_variable, mask, max_target_len = training_batch
# Run a training iteration with batch
loss = train(input_variable, lengths, target_variable, mask, max_target_len, encoder,
decoder, embedding, encoder_optimizer, decoder_optimizer, batch_size, clip)
print_loss += loss
# Print progress
if iteration % print_every == 0:
print_loss_avg = print_loss / print_every
print("Iteration: {}; Percent complete: {:.1f}%; Average loss: {:.4f}".format(iteration, iteration / n_iteration * 100, print_loss_avg))
print_loss = 0
# Save checkpoint
if (iteration % save_every == 0):
directory = os.path.join(save_dir, model_name, corpus_name, '{}-{}_{}'.format(encoder_n_layers, decoder_n_layers, hidden_size))
if not os.path.exists(directory):
os.makedirs(directory)
torch.save({
'iteration': iteration,
'en': encoder.state_dict(),
'de': decoder.state_dict(),
'en_opt': encoder_optimizer.state_dict(),
'de_opt': decoder_optimizer.state_dict(),
'loss': loss,
'voc_dict': voc.__dict__,
'embedding': embedding.state_dict()
}, os.path.join(directory, '{}_{}.tar'.format(iteration, 'checkpoint')))
定義評估¶
訓練模型後,我們希望能夠自己與機器人對話。首先,我們必須定義模型如何解碼編碼後的輸入。
貪婪解碼¶
貪婪解碼是我們訓練期間不使用教師強制(teacher forcing)時使用的解碼方法。換句話說,對於每個時間步,我們只從 decoder_output 中選擇 softmax 值最高的詞。這種解碼方法在單時間步級別上是最優的。
為了方便進行貪婪解碼操作,我們定義一個 GreedySearchDecoder 類。執行時,該類的物件接受一個形狀為 (輸入序列長度, 1) 的輸入序列(input_seq)、一個標量輸入長度(input_length)張量,以及一個用於限制響應句子長度的 max_length。輸入句子使用以下計算圖進行評估:
計算圖
將輸入透過編碼器模型向前傳播。
準備編碼器的最終隱藏層,作為解碼器的第一個隱藏輸入。
將解碼器的第一個輸入初始化為 SOS_token。
初始化用於附加解碼後的詞的張量。
- 迭代地一次解碼一個詞標記
透過解碼器進行前向傳播。
獲取最可能的詞標記及其 softmax 分數。
記錄標記和分數。
準備當前標記作為下一個解碼器輸入。
返回詞標記和分數的集合。
class GreedySearchDecoder(nn.Module):
def __init__(self, encoder, decoder):
super(GreedySearchDecoder, self).__init__()
self.encoder = encoder
self.decoder = decoder
def forward(self, input_seq, input_length, max_length):
# Forward input through encoder model
encoder_outputs, encoder_hidden = self.encoder(input_seq, input_length)
# Prepare encoder's final hidden layer to be first hidden input to the decoder
decoder_hidden = encoder_hidden[:self.decoder.n_layers]
# Initialize decoder input with SOS_token
decoder_input = torch.ones(1, 1, device=device, dtype=torch.long) * SOS_token
# Initialize tensors to append decoded words to
all_tokens = torch.zeros([0], device=device, dtype=torch.long)
all_scores = torch.zeros([0], device=device)
# Iteratively decode one word token at a time
for _ in range(max_length):
# Forward pass through decoder
decoder_output, decoder_hidden = self.decoder(decoder_input, decoder_hidden, encoder_outputs)
# Obtain most likely word token and its softmax score
decoder_scores, decoder_input = torch.max(decoder_output, dim=1)
# Record token and score
all_tokens = torch.cat((all_tokens, decoder_input), dim=0)
all_scores = torch.cat((all_scores, decoder_scores), dim=0)
# Prepare current token to be next decoder input (add a dimension)
decoder_input = torch.unsqueeze(decoder_input, 0)
# Return collections of word tokens and scores
return all_tokens, all_scores
評估我的文字¶
現在我們已經定義瞭解碼方法,我們可以編寫用於評估字串輸入句子的函式。 evaluate 函式管理處理輸入句子的低層過程。我們首先將句子格式化為詞索引的輸入批次,其中 batch_size==1。我們透過將句子的詞轉換為對應的索引,並轉置維度來完成此操作,以準備張量供模型使用。我們還建立一個 lengths 張量,其中包含輸入句子的長度。在這種情況下,lengths 是標量,因為我們一次只評估一個句子(batch_size==1)。接下來,我們使用 GreedySearchDecoder 物件(searcher)獲取解碼後的響應句子張量。最後,我們將響應的索引轉換為詞,並返回解碼後的詞列表。
evaluateInput 用作我們聊天機器人的使用者介面。呼叫時,會彈出一個輸入文字欄位,我們可以在其中輸入查詢句子。輸入句子並按下 Enter 後,我們的文字會以與訓練資料相同的方式進行歸一化,並最終饋入 evaluate 函式以獲取解碼後的輸出句子。我們將此過程迴圈,以便我們可以繼續與機器人聊天,直到輸入“q”或“quit”為止。
最後,如果輸入的句子包含詞彙表中不存在的詞,我們會透過列印錯誤訊息並提示使用者輸入另一個句子來優雅地處理這種情況。
def evaluate(encoder, decoder, searcher, voc, sentence, max_length=MAX_LENGTH):
### Format input sentence as a batch
# words -> indexes
indexes_batch = [indexesFromSentence(voc, sentence)]
# Create lengths tensor
lengths = torch.tensor([len(indexes) for indexes in indexes_batch])
# Transpose dimensions of batch to match models' expectations
input_batch = torch.LongTensor(indexes_batch).transpose(0, 1)
# Use appropriate device
input_batch = input_batch.to(device)
lengths = lengths.to("cpu")
# Decode sentence with searcher
tokens, scores = searcher(input_batch, lengths, max_length)
# indexes -> words
decoded_words = [voc.index2word[token.item()] for token in tokens]
return decoded_words
def evaluateInput(encoder, decoder, searcher, voc):
input_sentence = ''
while(1):
try:
# Get input sentence
input_sentence = input('> ')
# Check if it is quit case
if input_sentence == 'q' or input_sentence == 'quit': break
# Normalize sentence
input_sentence = normalizeString(input_sentence)
# Evaluate sentence
output_words = evaluate(encoder, decoder, searcher, voc, input_sentence)
# Format and print response sentence
output_words[:] = [x for x in output_words if not (x == 'EOS' or x == 'PAD')]
print('Bot:', ' '.join(output_words))
except KeyError:
print("Error: Encountered unknown word.")
執行模型¶
最後,是時候執行我們的模型了!
無論我們是想訓練還是測試聊天機器人模型,都必須初始化獨立的編碼器和解碼器模型。在下面的程式碼塊中,我們設定所需的配置,選擇從頭開始或設定要載入的檢查點,然後構建並初始化模型。可以隨意嘗試不同的模型配置以最佳化效能。
# Configure models
model_name = 'cb_model'
attn_model = 'dot'
#``attn_model = 'general'``
#``attn_model = 'concat'``
hidden_size = 500
encoder_n_layers = 2
decoder_n_layers = 2
dropout = 0.1
batch_size = 64
# Set checkpoint to load from; set to None if starting from scratch
loadFilename = None
checkpoint_iter = 4000
從檢查點載入的示例程式碼
loadFilename = os.path.join(save_dir, model_name, corpus_name,
'{}-{}_{}'.format(encoder_n_layers, decoder_n_layers, hidden_size),
'{}_checkpoint.tar'.format(checkpoint_iter))
# Load model if a ``loadFilename`` is provided
if loadFilename:
# If loading on same machine the model was trained on
checkpoint = torch.load(loadFilename)
# If loading a model trained on GPU to CPU
#checkpoint = torch.load(loadFilename, map_location=torch.device('cpu'))
encoder_sd = checkpoint['en']
decoder_sd = checkpoint['de']
encoder_optimizer_sd = checkpoint['en_opt']
decoder_optimizer_sd = checkpoint['de_opt']
embedding_sd = checkpoint['embedding']
voc.__dict__ = checkpoint['voc_dict']
print('Building encoder and decoder ...')
# Initialize word embeddings
embedding = nn.Embedding(voc.num_words, hidden_size)
if loadFilename:
embedding.load_state_dict(embedding_sd)
# Initialize encoder & decoder models
encoder = EncoderRNN(hidden_size, embedding, encoder_n_layers, dropout)
decoder = LuongAttnDecoderRNN(attn_model, embedding, hidden_size, voc.num_words, decoder_n_layers, dropout)
if loadFilename:
encoder.load_state_dict(encoder_sd)
decoder.load_state_dict(decoder_sd)
# Use appropriate device
encoder = encoder.to(device)
decoder = decoder.to(device)
print('Models built and ready to go!')
Building encoder and decoder ...
Models built and ready to go!
執行訓練¶
如果要訓練模型,請執行以下程式碼塊。
首先我們設定訓練引數,然後初始化最佳化器,最後呼叫 trainIters 函式來執行訓練迭代。
# Configure training/optimization
clip = 50.0
teacher_forcing_ratio = 1.0
learning_rate = 0.0001
decoder_learning_ratio = 5.0
n_iteration = 4000
print_every = 1
save_every = 500
# Ensure dropout layers are in train mode
encoder.train()
decoder.train()
# Initialize optimizers
print('Building optimizers ...')
encoder_optimizer = optim.Adam(encoder.parameters(), lr=learning_rate)
decoder_optimizer = optim.Adam(decoder.parameters(), lr=learning_rate * decoder_learning_ratio)
if loadFilename:
encoder_optimizer.load_state_dict(encoder_optimizer_sd)
decoder_optimizer.load_state_dict(decoder_optimizer_sd)
# If you have an accelerator, configure it to call
for state in encoder_optimizer.state.values():
for k, v in state.items():
if isinstance(v, torch.Tensor):
state[k] = v.to(device)
for state in decoder_optimizer.state.values():
for k, v in state.items():
if isinstance(v, torch.Tensor):
state[k] = v.to(device)
# Run training iterations
print("Starting Training!")
trainIters(model_name, voc, pairs, encoder, decoder, encoder_optimizer, decoder_optimizer,
embedding, encoder_n_layers, decoder_n_layers, save_dir, n_iteration, batch_size,
print_every, save_every, clip, corpus_name, loadFilename)
Building optimizers ...
Starting Training!
Initializing ...
Training...
Iteration: 1; Percent complete: 0.0%; Average loss: 8.9560
Iteration: 2; Percent complete: 0.1%; Average loss: 8.8300
Iteration: 3; Percent complete: 0.1%; Average loss: 8.6004
Iteration: 4; Percent complete: 0.1%; Average loss: 8.2952
Iteration: 5; Percent complete: 0.1%; Average loss: 7.9383
Iteration: 6; Percent complete: 0.1%; Average loss: 7.3294
Iteration: 7; Percent complete: 0.2%; Average loss: 6.8547
Iteration: 8; Percent complete: 0.2%; Average loss: 6.8410
Iteration: 9; Percent complete: 0.2%; Average loss: 6.9119
Iteration: 10; Percent complete: 0.2%; Average loss: 6.5974
Iteration: 11; Percent complete: 0.3%; Average loss: 6.1897
Iteration: 12; Percent complete: 0.3%; Average loss: 5.9778
Iteration: 13; Percent complete: 0.3%; Average loss: 5.7465
Iteration: 14; Percent complete: 0.4%; Average loss: 5.6530
Iteration: 15; Percent complete: 0.4%; Average loss: 5.6524
Iteration: 16; Percent complete: 0.4%; Average loss: 5.5775
Iteration: 17; Percent complete: 0.4%; Average loss: 5.2243
Iteration: 18; Percent complete: 0.4%; Average loss: 5.1453
Iteration: 19; Percent complete: 0.5%; Average loss: 5.1945
Iteration: 20; Percent complete: 0.5%; Average loss: 4.7795
Iteration: 21; Percent complete: 0.5%; Average loss: 5.1117
Iteration: 22; Percent complete: 0.5%; Average loss: 4.8713
Iteration: 23; Percent complete: 0.6%; Average loss: 5.1112
Iteration: 24; Percent complete: 0.6%; Average loss: 4.9199
Iteration: 25; Percent complete: 0.6%; Average loss: 5.0208
Iteration: 26; Percent complete: 0.7%; Average loss: 4.7119
Iteration: 27; Percent complete: 0.7%; Average loss: 4.8909
Iteration: 28; Percent complete: 0.7%; Average loss: 4.8799
Iteration: 29; Percent complete: 0.7%; Average loss: 4.7658
Iteration: 30; Percent complete: 0.8%; Average loss: 4.9653
Iteration: 31; Percent complete: 0.8%; Average loss: 4.6618
Iteration: 32; Percent complete: 0.8%; Average loss: 4.8107
Iteration: 33; Percent complete: 0.8%; Average loss: 4.7351
Iteration: 34; Percent complete: 0.9%; Average loss: 4.7533
Iteration: 35; Percent complete: 0.9%; Average loss: 4.7808
Iteration: 36; Percent complete: 0.9%; Average loss: 4.8067
Iteration: 37; Percent complete: 0.9%; Average loss: 4.8173
Iteration: 38; Percent complete: 0.9%; Average loss: 4.7384
Iteration: 39; Percent complete: 1.0%; Average loss: 5.0272
Iteration: 40; Percent complete: 1.0%; Average loss: 4.7131
Iteration: 41; Percent complete: 1.0%; Average loss: 4.6481
Iteration: 42; Percent complete: 1.1%; Average loss: 4.8911
Iteration: 43; Percent complete: 1.1%; Average loss: 4.7282
Iteration: 44; Percent complete: 1.1%; Average loss: 4.7679
Iteration: 45; Percent complete: 1.1%; Average loss: 4.7449
Iteration: 46; Percent complete: 1.1%; Average loss: 4.7897
Iteration: 47; Percent complete: 1.2%; Average loss: 4.7844
Iteration: 48; Percent complete: 1.2%; Average loss: 4.5264
Iteration: 49; Percent complete: 1.2%; Average loss: 4.4469
Iteration: 50; Percent complete: 1.2%; Average loss: 4.6156
Iteration: 51; Percent complete: 1.3%; Average loss: 4.6774
Iteration: 52; Percent complete: 1.3%; Average loss: 4.7596
Iteration: 53; Percent complete: 1.3%; Average loss: 4.6301
Iteration: 54; Percent complete: 1.4%; Average loss: 4.8260
Iteration: 55; Percent complete: 1.4%; Average loss: 4.7324
Iteration: 56; Percent complete: 1.4%; Average loss: 4.5863
Iteration: 57; Percent complete: 1.4%; Average loss: 4.6436
Iteration: 58; Percent complete: 1.5%; Average loss: 4.5463
Iteration: 59; Percent complete: 1.5%; Average loss: 4.8810
Iteration: 60; Percent complete: 1.5%; Average loss: 4.5971
Iteration: 61; Percent complete: 1.5%; Average loss: 4.5879
Iteration: 62; Percent complete: 1.6%; Average loss: 4.5755
Iteration: 63; Percent complete: 1.6%; Average loss: 4.6827
Iteration: 64; Percent complete: 1.6%; Average loss: 4.5960
Iteration: 65; Percent complete: 1.6%; Average loss: 4.4748
Iteration: 66; Percent complete: 1.7%; Average loss: 4.7233
Iteration: 67; Percent complete: 1.7%; Average loss: 4.4358
Iteration: 68; Percent complete: 1.7%; Average loss: 4.3813
Iteration: 69; Percent complete: 1.7%; Average loss: 4.6909
Iteration: 70; Percent complete: 1.8%; Average loss: 4.5445
Iteration: 71; Percent complete: 1.8%; Average loss: 4.4880
Iteration: 72; Percent complete: 1.8%; Average loss: 4.5878
Iteration: 73; Percent complete: 1.8%; Average loss: 4.5399
Iteration: 74; Percent complete: 1.8%; Average loss: 4.3626
Iteration: 75; Percent complete: 1.9%; Average loss: 4.5606
Iteration: 76; Percent complete: 1.9%; Average loss: 4.3788
Iteration: 77; Percent complete: 1.9%; Average loss: 4.6213
Iteration: 78; Percent complete: 1.9%; Average loss: 4.3790
Iteration: 79; Percent complete: 2.0%; Average loss: 4.6226
Iteration: 80; Percent complete: 2.0%; Average loss: 4.6124
Iteration: 81; Percent complete: 2.0%; Average loss: 4.3595
Iteration: 82; Percent complete: 2.1%; Average loss: 4.3481
Iteration: 83; Percent complete: 2.1%; Average loss: 4.5354
Iteration: 84; Percent complete: 2.1%; Average loss: 4.6465
Iteration: 85; Percent complete: 2.1%; Average loss: 4.4793
Iteration: 86; Percent complete: 2.1%; Average loss: 4.7017
Iteration: 87; Percent complete: 2.2%; Average loss: 4.0860
Iteration: 88; Percent complete: 2.2%; Average loss: 4.2747
Iteration: 89; Percent complete: 2.2%; Average loss: 4.4378
Iteration: 90; Percent complete: 2.2%; Average loss: 4.5590
Iteration: 91; Percent complete: 2.3%; Average loss: 4.3599
Iteration: 92; Percent complete: 2.3%; Average loss: 4.4364
Iteration: 93; Percent complete: 2.3%; Average loss: 4.1787
Iteration: 94; Percent complete: 2.4%; Average loss: 4.4932
Iteration: 95; Percent complete: 2.4%; Average loss: 4.3353
Iteration: 96; Percent complete: 2.4%; Average loss: 4.5526
Iteration: 97; Percent complete: 2.4%; Average loss: 4.3713
Iteration: 98; Percent complete: 2.5%; Average loss: 4.4802
Iteration: 99; Percent complete: 2.5%; Average loss: 4.4628
Iteration: 100; Percent complete: 2.5%; Average loss: 4.3857
Iteration: 101; Percent complete: 2.5%; Average loss: 4.1286
Iteration: 102; Percent complete: 2.5%; Average loss: 4.1692
Iteration: 103; Percent complete: 2.6%; Average loss: 4.4426
Iteration: 104; Percent complete: 2.6%; Average loss: 4.6093
Iteration: 105; Percent complete: 2.6%; Average loss: 4.4698
Iteration: 106; Percent complete: 2.6%; Average loss: 4.4852
Iteration: 107; Percent complete: 2.7%; Average loss: 4.3709
Iteration: 108; Percent complete: 2.7%; Average loss: 4.5189
Iteration: 109; Percent complete: 2.7%; Average loss: 4.4004
Iteration: 110; Percent complete: 2.8%; Average loss: 4.1525
Iteration: 111; Percent complete: 2.8%; Average loss: 4.3155
Iteration: 112; Percent complete: 2.8%; Average loss: 4.4480
Iteration: 113; Percent complete: 2.8%; Average loss: 4.2452
Iteration: 114; Percent complete: 2.9%; Average loss: 4.4744
Iteration: 115; Percent complete: 2.9%; Average loss: 4.2950
Iteration: 116; Percent complete: 2.9%; Average loss: 4.3416
Iteration: 117; Percent complete: 2.9%; Average loss: 4.3987
Iteration: 118; Percent complete: 2.9%; Average loss: 4.5128
Iteration: 119; Percent complete: 3.0%; Average loss: 4.0445
Iteration: 120; Percent complete: 3.0%; Average loss: 4.0460
Iteration: 121; Percent complete: 3.0%; Average loss: 4.2418
Iteration: 122; Percent complete: 3.0%; Average loss: 4.2925
Iteration: 123; Percent complete: 3.1%; Average loss: 4.3571
Iteration: 124; Percent complete: 3.1%; Average loss: 4.5836
Iteration: 125; Percent complete: 3.1%; Average loss: 4.3242
Iteration: 126; Percent complete: 3.1%; Average loss: 4.3878
Iteration: 127; Percent complete: 3.2%; Average loss: 4.4766
Iteration: 128; Percent complete: 3.2%; Average loss: 4.4416
Iteration: 129; Percent complete: 3.2%; Average loss: 4.3014
Iteration: 130; Percent complete: 3.2%; Average loss: 4.1560
Iteration: 131; Percent complete: 3.3%; Average loss: 4.1210
Iteration: 132; Percent complete: 3.3%; Average loss: 4.4889
Iteration: 133; Percent complete: 3.3%; Average loss: 4.3034
Iteration: 134; Percent complete: 3.4%; Average loss: 4.5166
Iteration: 135; Percent complete: 3.4%; Average loss: 4.1914
Iteration: 136; Percent complete: 3.4%; Average loss: 4.2663
Iteration: 137; Percent complete: 3.4%; Average loss: 4.4117
Iteration: 138; Percent complete: 3.5%; Average loss: 4.3479
Iteration: 139; Percent complete: 3.5%; Average loss: 4.1249
Iteration: 140; Percent complete: 3.5%; Average loss: 3.8515
Iteration: 141; Percent complete: 3.5%; Average loss: 4.1980
Iteration: 142; Percent complete: 3.5%; Average loss: 4.0805
Iteration: 143; Percent complete: 3.6%; Average loss: 4.4038
Iteration: 144; Percent complete: 3.6%; Average loss: 4.2887
Iteration: 145; Percent complete: 3.6%; Average loss: 4.1161
Iteration: 146; Percent complete: 3.6%; Average loss: 4.1590
Iteration: 147; Percent complete: 3.7%; Average loss: 4.1709
Iteration: 148; Percent complete: 3.7%; Average loss: 4.2628
Iteration: 149; Percent complete: 3.7%; Average loss: 4.1840
Iteration: 150; Percent complete: 3.8%; Average loss: 4.1609
Iteration: 151; Percent complete: 3.8%; Average loss: 4.2028
Iteration: 152; Percent complete: 3.8%; Average loss: 4.1270
Iteration: 153; Percent complete: 3.8%; Average loss: 4.1359
Iteration: 154; Percent complete: 3.9%; Average loss: 4.2725
Iteration: 155; Percent complete: 3.9%; Average loss: 4.2052
Iteration: 156; Percent complete: 3.9%; Average loss: 4.3975
Iteration: 157; Percent complete: 3.9%; Average loss: 3.9820
Iteration: 158; Percent complete: 4.0%; Average loss: 4.2039
Iteration: 159; Percent complete: 4.0%; Average loss: 4.2000
Iteration: 160; Percent complete: 4.0%; Average loss: 4.0583
Iteration: 161; Percent complete: 4.0%; Average loss: 4.4145
Iteration: 162; Percent complete: 4.0%; Average loss: 4.4047
Iteration: 163; Percent complete: 4.1%; Average loss: 4.3566
Iteration: 164; Percent complete: 4.1%; Average loss: 4.3810
Iteration: 165; Percent complete: 4.1%; Average loss: 4.0338
Iteration: 166; Percent complete: 4.2%; Average loss: 4.2768
Iteration: 167; Percent complete: 4.2%; Average loss: 4.4404
Iteration: 168; Percent complete: 4.2%; Average loss: 4.1847
Iteration: 169; Percent complete: 4.2%; Average loss: 4.2584
Iteration: 170; Percent complete: 4.2%; Average loss: 4.0626
Iteration: 171; Percent complete: 4.3%; Average loss: 4.2492
Iteration: 172; Percent complete: 4.3%; Average loss: 4.1961
Iteration: 173; Percent complete: 4.3%; Average loss: 4.1254
Iteration: 174; Percent complete: 4.3%; Average loss: 4.4460
Iteration: 175; Percent complete: 4.4%; Average loss: 4.1034
Iteration: 176; Percent complete: 4.4%; Average loss: 4.1717
Iteration: 177; Percent complete: 4.4%; Average loss: 4.6400
Iteration: 178; Percent complete: 4.5%; Average loss: 4.0928
Iteration: 179; Percent complete: 4.5%; Average loss: 4.1944
Iteration: 180; Percent complete: 4.5%; Average loss: 4.1343
Iteration: 181; Percent complete: 4.5%; Average loss: 4.1243
Iteration: 182; Percent complete: 4.5%; Average loss: 4.1616
Iteration: 183; Percent complete: 4.6%; Average loss: 4.1582
Iteration: 184; Percent complete: 4.6%; Average loss: 4.2749
Iteration: 185; Percent complete: 4.6%; Average loss: 4.1781
Iteration: 186; Percent complete: 4.7%; Average loss: 3.9380
Iteration: 187; Percent complete: 4.7%; Average loss: 4.2137
Iteration: 188; Percent complete: 4.7%; Average loss: 4.2749
Iteration: 189; Percent complete: 4.7%; Average loss: 4.2258
Iteration: 190; Percent complete: 4.8%; Average loss: 3.9488
Iteration: 191; Percent complete: 4.8%; Average loss: 4.1160
Iteration: 192; Percent complete: 4.8%; Average loss: 4.1410
Iteration: 193; Percent complete: 4.8%; Average loss: 4.0548
Iteration: 194; Percent complete: 4.9%; Average loss: 4.2028
Iteration: 195; Percent complete: 4.9%; Average loss: 4.1507
Iteration: 196; Percent complete: 4.9%; Average loss: 4.1276
Iteration: 197; Percent complete: 4.9%; Average loss: 4.2950
Iteration: 198; Percent complete: 5.0%; Average loss: 3.9139
Iteration: 199; Percent complete: 5.0%; Average loss: 4.1069
Iteration: 200; Percent complete: 5.0%; Average loss: 4.1937
Iteration: 201; Percent complete: 5.0%; Average loss: 4.2942
Iteration: 202; Percent complete: 5.1%; Average loss: 4.2275
Iteration: 203; Percent complete: 5.1%; Average loss: 4.1534
Iteration: 204; Percent complete: 5.1%; Average loss: 3.9907
Iteration: 205; Percent complete: 5.1%; Average loss: 4.2697
Iteration: 206; Percent complete: 5.1%; Average loss: 4.0012
Iteration: 207; Percent complete: 5.2%; Average loss: 4.2503
Iteration: 208; Percent complete: 5.2%; Average loss: 3.8108
Iteration: 209; Percent complete: 5.2%; Average loss: 3.8708
Iteration: 210; Percent complete: 5.2%; Average loss: 4.2690
Iteration: 211; Percent complete: 5.3%; Average loss: 4.1512
Iteration: 212; Percent complete: 5.3%; Average loss: 4.0889
Iteration: 213; Percent complete: 5.3%; Average loss: 4.1198
Iteration: 214; Percent complete: 5.3%; Average loss: 4.3136
Iteration: 215; Percent complete: 5.4%; Average loss: 4.1900
Iteration: 216; Percent complete: 5.4%; Average loss: 4.2424
Iteration: 217; Percent complete: 5.4%; Average loss: 4.1781
Iteration: 218; Percent complete: 5.5%; Average loss: 4.0137
Iteration: 219; Percent complete: 5.5%; Average loss: 4.0524
Iteration: 220; Percent complete: 5.5%; Average loss: 4.0925
Iteration: 221; Percent complete: 5.5%; Average loss: 3.9365
Iteration: 222; Percent complete: 5.5%; Average loss: 4.2813
Iteration: 223; Percent complete: 5.6%; Average loss: 4.1236
Iteration: 224; Percent complete: 5.6%; Average loss: 4.0287
Iteration: 225; Percent complete: 5.6%; Average loss: 3.9919
Iteration: 226; Percent complete: 5.7%; Average loss: 4.2057
Iteration: 227; Percent complete: 5.7%; Average loss: 3.7086
Iteration: 228; Percent complete: 5.7%; Average loss: 4.2256
Iteration: 229; Percent complete: 5.7%; Average loss: 3.9505
Iteration: 230; Percent complete: 5.8%; Average loss: 4.3281
Iteration: 231; Percent complete: 5.8%; Average loss: 3.8355
Iteration: 232; Percent complete: 5.8%; Average loss: 4.0053
Iteration: 233; Percent complete: 5.8%; Average loss: 3.6951
Iteration: 234; Percent complete: 5.9%; Average loss: 3.7251
Iteration: 235; Percent complete: 5.9%; Average loss: 3.8695
Iteration: 236; Percent complete: 5.9%; Average loss: 4.1627
Iteration: 237; Percent complete: 5.9%; Average loss: 4.1125
Iteration: 238; Percent complete: 5.9%; Average loss: 3.6498
Iteration: 239; Percent complete: 6.0%; Average loss: 3.4376
Iteration: 240; Percent complete: 6.0%; Average loss: 3.8222
Iteration: 241; Percent complete: 6.0%; Average loss: 4.1445
Iteration: 242; Percent complete: 6.0%; Average loss: 4.0835
Iteration: 243; Percent complete: 6.1%; Average loss: 4.2691
Iteration: 244; Percent complete: 6.1%; Average loss: 4.0353
Iteration: 245; Percent complete: 6.1%; Average loss: 4.1276
Iteration: 246; Percent complete: 6.2%; Average loss: 4.0144
Iteration: 247; Percent complete: 6.2%; Average loss: 3.8707
Iteration: 248; Percent complete: 6.2%; Average loss: 4.0980
Iteration: 249; Percent complete: 6.2%; Average loss: 4.0987
Iteration: 250; Percent complete: 6.2%; Average loss: 4.1241
Iteration: 251; Percent complete: 6.3%; Average loss: 3.8175
Iteration: 252; Percent complete: 6.3%; Average loss: 3.8688
Iteration: 253; Percent complete: 6.3%; Average loss: 4.0656
Iteration: 254; Percent complete: 6.3%; Average loss: 3.8222
Iteration: 255; Percent complete: 6.4%; Average loss: 3.9167
Iteration: 256; Percent complete: 6.4%; Average loss: 3.9648
Iteration: 257; Percent complete: 6.4%; Average loss: 4.0965
Iteration: 258; Percent complete: 6.5%; Average loss: 4.0477
Iteration: 259; Percent complete: 6.5%; Average loss: 3.8192
Iteration: 260; Percent complete: 6.5%; Average loss: 4.0768
Iteration: 261; Percent complete: 6.5%; Average loss: 3.6985
Iteration: 262; Percent complete: 6.6%; Average loss: 4.2911
Iteration: 263; Percent complete: 6.6%; Average loss: 4.0144
Iteration: 264; Percent complete: 6.6%; Average loss: 4.1718
Iteration: 265; Percent complete: 6.6%; Average loss: 3.9890
Iteration: 266; Percent complete: 6.7%; Average loss: 4.0898
Iteration: 267; Percent complete: 6.7%; Average loss: 4.0038
Iteration: 268; Percent complete: 6.7%; Average loss: 3.9652
Iteration: 269; Percent complete: 6.7%; Average loss: 4.1180
Iteration: 270; Percent complete: 6.8%; Average loss: 3.8274
Iteration: 271; Percent complete: 6.8%; Average loss: 3.9711
Iteration: 272; Percent complete: 6.8%; Average loss: 4.0569
Iteration: 273; Percent complete: 6.8%; Average loss: 4.2369
Iteration: 274; Percent complete: 6.9%; Average loss: 4.1013
Iteration: 275; Percent complete: 6.9%; Average loss: 3.9872
Iteration: 276; Percent complete: 6.9%; Average loss: 4.0187
Iteration: 277; Percent complete: 6.9%; Average loss: 3.9954
Iteration: 278; Percent complete: 7.0%; Average loss: 3.8067
Iteration: 279; Percent complete: 7.0%; Average loss: 3.8709
Iteration: 280; Percent complete: 7.0%; Average loss: 3.8471
Iteration: 281; Percent complete: 7.0%; Average loss: 3.8580
Iteration: 282; Percent complete: 7.0%; Average loss: 3.8789
Iteration: 283; Percent complete: 7.1%; Average loss: 3.9740
Iteration: 284; Percent complete: 7.1%; Average loss: 3.8377
Iteration: 285; Percent complete: 7.1%; Average loss: 4.1712
Iteration: 286; Percent complete: 7.1%; Average loss: 3.8654
Iteration: 287; Percent complete: 7.2%; Average loss: 4.2273
Iteration: 288; Percent complete: 7.2%; Average loss: 3.9032
Iteration: 289; Percent complete: 7.2%; Average loss: 3.6895
Iteration: 290; Percent complete: 7.2%; Average loss: 3.6460
Iteration: 291; Percent complete: 7.3%; Average loss: 3.6703
Iteration: 292; Percent complete: 7.3%; Average loss: 3.9651
Iteration: 293; Percent complete: 7.3%; Average loss: 3.8196
Iteration: 294; Percent complete: 7.3%; Average loss: 3.7116
Iteration: 295; Percent complete: 7.4%; Average loss: 3.8105
Iteration: 296; Percent complete: 7.4%; Average loss: 3.8093
Iteration: 297; Percent complete: 7.4%; Average loss: 3.6631
Iteration: 298; Percent complete: 7.4%; Average loss: 3.7488
Iteration: 299; Percent complete: 7.5%; Average loss: 3.7596
Iteration: 300; Percent complete: 7.5%; Average loss: 3.9196
Iteration: 301; Percent complete: 7.5%; Average loss: 3.9531
Iteration: 302; Percent complete: 7.5%; Average loss: 4.0183
Iteration: 303; Percent complete: 7.6%; Average loss: 3.7487
Iteration: 304; Percent complete: 7.6%; Average loss: 3.7835
Iteration: 305; Percent complete: 7.6%; Average loss: 3.9038
Iteration: 306; Percent complete: 7.6%; Average loss: 3.9802
Iteration: 307; Percent complete: 7.7%; Average loss: 4.1267
Iteration: 308; Percent complete: 7.7%; Average loss: 4.1055
Iteration: 309; Percent complete: 7.7%; Average loss: 4.0180
Iteration: 310; Percent complete: 7.8%; Average loss: 3.7164
Iteration: 311; Percent complete: 7.8%; Average loss: 3.8412
Iteration: 312; Percent complete: 7.8%; Average loss: 3.7144
Iteration: 313; Percent complete: 7.8%; Average loss: 3.7629
Iteration: 314; Percent complete: 7.8%; Average loss: 3.7412
Iteration: 315; Percent complete: 7.9%; Average loss: 3.8338
Iteration: 316; Percent complete: 7.9%; Average loss: 3.9194
Iteration: 317; Percent complete: 7.9%; Average loss: 3.7647
Iteration: 318; Percent complete: 8.0%; Average loss: 3.8960
Iteration: 319; Percent complete: 8.0%; Average loss: 4.0623
Iteration: 320; Percent complete: 8.0%; Average loss: 3.7155
Iteration: 321; Percent complete: 8.0%; Average loss: 3.7273
Iteration: 322; Percent complete: 8.1%; Average loss: 3.4744
Iteration: 323; Percent complete: 8.1%; Average loss: 3.7149
Iteration: 324; Percent complete: 8.1%; Average loss: 3.7394
Iteration: 325; Percent complete: 8.1%; Average loss: 3.8503
Iteration: 326; Percent complete: 8.2%; Average loss: 3.8237
Iteration: 327; Percent complete: 8.2%; Average loss: 3.7334
Iteration: 328; Percent complete: 8.2%; Average loss: 4.0636
Iteration: 329; Percent complete: 8.2%; Average loss: 3.6844
Iteration: 330; Percent complete: 8.2%; Average loss: 4.0718
Iteration: 331; Percent complete: 8.3%; Average loss: 3.7812
Iteration: 332; Percent complete: 8.3%; Average loss: 3.8880
Iteration: 333; Percent complete: 8.3%; Average loss: 3.9112
Iteration: 334; Percent complete: 8.3%; Average loss: 3.6497
Iteration: 335; Percent complete: 8.4%; Average loss: 3.9177
Iteration: 336; Percent complete: 8.4%; Average loss: 4.0468
Iteration: 337; Percent complete: 8.4%; Average loss: 3.8859
Iteration: 338; Percent complete: 8.5%; Average loss: 3.7691
Iteration: 339; Percent complete: 8.5%; Average loss: 3.8894
Iteration: 340; Percent complete: 8.5%; Average loss: 3.7875
Iteration: 341; Percent complete: 8.5%; Average loss: 3.9048
Iteration: 342; Percent complete: 8.6%; Average loss: 3.9637
Iteration: 343; Percent complete: 8.6%; Average loss: 4.0897
Iteration: 344; Percent complete: 8.6%; Average loss: 3.8052
Iteration: 345; Percent complete: 8.6%; Average loss: 3.9139
Iteration: 346; Percent complete: 8.6%; Average loss: 3.9306
Iteration: 347; Percent complete: 8.7%; Average loss: 3.7233
Iteration: 348; Percent complete: 8.7%; Average loss: 3.9864
Iteration: 349; Percent complete: 8.7%; Average loss: 3.9836
Iteration: 350; Percent complete: 8.8%; Average loss: 3.9194
Iteration: 351; Percent complete: 8.8%; Average loss: 3.7990
Iteration: 352; Percent complete: 8.8%; Average loss: 3.7440
Iteration: 353; Percent complete: 8.8%; Average loss: 3.7507
Iteration: 354; Percent complete: 8.8%; Average loss: 3.8879
Iteration: 355; Percent complete: 8.9%; Average loss: 3.5465
Iteration: 356; Percent complete: 8.9%; Average loss: 3.9718
Iteration: 357; Percent complete: 8.9%; Average loss: 3.8001
Iteration: 358; Percent complete: 8.9%; Average loss: 3.8132
Iteration: 359; Percent complete: 9.0%; Average loss: 3.8616
Iteration: 360; Percent complete: 9.0%; Average loss: 3.7746
Iteration: 361; Percent complete: 9.0%; Average loss: 3.8101
Iteration: 362; Percent complete: 9.0%; Average loss: 3.8084
Iteration: 363; Percent complete: 9.1%; Average loss: 3.8568
Iteration: 364; Percent complete: 9.1%; Average loss: 3.7478
Iteration: 365; Percent complete: 9.1%; Average loss: 3.7414
Iteration: 366; Percent complete: 9.2%; Average loss: 3.8346
Iteration: 367; Percent complete: 9.2%; Average loss: 3.6750
Iteration: 368; Percent complete: 9.2%; Average loss: 4.0670
Iteration: 369; Percent complete: 9.2%; Average loss: 3.8149
Iteration: 370; Percent complete: 9.2%; Average loss: 3.9021
Iteration: 371; Percent complete: 9.3%; Average loss: 4.0725
Iteration: 372; Percent complete: 9.3%; Average loss: 4.0579
Iteration: 373; Percent complete: 9.3%; Average loss: 3.8407
Iteration: 374; Percent complete: 9.3%; Average loss: 3.7376
Iteration: 375; Percent complete: 9.4%; Average loss: 3.6489
Iteration: 376; Percent complete: 9.4%; Average loss: 3.6661
Iteration: 377; Percent complete: 9.4%; Average loss: 3.8258
Iteration: 378; Percent complete: 9.4%; Average loss: 3.4229
Iteration: 379; Percent complete: 9.5%; Average loss: 3.6035
Iteration: 380; Percent complete: 9.5%; Average loss: 3.9615
Iteration: 381; Percent complete: 9.5%; Average loss: 3.9463
Iteration: 382; Percent complete: 9.6%; Average loss: 3.9347
Iteration: 383; Percent complete: 9.6%; Average loss: 3.9037
Iteration: 384; Percent complete: 9.6%; Average loss: 3.8173
Iteration: 385; Percent complete: 9.6%; Average loss: 3.8602
Iteration: 386; Percent complete: 9.7%; Average loss: 3.8641
Iteration: 387; Percent complete: 9.7%; Average loss: 3.6267
Iteration: 388; Percent complete: 9.7%; Average loss: 3.8470
Iteration: 389; Percent complete: 9.7%; Average loss: 3.8178
Iteration: 390; Percent complete: 9.8%; Average loss: 3.9050
Iteration: 391; Percent complete: 9.8%; Average loss: 3.8067
Iteration: 392; Percent complete: 9.8%; Average loss: 3.9384
Iteration: 393; Percent complete: 9.8%; Average loss: 3.9225
Iteration: 394; Percent complete: 9.8%; Average loss: 4.2217
Iteration: 395; Percent complete: 9.9%; Average loss: 3.9557
Iteration: 396; Percent complete: 9.9%; Average loss: 3.8392
Iteration: 397; Percent complete: 9.9%; Average loss: 3.8699
Iteration: 398; Percent complete: 10.0%; Average loss: 3.6753
Iteration: 399; Percent complete: 10.0%; Average loss: 3.6263
Iteration: 400; Percent complete: 10.0%; Average loss: 3.9030
Iteration: 401; Percent complete: 10.0%; Average loss: 3.6894
Iteration: 402; Percent complete: 10.1%; Average loss: 3.7647
Iteration: 403; Percent complete: 10.1%; Average loss: 3.8806
Iteration: 404; Percent complete: 10.1%; Average loss: 3.7601
Iteration: 405; Percent complete: 10.1%; Average loss: 3.7787
Iteration: 406; Percent complete: 10.2%; Average loss: 3.7059
Iteration: 407; Percent complete: 10.2%; Average loss: 3.8046
Iteration: 408; Percent complete: 10.2%; Average loss: 3.9004
Iteration: 409; Percent complete: 10.2%; Average loss: 3.6363
Iteration: 410; Percent complete: 10.2%; Average loss: 3.6265
Iteration: 411; Percent complete: 10.3%; Average loss: 3.7046
Iteration: 412; Percent complete: 10.3%; Average loss: 3.8439
Iteration: 413; Percent complete: 10.3%; Average loss: 3.9228
Iteration: 414; Percent complete: 10.3%; Average loss: 3.9450
Iteration: 415; Percent complete: 10.4%; Average loss: 3.8315
Iteration: 416; Percent complete: 10.4%; Average loss: 3.3964
Iteration: 417; Percent complete: 10.4%; Average loss: 3.8090
Iteration: 418; Percent complete: 10.4%; Average loss: 3.7253
Iteration: 419; Percent complete: 10.5%; Average loss: 3.5178
Iteration: 420; Percent complete: 10.5%; Average loss: 3.8566
Iteration: 421; Percent complete: 10.5%; Average loss: 3.6933
Iteration: 422; Percent complete: 10.5%; Average loss: 3.5338
Iteration: 423; Percent complete: 10.6%; Average loss: 3.7407
Iteration: 424; Percent complete: 10.6%; Average loss: 3.9220
Iteration: 425; Percent complete: 10.6%; Average loss: 4.0087
Iteration: 426; Percent complete: 10.7%; Average loss: 3.9533
Iteration: 427; Percent complete: 10.7%; Average loss: 3.7449
Iteration: 428; Percent complete: 10.7%; Average loss: 3.8855
Iteration: 429; Percent complete: 10.7%; Average loss: 3.7172
Iteration: 430; Percent complete: 10.8%; Average loss: 3.9175
Iteration: 431; Percent complete: 10.8%; Average loss: 3.9418
Iteration: 432; Percent complete: 10.8%; Average loss: 4.1237
Iteration: 433; Percent complete: 10.8%; Average loss: 3.8378
Iteration: 434; Percent complete: 10.8%; Average loss: 3.8877
Iteration: 435; Percent complete: 10.9%; Average loss: 3.8576
Iteration: 436; Percent complete: 10.9%; Average loss: 3.7904
Iteration: 437; Percent complete: 10.9%; Average loss: 3.5933
Iteration: 438; Percent complete: 10.9%; Average loss: 3.5969
Iteration: 439; Percent complete: 11.0%; Average loss: 3.8020
Iteration: 440; Percent complete: 11.0%; Average loss: 3.8561
Iteration: 441; Percent complete: 11.0%; Average loss: 3.8817
Iteration: 442; Percent complete: 11.1%; Average loss: 3.8066
Iteration: 443; Percent complete: 11.1%; Average loss: 3.4925
Iteration: 444; Percent complete: 11.1%; Average loss: 3.8405
Iteration: 445; Percent complete: 11.1%; Average loss: 4.0035
Iteration: 446; Percent complete: 11.2%; Average loss: 3.8776
Iteration: 447; Percent complete: 11.2%; Average loss: 3.8529
Iteration: 448; Percent complete: 11.2%; Average loss: 3.9916
Iteration: 449; Percent complete: 11.2%; Average loss: 3.9176
Iteration: 450; Percent complete: 11.2%; Average loss: 3.6859
Iteration: 451; Percent complete: 11.3%; Average loss: 3.9630
Iteration: 452; Percent complete: 11.3%; Average loss: 3.6695
Iteration: 453; Percent complete: 11.3%; Average loss: 3.5884
Iteration: 454; Percent complete: 11.3%; Average loss: 3.7459
Iteration: 455; Percent complete: 11.4%; Average loss: 3.6262
Iteration: 456; Percent complete: 11.4%; Average loss: 3.8168
Iteration: 457; Percent complete: 11.4%; Average loss: 3.6561
Iteration: 458; Percent complete: 11.5%; Average loss: 4.0052
Iteration: 459; Percent complete: 11.5%; Average loss: 3.8774
Iteration: 460; Percent complete: 11.5%; Average loss: 3.7087
Iteration: 461; Percent complete: 11.5%; Average loss: 3.8222
Iteration: 462; Percent complete: 11.6%; Average loss: 3.7263
Iteration: 463; Percent complete: 11.6%; Average loss: 3.5187
Iteration: 464; Percent complete: 11.6%; Average loss: 3.7783
Iteration: 465; Percent complete: 11.6%; Average loss: 3.8159
Iteration: 466; Percent complete: 11.7%; Average loss: 3.6077
Iteration: 467; Percent complete: 11.7%; Average loss: 3.5935
Iteration: 468; Percent complete: 11.7%; Average loss: 3.9873
Iteration: 469; Percent complete: 11.7%; Average loss: 3.8778
Iteration: 470; Percent complete: 11.8%; Average loss: 3.6811
Iteration: 471; Percent complete: 11.8%; Average loss: 3.7142
Iteration: 472; Percent complete: 11.8%; Average loss: 3.7225
Iteration: 473; Percent complete: 11.8%; Average loss: 3.3612
Iteration: 474; Percent complete: 11.8%; Average loss: 3.8035
Iteration: 475; Percent complete: 11.9%; Average loss: 3.8310
Iteration: 476; Percent complete: 11.9%; Average loss: 3.7506
Iteration: 477; Percent complete: 11.9%; Average loss: 3.8294
Iteration: 478; Percent complete: 11.9%; Average loss: 3.8630
Iteration: 479; Percent complete: 12.0%; Average loss: 3.7182
Iteration: 480; Percent complete: 12.0%; Average loss: 3.6267
Iteration: 481; Percent complete: 12.0%; Average loss: 3.7082
Iteration: 482; Percent complete: 12.0%; Average loss: 3.7281
Iteration: 483; Percent complete: 12.1%; Average loss: 3.8084
Iteration: 484; Percent complete: 12.1%; Average loss: 3.8192
Iteration: 485; Percent complete: 12.1%; Average loss: 3.7324
Iteration: 486; Percent complete: 12.2%; Average loss: 4.0013
Iteration: 487; Percent complete: 12.2%; Average loss: 4.0966
Iteration: 488; Percent complete: 12.2%; Average loss: 3.7576
Iteration: 489; Percent complete: 12.2%; Average loss: 3.9701
Iteration: 490; Percent complete: 12.2%; Average loss: 3.4582
Iteration: 491; Percent complete: 12.3%; Average loss: 4.0372
Iteration: 492; Percent complete: 12.3%; Average loss: 3.6882
Iteration: 493; Percent complete: 12.3%; Average loss: 3.6389
Iteration: 494; Percent complete: 12.3%; Average loss: 3.6997
Iteration: 495; Percent complete: 12.4%; Average loss: 3.7450
Iteration: 496; Percent complete: 12.4%; Average loss: 3.8568
Iteration: 497; Percent complete: 12.4%; Average loss: 3.7073
Iteration: 498; Percent complete: 12.4%; Average loss: 3.4811
Iteration: 499; Percent complete: 12.5%; Average loss: 3.9472
Iteration: 500; Percent complete: 12.5%; Average loss: 3.6294
Iteration: 501; Percent complete: 12.5%; Average loss: 3.9124
Iteration: 502; Percent complete: 12.6%; Average loss: 3.6128
Iteration: 503; Percent complete: 12.6%; Average loss: 3.9901
Iteration: 504; Percent complete: 12.6%; Average loss: 3.8912
Iteration: 505; Percent complete: 12.6%; Average loss: 3.8041
Iteration: 506; Percent complete: 12.7%; Average loss: 3.7880
Iteration: 507; Percent complete: 12.7%; Average loss: 3.6772
Iteration: 508; Percent complete: 12.7%; Average loss: 3.8050
Iteration: 509; Percent complete: 12.7%; Average loss: 3.7169
Iteration: 510; Percent complete: 12.8%; Average loss: 3.9428
Iteration: 511; Percent complete: 12.8%; Average loss: 3.7025
Iteration: 512; Percent complete: 12.8%; Average loss: 3.5354
Iteration: 513; Percent complete: 12.8%; Average loss: 4.0662
Iteration: 514; Percent complete: 12.8%; Average loss: 3.7466
Iteration: 515; Percent complete: 12.9%; Average loss: 3.8838
Iteration: 516; Percent complete: 12.9%; Average loss: 3.7631
Iteration: 517; Percent complete: 12.9%; Average loss: 3.8553
Iteration: 518; Percent complete: 13.0%; Average loss: 3.6026
Iteration: 519; Percent complete: 13.0%; Average loss: 3.9144
Iteration: 520; Percent complete: 13.0%; Average loss: 3.8702
Iteration: 521; Percent complete: 13.0%; Average loss: 3.7324
Iteration: 522; Percent complete: 13.1%; Average loss: 3.5248
Iteration: 523; Percent complete: 13.1%; Average loss: 3.6775
Iteration: 524; Percent complete: 13.1%; Average loss: 3.6030
Iteration: 525; Percent complete: 13.1%; Average loss: 3.7268
Iteration: 526; Percent complete: 13.2%; Average loss: 3.5579
Iteration: 527; Percent complete: 13.2%; Average loss: 3.7553
Iteration: 528; Percent complete: 13.2%; Average loss: 3.7535
Iteration: 529; Percent complete: 13.2%; Average loss: 3.7556
Iteration: 530; Percent complete: 13.2%; Average loss: 3.7315
Iteration: 531; Percent complete: 13.3%; Average loss: 3.7373
Iteration: 532; Percent complete: 13.3%; Average loss: 3.6747
Iteration: 533; Percent complete: 13.3%; Average loss: 3.7104
Iteration: 534; Percent complete: 13.4%; Average loss: 3.6882
Iteration: 535; Percent complete: 13.4%; Average loss: 3.7737
Iteration: 536; Percent complete: 13.4%; Average loss: 4.0032
Iteration: 537; Percent complete: 13.4%; Average loss: 3.6549
Iteration: 538; Percent complete: 13.5%; Average loss: 3.6817
Iteration: 539; Percent complete: 13.5%; Average loss: 3.8957
Iteration: 540; Percent complete: 13.5%; Average loss: 3.7112
Iteration: 541; Percent complete: 13.5%; Average loss: 3.6567
Iteration: 542; Percent complete: 13.6%; Average loss: 3.5016
Iteration: 543; Percent complete: 13.6%; Average loss: 3.6950
Iteration: 544; Percent complete: 13.6%; Average loss: 3.6375
Iteration: 545; Percent complete: 13.6%; Average loss: 3.7191
Iteration: 546; Percent complete: 13.7%; Average loss: 3.7475
Iteration: 547; Percent complete: 13.7%; Average loss: 3.6830
Iteration: 548; Percent complete: 13.7%; Average loss: 3.7609
Iteration: 549; Percent complete: 13.7%; Average loss: 3.8006
Iteration: 550; Percent complete: 13.8%; Average loss: 3.8781
Iteration: 551; Percent complete: 13.8%; Average loss: 3.5950
Iteration: 552; Percent complete: 13.8%; Average loss: 3.5497
Iteration: 553; Percent complete: 13.8%; Average loss: 4.0169
Iteration: 554; Percent complete: 13.9%; Average loss: 3.9041
Iteration: 555; Percent complete: 13.9%; Average loss: 3.5717
Iteration: 556; Percent complete: 13.9%; Average loss: 3.7887
Iteration: 557; Percent complete: 13.9%; Average loss: 3.9604
Iteration: 558; Percent complete: 14.0%; Average loss: 3.8740
Iteration: 559; Percent complete: 14.0%; Average loss: 3.8214
Iteration: 560; Percent complete: 14.0%; Average loss: 3.4593
Iteration: 561; Percent complete: 14.0%; Average loss: 3.6220
Iteration: 562; Percent complete: 14.1%; Average loss: 3.5104
Iteration: 563; Percent complete: 14.1%; Average loss: 3.8530
Iteration: 564; Percent complete: 14.1%; Average loss: 3.7169
Iteration: 565; Percent complete: 14.1%; Average loss: 3.7683
Iteration: 566; Percent complete: 14.1%; Average loss: 3.5683
Iteration: 567; Percent complete: 14.2%; Average loss: 3.8537
Iteration: 568; Percent complete: 14.2%; Average loss: 3.8179
Iteration: 569; Percent complete: 14.2%; Average loss: 3.6108
Iteration: 570; Percent complete: 14.2%; Average loss: 3.7687
Iteration: 571; Percent complete: 14.3%; Average loss: 3.6879
Iteration: 572; Percent complete: 14.3%; Average loss: 3.5328
Iteration: 573; Percent complete: 14.3%; Average loss: 3.5368
Iteration: 574; Percent complete: 14.3%; Average loss: 3.7201
Iteration: 575; Percent complete: 14.4%; Average loss: 3.5737
Iteration: 576; Percent complete: 14.4%; Average loss: 3.5152
Iteration: 577; Percent complete: 14.4%; Average loss: 3.5132
Iteration: 578; Percent complete: 14.4%; Average loss: 3.9145
Iteration: 579; Percent complete: 14.5%; Average loss: 3.7229
Iteration: 580; Percent complete: 14.5%; Average loss: 3.7038
Iteration: 581; Percent complete: 14.5%; Average loss: 3.8632
Iteration: 582; Percent complete: 14.5%; Average loss: 3.5280
Iteration: 583; Percent complete: 14.6%; Average loss: 3.6093
Iteration: 584; Percent complete: 14.6%; Average loss: 3.6579
Iteration: 585; Percent complete: 14.6%; Average loss: 3.6635
Iteration: 586; Percent complete: 14.6%; Average loss: 3.6734
Iteration: 587; Percent complete: 14.7%; Average loss: 3.6556
Iteration: 588; Percent complete: 14.7%; Average loss: 3.7125
Iteration: 589; Percent complete: 14.7%; Average loss: 3.7898
Iteration: 590; Percent complete: 14.8%; Average loss: 3.5590
Iteration: 591; Percent complete: 14.8%; Average loss: 3.8084
Iteration: 592; Percent complete: 14.8%; Average loss: 3.6157
Iteration: 593; Percent complete: 14.8%; Average loss: 3.8413
Iteration: 594; Percent complete: 14.8%; Average loss: 3.3719
Iteration: 595; Percent complete: 14.9%; Average loss: 3.7545
Iteration: 596; Percent complete: 14.9%; Average loss: 3.7507
Iteration: 597; Percent complete: 14.9%; Average loss: 3.4527
Iteration: 598; Percent complete: 14.9%; Average loss: 3.7133
Iteration: 599; Percent complete: 15.0%; Average loss: 3.7100
Iteration: 600; Percent complete: 15.0%; Average loss: 3.4734
Iteration: 601; Percent complete: 15.0%; Average loss: 3.6508
Iteration: 602; Percent complete: 15.0%; Average loss: 3.7553
Iteration: 603; Percent complete: 15.1%; Average loss: 3.7158
Iteration: 604; Percent complete: 15.1%; Average loss: 3.2197
Iteration: 605; Percent complete: 15.1%; Average loss: 3.5882
Iteration: 606; Percent complete: 15.2%; Average loss: 3.3375
Iteration: 607; Percent complete: 15.2%; Average loss: 3.6977
Iteration: 608; Percent complete: 15.2%; Average loss: 3.5088
Iteration: 609; Percent complete: 15.2%; Average loss: 3.7913
Iteration: 610; Percent complete: 15.2%; Average loss: 3.5891
Iteration: 611; Percent complete: 15.3%; Average loss: 3.7652
Iteration: 612; Percent complete: 15.3%; Average loss: 3.7494
Iteration: 613; Percent complete: 15.3%; Average loss: 3.8751
Iteration: 614; Percent complete: 15.3%; Average loss: 3.7167
Iteration: 615; Percent complete: 15.4%; Average loss: 3.5643
Iteration: 616; Percent complete: 15.4%; Average loss: 3.7216
Iteration: 617; Percent complete: 15.4%; Average loss: 3.7678
Iteration: 618; Percent complete: 15.4%; Average loss: 3.7240
Iteration: 619; Percent complete: 15.5%; Average loss: 3.5025
Iteration: 620; Percent complete: 15.5%; Average loss: 3.6553
Iteration: 621; Percent complete: 15.5%; Average loss: 3.5804
Iteration: 622; Percent complete: 15.6%; Average loss: 3.5327
Iteration: 623; Percent complete: 15.6%; Average loss: 3.6088
Iteration: 624; Percent complete: 15.6%; Average loss: 3.6434
Iteration: 625; Percent complete: 15.6%; Average loss: 3.5083
Iteration: 626; Percent complete: 15.7%; Average loss: 3.5973
Iteration: 627; Percent complete: 15.7%; Average loss: 3.4416
Iteration: 628; Percent complete: 15.7%; Average loss: 3.8984
Iteration: 629; Percent complete: 15.7%; Average loss: 3.6623
Iteration: 630; Percent complete: 15.8%; Average loss: 3.6002
Iteration: 631; Percent complete: 15.8%; Average loss: 3.6263
Iteration: 632; Percent complete: 15.8%; Average loss: 3.4938
Iteration: 633; Percent complete: 15.8%; Average loss: 3.4565
Iteration: 634; Percent complete: 15.8%; Average loss: 3.7821
Iteration: 635; Percent complete: 15.9%; Average loss: 3.5553
Iteration: 636; Percent complete: 15.9%; Average loss: 3.4389
Iteration: 637; Percent complete: 15.9%; Average loss: 3.4486
Iteration: 638; Percent complete: 16.0%; Average loss: 3.7030
Iteration: 639; Percent complete: 16.0%; Average loss: 3.6420
Iteration: 640; Percent complete: 16.0%; Average loss: 3.4739
Iteration: 641; Percent complete: 16.0%; Average loss: 3.7099
Iteration: 642; Percent complete: 16.1%; Average loss: 3.7089
Iteration: 643; Percent complete: 16.1%; Average loss: 3.5979
Iteration: 644; Percent complete: 16.1%; Average loss: 3.7160
Iteration: 645; Percent complete: 16.1%; Average loss: 3.7489
Iteration: 646; Percent complete: 16.2%; Average loss: 3.6217
Iteration: 647; Percent complete: 16.2%; Average loss: 3.8449
Iteration: 648; Percent complete: 16.2%; Average loss: 3.4969
Iteration: 649; Percent complete: 16.2%; Average loss: 4.0490
Iteration: 650; Percent complete: 16.2%; Average loss: 3.7652
Iteration: 651; Percent complete: 16.3%; Average loss: 3.7213
Iteration: 652; Percent complete: 16.3%; Average loss: 3.6508
Iteration: 653; Percent complete: 16.3%; Average loss: 3.4509
Iteration: 654; Percent complete: 16.4%; Average loss: 3.5026
Iteration: 655; Percent complete: 16.4%; Average loss: 3.5420
Iteration: 656; Percent complete: 16.4%; Average loss: 3.4141
Iteration: 657; Percent complete: 16.4%; Average loss: 3.5245
Iteration: 658; Percent complete: 16.4%; Average loss: 3.6661
Iteration: 659; Percent complete: 16.5%; Average loss: 4.0318
Iteration: 660; Percent complete: 16.5%; Average loss: 3.7019
Iteration: 661; Percent complete: 16.5%; Average loss: 3.5860
Iteration: 662; Percent complete: 16.6%; Average loss: 3.6568
Iteration: 663; Percent complete: 16.6%; Average loss: 3.5732
Iteration: 664; Percent complete: 16.6%; Average loss: 3.5440
Iteration: 665; Percent complete: 16.6%; Average loss: 3.6490
Iteration: 666; Percent complete: 16.7%; Average loss: 3.7485
Iteration: 667; Percent complete: 16.7%; Average loss: 3.7009
Iteration: 668; Percent complete: 16.7%; Average loss: 3.4438
Iteration: 669; Percent complete: 16.7%; Average loss: 3.6244
Iteration: 670; Percent complete: 16.8%; Average loss: 3.7672
Iteration: 671; Percent complete: 16.8%; Average loss: 3.4951
Iteration: 672; Percent complete: 16.8%; Average loss: 3.5695
Iteration: 673; Percent complete: 16.8%; Average loss: 3.7271
Iteration: 674; Percent complete: 16.9%; Average loss: 3.5604
Iteration: 675; Percent complete: 16.9%; Average loss: 3.8892
Iteration: 676; Percent complete: 16.9%; Average loss: 3.5028
Iteration: 677; Percent complete: 16.9%; Average loss: 3.5692
Iteration: 678; Percent complete: 17.0%; Average loss: 3.8522
Iteration: 679; Percent complete: 17.0%; Average loss: 3.7131
Iteration: 680; Percent complete: 17.0%; Average loss: 3.5396
Iteration: 681; Percent complete: 17.0%; Average loss: 3.6152
Iteration: 682; Percent complete: 17.1%; Average loss: 3.7271
Iteration: 683; Percent complete: 17.1%; Average loss: 3.6156
Iteration: 684; Percent complete: 17.1%; Average loss: 3.3597
Iteration: 685; Percent complete: 17.1%; Average loss: 3.5034
Iteration: 686; Percent complete: 17.2%; Average loss: 3.6919
Iteration: 687; Percent complete: 17.2%; Average loss: 3.9191
Iteration: 688; Percent complete: 17.2%; Average loss: 3.3589
Iteration: 689; Percent complete: 17.2%; Average loss: 3.5904
Iteration: 690; Percent complete: 17.2%; Average loss: 3.5802
Iteration: 691; Percent complete: 17.3%; Average loss: 3.5813
Iteration: 692; Percent complete: 17.3%; Average loss: 3.6517
Iteration: 693; Percent complete: 17.3%; Average loss: 3.6850
Iteration: 694; Percent complete: 17.3%; Average loss: 3.6451
Iteration: 695; Percent complete: 17.4%; Average loss: 3.7723
Iteration: 696; Percent complete: 17.4%; Average loss: 3.4073
Iteration: 697; Percent complete: 17.4%; Average loss: 3.5486
Iteration: 698; Percent complete: 17.4%; Average loss: 3.8065
Iteration: 699; Percent complete: 17.5%; Average loss: 3.3819
Iteration: 700; Percent complete: 17.5%; Average loss: 4.0634
Iteration: 701; Percent complete: 17.5%; Average loss: 3.4382
Iteration: 702; Percent complete: 17.5%; Average loss: 3.9269
Iteration: 703; Percent complete: 17.6%; Average loss: 3.7059
Iteration: 704; Percent complete: 17.6%; Average loss: 3.5492
Iteration: 705; Percent complete: 17.6%; Average loss: 3.7935
Iteration: 706; Percent complete: 17.6%; Average loss: 3.6737
Iteration: 707; Percent complete: 17.7%; Average loss: 3.6731
Iteration: 708; Percent complete: 17.7%; Average loss: 3.4603
Iteration: 709; Percent complete: 17.7%; Average loss: 3.5585
Iteration: 710; Percent complete: 17.8%; Average loss: 3.5329
Iteration: 711; Percent complete: 17.8%; Average loss: 3.7046
Iteration: 712; Percent complete: 17.8%; Average loss: 3.8327
Iteration: 713; Percent complete: 17.8%; Average loss: 3.5203
Iteration: 714; Percent complete: 17.8%; Average loss: 3.7364
Iteration: 715; Percent complete: 17.9%; Average loss: 3.5548
Iteration: 716; Percent complete: 17.9%; Average loss: 3.5881
Iteration: 717; Percent complete: 17.9%; Average loss: 3.6600
Iteration: 718; Percent complete: 17.9%; Average loss: 3.8657
Iteration: 719; Percent complete: 18.0%; Average loss: 3.6341
Iteration: 720; Percent complete: 18.0%; Average loss: 3.7495
Iteration: 721; Percent complete: 18.0%; Average loss: 3.6404
Iteration: 722; Percent complete: 18.1%; Average loss: 3.2341
Iteration: 723; Percent complete: 18.1%; Average loss: 3.8148
Iteration: 724; Percent complete: 18.1%; Average loss: 3.4636
Iteration: 725; Percent complete: 18.1%; Average loss: 4.0303
Iteration: 726; Percent complete: 18.1%; Average loss: 3.7051
Iteration: 727; Percent complete: 18.2%; Average loss: 3.7527
Iteration: 728; Percent complete: 18.2%; Average loss: 3.3856
Iteration: 729; Percent complete: 18.2%; Average loss: 3.7370
Iteration: 730; Percent complete: 18.2%; Average loss: 3.4421
Iteration: 731; Percent complete: 18.3%; Average loss: 3.5839
Iteration: 732; Percent complete: 18.3%; Average loss: 3.6299
Iteration: 733; Percent complete: 18.3%; Average loss: 3.8152
Iteration: 734; Percent complete: 18.4%; Average loss: 3.6964
Iteration: 735; Percent complete: 18.4%; Average loss: 3.6110
Iteration: 736; Percent complete: 18.4%; Average loss: 3.4374
Iteration: 737; Percent complete: 18.4%; Average loss: 3.5036
Iteration: 738; Percent complete: 18.4%; Average loss: 3.7164
Iteration: 739; Percent complete: 18.5%; Average loss: 3.7304
Iteration: 740; Percent complete: 18.5%; Average loss: 3.8085
Iteration: 741; Percent complete: 18.5%; Average loss: 3.4595
Iteration: 742; Percent complete: 18.6%; Average loss: 3.6053
Iteration: 743; Percent complete: 18.6%; Average loss: 3.6571
Iteration: 744; Percent complete: 18.6%; Average loss: 3.6015
Iteration: 745; Percent complete: 18.6%; Average loss: 3.5108
Iteration: 746; Percent complete: 18.6%; Average loss: 3.4614
Iteration: 747; Percent complete: 18.7%; Average loss: 3.5290
Iteration: 748; Percent complete: 18.7%; Average loss: 3.5456
Iteration: 749; Percent complete: 18.7%; Average loss: 3.6568
Iteration: 750; Percent complete: 18.8%; Average loss: 3.5395
Iteration: 751; Percent complete: 18.8%; Average loss: 3.5177
Iteration: 752; Percent complete: 18.8%; Average loss: 3.6213
Iteration: 753; Percent complete: 18.8%; Average loss: 3.7354
Iteration: 754; Percent complete: 18.9%; Average loss: 3.6635
Iteration: 755; Percent complete: 18.9%; Average loss: 3.6727
Iteration: 756; Percent complete: 18.9%; Average loss: 3.4282
Iteration: 757; Percent complete: 18.9%; Average loss: 3.5970
Iteration: 758; Percent complete: 18.9%; Average loss: 3.4148
Iteration: 759; Percent complete: 19.0%; Average loss: 3.2916
Iteration: 760; Percent complete: 19.0%; Average loss: 3.6362
Iteration: 761; Percent complete: 19.0%; Average loss: 3.7166
Iteration: 762; Percent complete: 19.1%; Average loss: 3.6554
Iteration: 763; Percent complete: 19.1%; Average loss: 3.3934
Iteration: 764; Percent complete: 19.1%; Average loss: 3.6036
Iteration: 765; Percent complete: 19.1%; Average loss: 3.4045
Iteration: 766; Percent complete: 19.1%; Average loss: 3.7331
Iteration: 767; Percent complete: 19.2%; Average loss: 3.5038
Iteration: 768; Percent complete: 19.2%; Average loss: 3.4017
Iteration: 769; Percent complete: 19.2%; Average loss: 3.7134
Iteration: 770; Percent complete: 19.2%; Average loss: 3.7703
Iteration: 771; Percent complete: 19.3%; Average loss: 3.7219
Iteration: 772; Percent complete: 19.3%; Average loss: 3.6729
Iteration: 773; Percent complete: 19.3%; Average loss: 3.6072
Iteration: 774; Percent complete: 19.4%; Average loss: 3.8295
Iteration: 775; Percent complete: 19.4%; Average loss: 3.4756
Iteration: 776; Percent complete: 19.4%; Average loss: 3.7219
Iteration: 777; Percent complete: 19.4%; Average loss: 3.4650
Iteration: 778; Percent complete: 19.4%; Average loss: 3.5280
Iteration: 779; Percent complete: 19.5%; Average loss: 3.7058
Iteration: 780; Percent complete: 19.5%; Average loss: 3.4119
Iteration: 781; Percent complete: 19.5%; Average loss: 3.5511
Iteration: 782; Percent complete: 19.6%; Average loss: 3.4033
Iteration: 783; Percent complete: 19.6%; Average loss: 3.6485
Iteration: 784; Percent complete: 19.6%; Average loss: 3.6499
Iteration: 785; Percent complete: 19.6%; Average loss: 3.4963
Iteration: 786; Percent complete: 19.7%; Average loss: 3.5106
Iteration: 787; Percent complete: 19.7%; Average loss: 3.5315
Iteration: 788; Percent complete: 19.7%; Average loss: 3.6649
Iteration: 789; Percent complete: 19.7%; Average loss: 3.5113
Iteration: 790; Percent complete: 19.8%; Average loss: 3.5901
Iteration: 791; Percent complete: 19.8%; Average loss: 3.6908
Iteration: 792; Percent complete: 19.8%; Average loss: 3.7056
Iteration: 793; Percent complete: 19.8%; Average loss: 3.3511
Iteration: 794; Percent complete: 19.9%; Average loss: 3.1599
Iteration: 795; Percent complete: 19.9%; Average loss: 3.2452
Iteration: 796; Percent complete: 19.9%; Average loss: 3.3718
Iteration: 797; Percent complete: 19.9%; Average loss: 3.7513
Iteration: 798; Percent complete: 20.0%; Average loss: 3.7617
Iteration: 799; Percent complete: 20.0%; Average loss: 3.6454
Iteration: 800; Percent complete: 20.0%; Average loss: 3.4900
Iteration: 801; Percent complete: 20.0%; Average loss: 3.7277
Iteration: 802; Percent complete: 20.1%; Average loss: 3.7345
Iteration: 803; Percent complete: 20.1%; Average loss: 3.2833
Iteration: 804; Percent complete: 20.1%; Average loss: 3.6688
Iteration: 805; Percent complete: 20.1%; Average loss: 3.6503
Iteration: 806; Percent complete: 20.2%; Average loss: 3.7687
Iteration: 807; Percent complete: 20.2%; Average loss: 3.8155
Iteration: 808; Percent complete: 20.2%; Average loss: 3.5092
Iteration: 809; Percent complete: 20.2%; Average loss: 3.7394
Iteration: 810; Percent complete: 20.2%; Average loss: 3.4018
Iteration: 811; Percent complete: 20.3%; Average loss: 3.4299
Iteration: 812; Percent complete: 20.3%; Average loss: 3.6799
Iteration: 813; Percent complete: 20.3%; Average loss: 3.7582
Iteration: 814; Percent complete: 20.3%; Average loss: 3.2676
Iteration: 815; Percent complete: 20.4%; Average loss: 3.3112
Iteration: 816; Percent complete: 20.4%; Average loss: 3.5682
Iteration: 817; Percent complete: 20.4%; Average loss: 3.3148
Iteration: 818; Percent complete: 20.4%; Average loss: 3.6460
Iteration: 819; Percent complete: 20.5%; Average loss: 3.2862
Iteration: 820; Percent complete: 20.5%; Average loss: 3.6255
Iteration: 821; Percent complete: 20.5%; Average loss: 3.3545
Iteration: 822; Percent complete: 20.5%; Average loss: 3.5836
Iteration: 823; Percent complete: 20.6%; Average loss: 3.7287
Iteration: 824; Percent complete: 20.6%; Average loss: 3.5845
Iteration: 825; Percent complete: 20.6%; Average loss: 3.4164
Iteration: 826; Percent complete: 20.6%; Average loss: 3.6777
Iteration: 827; Percent complete: 20.7%; Average loss: 3.5236
Iteration: 828; Percent complete: 20.7%; Average loss: 3.3295
Iteration: 829; Percent complete: 20.7%; Average loss: 3.7330
Iteration: 830; Percent complete: 20.8%; Average loss: 3.5217
Iteration: 831; Percent complete: 20.8%; Average loss: 3.3875
Iteration: 832; Percent complete: 20.8%; Average loss: 3.0322
Iteration: 833; Percent complete: 20.8%; Average loss: 3.5159
Iteration: 834; Percent complete: 20.8%; Average loss: 3.7352
Iteration: 835; Percent complete: 20.9%; Average loss: 3.7352
Iteration: 836; Percent complete: 20.9%; Average loss: 3.7360
Iteration: 837; Percent complete: 20.9%; Average loss: 3.6645
Iteration: 838; Percent complete: 20.9%; Average loss: 3.8466
Iteration: 839; Percent complete: 21.0%; Average loss: 3.6553
Iteration: 840; Percent complete: 21.0%; Average loss: 3.4392
Iteration: 841; Percent complete: 21.0%; Average loss: 3.8665
Iteration: 842; Percent complete: 21.1%; Average loss: 3.6350
Iteration: 843; Percent complete: 21.1%; Average loss: 3.4308
Iteration: 844; Percent complete: 21.1%; Average loss: 3.4890
Iteration: 845; Percent complete: 21.1%; Average loss: 3.5552
Iteration: 846; Percent complete: 21.1%; Average loss: 3.5621
Iteration: 847; Percent complete: 21.2%; Average loss: 3.5689
Iteration: 848; Percent complete: 21.2%; Average loss: 3.4274
Iteration: 849; Percent complete: 21.2%; Average loss: 3.3820
Iteration: 850; Percent complete: 21.2%; Average loss: 3.4223
Iteration: 851; Percent complete: 21.3%; Average loss: 3.3830
Iteration: 852; Percent complete: 21.3%; Average loss: 3.6285
Iteration: 853; Percent complete: 21.3%; Average loss: 3.6628
Iteration: 854; Percent complete: 21.3%; Average loss: 3.5285
Iteration: 855; Percent complete: 21.4%; Average loss: 3.5726
Iteration: 856; Percent complete: 21.4%; Average loss: 3.3051
Iteration: 857; Percent complete: 21.4%; Average loss: 3.4022
Iteration: 858; Percent complete: 21.4%; Average loss: 3.8199
Iteration: 859; Percent complete: 21.5%; Average loss: 3.6098
Iteration: 860; Percent complete: 21.5%; Average loss: 3.5610
Iteration: 861; Percent complete: 21.5%; Average loss: 3.5126
Iteration: 862; Percent complete: 21.6%; Average loss: 3.6300
Iteration: 863; Percent complete: 21.6%; Average loss: 3.6402
Iteration: 864; Percent complete: 21.6%; Average loss: 3.5260
Iteration: 865; Percent complete: 21.6%; Average loss: 3.7452
Iteration: 866; Percent complete: 21.6%; Average loss: 3.2927
Iteration: 867; Percent complete: 21.7%; Average loss: 3.5358
Iteration: 868; Percent complete: 21.7%; Average loss: 3.1733
Iteration: 869; Percent complete: 21.7%; Average loss: 3.5865
Iteration: 870; Percent complete: 21.8%; Average loss: 3.2672
Iteration: 871; Percent complete: 21.8%; Average loss: 3.6263
Iteration: 872; Percent complete: 21.8%; Average loss: 3.4174
Iteration: 873; Percent complete: 21.8%; Average loss: 3.6685
Iteration: 874; Percent complete: 21.9%; Average loss: 3.5636
Iteration: 875; Percent complete: 21.9%; Average loss: 3.5882
Iteration: 876; Percent complete: 21.9%; Average loss: 3.4826
Iteration: 877; Percent complete: 21.9%; Average loss: 3.4406
Iteration: 878; Percent complete: 21.9%; Average loss: 3.7761
Iteration: 879; Percent complete: 22.0%; Average loss: 3.6013
Iteration: 880; Percent complete: 22.0%; Average loss: 3.4479
Iteration: 881; Percent complete: 22.0%; Average loss: 3.6888
Iteration: 882; Percent complete: 22.1%; Average loss: 3.4903
Iteration: 883; Percent complete: 22.1%; Average loss: 3.2792
Iteration: 884; Percent complete: 22.1%; Average loss: 3.5561
Iteration: 885; Percent complete: 22.1%; Average loss: 3.7072
Iteration: 886; Percent complete: 22.1%; Average loss: 3.4961
Iteration: 887; Percent complete: 22.2%; Average loss: 3.3570
Iteration: 888; Percent complete: 22.2%; Average loss: 3.4459
Iteration: 889; Percent complete: 22.2%; Average loss: 3.7364
Iteration: 890; Percent complete: 22.2%; Average loss: 3.2514
Iteration: 891; Percent complete: 22.3%; Average loss: 3.4322
Iteration: 892; Percent complete: 22.3%; Average loss: 3.8511
Iteration: 893; Percent complete: 22.3%; Average loss: 3.5262
Iteration: 894; Percent complete: 22.4%; Average loss: 3.6099
Iteration: 895; Percent complete: 22.4%; Average loss: 3.7458
Iteration: 896; Percent complete: 22.4%; Average loss: 3.6824
Iteration: 897; Percent complete: 22.4%; Average loss: 3.4392
Iteration: 898; Percent complete: 22.4%; Average loss: 3.7542
Iteration: 899; Percent complete: 22.5%; Average loss: 3.6435
Iteration: 900; Percent complete: 22.5%; Average loss: 3.3882
Iteration: 901; Percent complete: 22.5%; Average loss: 3.3040
Iteration: 902; Percent complete: 22.6%; Average loss: 3.3958
Iteration: 903; Percent complete: 22.6%; Average loss: 3.5044
Iteration: 904; Percent complete: 22.6%; Average loss: 3.3824
Iteration: 905; Percent complete: 22.6%; Average loss: 3.5030
Iteration: 906; Percent complete: 22.7%; Average loss: 3.6208
Iteration: 907; Percent complete: 22.7%; Average loss: 3.3758
Iteration: 908; Percent complete: 22.7%; Average loss: 3.3491
Iteration: 909; Percent complete: 22.7%; Average loss: 3.4505
Iteration: 910; Percent complete: 22.8%; Average loss: 3.6066
Iteration: 911; Percent complete: 22.8%; Average loss: 3.5602
Iteration: 912; Percent complete: 22.8%; Average loss: 3.5422
Iteration: 913; Percent complete: 22.8%; Average loss: 3.4092
Iteration: 914; Percent complete: 22.9%; Average loss: 3.5179
Iteration: 915; Percent complete: 22.9%; Average loss: 3.4181
Iteration: 916; Percent complete: 22.9%; Average loss: 3.4841
Iteration: 917; Percent complete: 22.9%; Average loss: 3.5035
Iteration: 918; Percent complete: 22.9%; Average loss: 3.4871
Iteration: 919; Percent complete: 23.0%; Average loss: 3.4858
Iteration: 920; Percent complete: 23.0%; Average loss: 3.3308
Iteration: 921; Percent complete: 23.0%; Average loss: 3.4046
Iteration: 922; Percent complete: 23.1%; Average loss: 3.3307
Iteration: 923; Percent complete: 23.1%; Average loss: 3.5207
Iteration: 924; Percent complete: 23.1%; Average loss: 3.4231
Iteration: 925; Percent complete: 23.1%; Average loss: 3.7046
Iteration: 926; Percent complete: 23.2%; Average loss: 3.4752
Iteration: 927; Percent complete: 23.2%; Average loss: 3.4645
Iteration: 928; Percent complete: 23.2%; Average loss: 3.5408
Iteration: 929; Percent complete: 23.2%; Average loss: 3.2644
Iteration: 930; Percent complete: 23.2%; Average loss: 3.6244
Iteration: 931; Percent complete: 23.3%; Average loss: 3.2696
Iteration: 932; Percent complete: 23.3%; Average loss: 3.5020
Iteration: 933; Percent complete: 23.3%; Average loss: 3.6783
Iteration: 934; Percent complete: 23.4%; Average loss: 3.4063
Iteration: 935; Percent complete: 23.4%; Average loss: 3.6136
Iteration: 936; Percent complete: 23.4%; Average loss: 3.3651
Iteration: 937; Percent complete: 23.4%; Average loss: 3.2039
Iteration: 938; Percent complete: 23.4%; Average loss: 3.4864
Iteration: 939; Percent complete: 23.5%; Average loss: 3.5704
Iteration: 940; Percent complete: 23.5%; Average loss: 3.3766
Iteration: 941; Percent complete: 23.5%; Average loss: 3.7707
Iteration: 942; Percent complete: 23.5%; Average loss: 3.5232
Iteration: 943; Percent complete: 23.6%; Average loss: 3.4510
Iteration: 944; Percent complete: 23.6%; Average loss: 3.4819
Iteration: 945; Percent complete: 23.6%; Average loss: 3.2196
Iteration: 946; Percent complete: 23.6%; Average loss: 3.6599
Iteration: 947; Percent complete: 23.7%; Average loss: 3.3452
Iteration: 948; Percent complete: 23.7%; Average loss: 3.5120
Iteration: 949; Percent complete: 23.7%; Average loss: 3.7094
Iteration: 950; Percent complete: 23.8%; Average loss: 3.2730
Iteration: 951; Percent complete: 23.8%; Average loss: 3.4638
Iteration: 952; Percent complete: 23.8%; Average loss: 3.2849
Iteration: 953; Percent complete: 23.8%; Average loss: 3.4963
Iteration: 954; Percent complete: 23.8%; Average loss: 3.3987
Iteration: 955; Percent complete: 23.9%; Average loss: 3.4223
Iteration: 956; Percent complete: 23.9%; Average loss: 3.4635
Iteration: 957; Percent complete: 23.9%; Average loss: 3.5469
Iteration: 958; Percent complete: 23.9%; Average loss: 3.4281
Iteration: 959; Percent complete: 24.0%; Average loss: 3.5293
Iteration: 960; Percent complete: 24.0%; Average loss: 3.4129
Iteration: 961; Percent complete: 24.0%; Average loss: 3.2752
Iteration: 962; Percent complete: 24.1%; Average loss: 3.4422
Iteration: 963; Percent complete: 24.1%; Average loss: 3.6320
Iteration: 964; Percent complete: 24.1%; Average loss: 3.4131
Iteration: 965; Percent complete: 24.1%; Average loss: 3.2632
Iteration: 966; Percent complete: 24.1%; Average loss: 3.4467
Iteration: 967; Percent complete: 24.2%; Average loss: 3.4774
Iteration: 968; Percent complete: 24.2%; Average loss: 3.2939
Iteration: 969; Percent complete: 24.2%; Average loss: 3.5844
Iteration: 970; Percent complete: 24.2%; Average loss: 3.7291
Iteration: 971; Percent complete: 24.3%; Average loss: 3.3558
Iteration: 972; Percent complete: 24.3%; Average loss: 3.3816
Iteration: 973; Percent complete: 24.3%; Average loss: 3.2979
Iteration: 974; Percent complete: 24.3%; Average loss: 3.4838
Iteration: 975; Percent complete: 24.4%; Average loss: 3.6234
Iteration: 976; Percent complete: 24.4%; Average loss: 3.3990
Iteration: 977; Percent complete: 24.4%; Average loss: 3.3728
Iteration: 978; Percent complete: 24.4%; Average loss: 3.2612
Iteration: 979; Percent complete: 24.5%; Average loss: 3.6531
Iteration: 980; Percent complete: 24.5%; Average loss: 3.5880
Iteration: 981; Percent complete: 24.5%; Average loss: 3.4902
Iteration: 982; Percent complete: 24.6%; Average loss: 3.4931
Iteration: 983; Percent complete: 24.6%; Average loss: 3.5653
Iteration: 984; Percent complete: 24.6%; Average loss: 3.2685
Iteration: 985; Percent complete: 24.6%; Average loss: 3.4058
Iteration: 986; Percent complete: 24.6%; Average loss: 3.7169
Iteration: 987; Percent complete: 24.7%; Average loss: 3.3565
Iteration: 988; Percent complete: 24.7%; Average loss: 3.5441
Iteration: 989; Percent complete: 24.7%; Average loss: 3.7012
Iteration: 990; Percent complete: 24.8%; Average loss: 3.2462
Iteration: 991; Percent complete: 24.8%; Average loss: 3.3577
Iteration: 992; Percent complete: 24.8%; Average loss: 3.5013
Iteration: 993; Percent complete: 24.8%; Average loss: 3.5117
Iteration: 994; Percent complete: 24.9%; Average loss: 3.5350
Iteration: 995; Percent complete: 24.9%; Average loss: 3.1754
Iteration: 996; Percent complete: 24.9%; Average loss: 3.3171
Iteration: 997; Percent complete: 24.9%; Average loss: 3.4103
Iteration: 998; Percent complete: 24.9%; Average loss: 3.2254
Iteration: 999; Percent complete: 25.0%; Average loss: 3.5014
Iteration: 1000; Percent complete: 25.0%; Average loss: 3.6406
Iteration: 1001; Percent complete: 25.0%; Average loss: 3.1633
Iteration: 1002; Percent complete: 25.1%; Average loss: 3.3768
Iteration: 1003; Percent complete: 25.1%; Average loss: 3.7134
Iteration: 1004; Percent complete: 25.1%; Average loss: 3.2311
Iteration: 1005; Percent complete: 25.1%; Average loss: 3.6128
Iteration: 1006; Percent complete: 25.1%; Average loss: 3.5724
Iteration: 1007; Percent complete: 25.2%; Average loss: 3.4165
Iteration: 1008; Percent complete: 25.2%; Average loss: 3.2243
Iteration: 1009; Percent complete: 25.2%; Average loss: 3.2819
Iteration: 1010; Percent complete: 25.2%; Average loss: 3.4017
Iteration: 1011; Percent complete: 25.3%; Average loss: 3.5452
Iteration: 1012; Percent complete: 25.3%; Average loss: 3.6403
Iteration: 1013; Percent complete: 25.3%; Average loss: 3.4306
Iteration: 1014; Percent complete: 25.4%; Average loss: 3.4452
Iteration: 1015; Percent complete: 25.4%; Average loss: 3.5270
Iteration: 1016; Percent complete: 25.4%; Average loss: 3.3046
Iteration: 1017; Percent complete: 25.4%; Average loss: 3.4315
Iteration: 1018; Percent complete: 25.4%; Average loss: 3.5075
Iteration: 1019; Percent complete: 25.5%; Average loss: 3.4836
Iteration: 1020; Percent complete: 25.5%; Average loss: 3.3840
Iteration: 1021; Percent complete: 25.5%; Average loss: 3.5052
Iteration: 1022; Percent complete: 25.6%; Average loss: 3.7153
Iteration: 1023; Percent complete: 25.6%; Average loss: 3.5386
Iteration: 1024; Percent complete: 25.6%; Average loss: 3.1563
Iteration: 1025; Percent complete: 25.6%; Average loss: 3.5400
Iteration: 1026; Percent complete: 25.7%; Average loss: 3.5847
Iteration: 1027; Percent complete: 25.7%; Average loss: 3.4619
Iteration: 1028; Percent complete: 25.7%; Average loss: 3.5542
Iteration: 1029; Percent complete: 25.7%; Average loss: 3.5141
Iteration: 1030; Percent complete: 25.8%; Average loss: 3.5134
Iteration: 1031; Percent complete: 25.8%; Average loss: 3.4179
Iteration: 1032; Percent complete: 25.8%; Average loss: 3.5562
Iteration: 1033; Percent complete: 25.8%; Average loss: 3.2264
Iteration: 1034; Percent complete: 25.9%; Average loss: 3.6396
Iteration: 1035; Percent complete: 25.9%; Average loss: 3.6039
Iteration: 1036; Percent complete: 25.9%; Average loss: 3.4059
Iteration: 1037; Percent complete: 25.9%; Average loss: 3.3094
Iteration: 1038; Percent complete: 25.9%; Average loss: 3.5278
Iteration: 1039; Percent complete: 26.0%; Average loss: 3.6249
Iteration: 1040; Percent complete: 26.0%; Average loss: 3.2727
Iteration: 1041; Percent complete: 26.0%; Average loss: 3.1930
Iteration: 1042; Percent complete: 26.1%; Average loss: 3.6127
Iteration: 1043; Percent complete: 26.1%; Average loss: 3.5764
Iteration: 1044; Percent complete: 26.1%; Average loss: 3.4483
Iteration: 1045; Percent complete: 26.1%; Average loss: 3.5423
Iteration: 1046; Percent complete: 26.2%; Average loss: 3.3026
Iteration: 1047; Percent complete: 26.2%; Average loss: 3.5571
Iteration: 1048; Percent complete: 26.2%; Average loss: 3.7717
Iteration: 1049; Percent complete: 26.2%; Average loss: 3.3094
Iteration: 1050; Percent complete: 26.2%; Average loss: 3.5728
Iteration: 1051; Percent complete: 26.3%; Average loss: 3.2636
Iteration: 1052; Percent complete: 26.3%; Average loss: 3.3262
Iteration: 1053; Percent complete: 26.3%; Average loss: 3.4514
Iteration: 1054; Percent complete: 26.4%; Average loss: 3.3199
Iteration: 1055; Percent complete: 26.4%; Average loss: 3.6798
Iteration: 1056; Percent complete: 26.4%; Average loss: 3.3783
Iteration: 1057; Percent complete: 26.4%; Average loss: 3.4272
Iteration: 1058; Percent complete: 26.5%; Average loss: 3.4801
Iteration: 1059; Percent complete: 26.5%; Average loss: 3.3768
Iteration: 1060; Percent complete: 26.5%; Average loss: 3.4312
Iteration: 1061; Percent complete: 26.5%; Average loss: 3.6210
Iteration: 1062; Percent complete: 26.6%; Average loss: 3.3852
Iteration: 1063; Percent complete: 26.6%; Average loss: 3.7080
Iteration: 1064; Percent complete: 26.6%; Average loss: 3.3823
Iteration: 1065; Percent complete: 26.6%; Average loss: 3.4800
Iteration: 1066; Percent complete: 26.7%; Average loss: 3.5283
Iteration: 1067; Percent complete: 26.7%; Average loss: 3.2323
Iteration: 1068; Percent complete: 26.7%; Average loss: 3.3212
Iteration: 1069; Percent complete: 26.7%; Average loss: 3.2131
Iteration: 1070; Percent complete: 26.8%; Average loss: 3.4220
Iteration: 1071; Percent complete: 26.8%; Average loss: 3.3106
Iteration: 1072; Percent complete: 26.8%; Average loss: 3.2798
Iteration: 1073; Percent complete: 26.8%; Average loss: 3.3714
Iteration: 1074; Percent complete: 26.9%; Average loss: 3.3211
Iteration: 1075; Percent complete: 26.9%; Average loss: 3.4939
Iteration: 1076; Percent complete: 26.9%; Average loss: 3.4135
Iteration: 1077; Percent complete: 26.9%; Average loss: 3.4085
Iteration: 1078; Percent complete: 27.0%; Average loss: 3.3522
Iteration: 1079; Percent complete: 27.0%; Average loss: 3.2683
Iteration: 1080; Percent complete: 27.0%; Average loss: 3.5014
Iteration: 1081; Percent complete: 27.0%; Average loss: 3.2797
Iteration: 1082; Percent complete: 27.1%; Average loss: 3.3958
Iteration: 1083; Percent complete: 27.1%; Average loss: 3.5118
Iteration: 1084; Percent complete: 27.1%; Average loss: 3.1651
Iteration: 1085; Percent complete: 27.1%; Average loss: 3.4148
Iteration: 1086; Percent complete: 27.2%; Average loss: 3.4129
Iteration: 1087; Percent complete: 27.2%; Average loss: 3.2549
Iteration: 1088; Percent complete: 27.2%; Average loss: 3.2404
Iteration: 1089; Percent complete: 27.2%; Average loss: 3.5518
Iteration: 1090; Percent complete: 27.3%; Average loss: 3.5166
Iteration: 1091; Percent complete: 27.3%; Average loss: 3.2893
Iteration: 1092; Percent complete: 27.3%; Average loss: 3.3284
Iteration: 1093; Percent complete: 27.3%; Average loss: 3.3391
Iteration: 1094; Percent complete: 27.4%; Average loss: 3.3289
Iteration: 1095; Percent complete: 27.4%; Average loss: 3.6503
Iteration: 1096; Percent complete: 27.4%; Average loss: 3.5505
Iteration: 1097; Percent complete: 27.4%; Average loss: 3.5034
Iteration: 1098; Percent complete: 27.5%; Average loss: 3.6347
Iteration: 1099; Percent complete: 27.5%; Average loss: 3.2385
Iteration: 1100; Percent complete: 27.5%; Average loss: 3.4608
Iteration: 1101; Percent complete: 27.5%; Average loss: 3.3275
Iteration: 1102; Percent complete: 27.6%; Average loss: 3.3227
Iteration: 1103; Percent complete: 27.6%; Average loss: 3.3495
Iteration: 1104; Percent complete: 27.6%; Average loss: 3.4320
Iteration: 1105; Percent complete: 27.6%; Average loss: 3.3700
Iteration: 1106; Percent complete: 27.7%; Average loss: 3.6198
Iteration: 1107; Percent complete: 27.7%; Average loss: 3.2930
Iteration: 1108; Percent complete: 27.7%; Average loss: 3.2994
Iteration: 1109; Percent complete: 27.7%; Average loss: 3.4509
Iteration: 1110; Percent complete: 27.8%; Average loss: 3.3551
Iteration: 1111; Percent complete: 27.8%; Average loss: 3.4584
Iteration: 1112; Percent complete: 27.8%; Average loss: 3.5101
Iteration: 1113; Percent complete: 27.8%; Average loss: 3.3704
Iteration: 1114; Percent complete: 27.9%; Average loss: 3.3610
Iteration: 1115; Percent complete: 27.9%; Average loss: 3.5660
Iteration: 1116; Percent complete: 27.9%; Average loss: 3.4421
Iteration: 1117; Percent complete: 27.9%; Average loss: 3.6014
Iteration: 1118; Percent complete: 28.0%; Average loss: 3.5491
Iteration: 1119; Percent complete: 28.0%; Average loss: 3.6923
Iteration: 1120; Percent complete: 28.0%; Average loss: 3.5394
Iteration: 1121; Percent complete: 28.0%; Average loss: 3.7022
Iteration: 1122; Percent complete: 28.1%; Average loss: 3.1759
Iteration: 1123; Percent complete: 28.1%; Average loss: 3.6124
Iteration: 1124; Percent complete: 28.1%; Average loss: 3.4258
Iteration: 1125; Percent complete: 28.1%; Average loss: 3.6935
Iteration: 1126; Percent complete: 28.1%; Average loss: 3.4304
Iteration: 1127; Percent complete: 28.2%; Average loss: 3.5678
Iteration: 1128; Percent complete: 28.2%; Average loss: 3.2419
Iteration: 1129; Percent complete: 28.2%; Average loss: 3.1720
Iteration: 1130; Percent complete: 28.2%; Average loss: 3.4249
Iteration: 1131; Percent complete: 28.3%; Average loss: 3.4669
Iteration: 1132; Percent complete: 28.3%; Average loss: 3.6904
Iteration: 1133; Percent complete: 28.3%; Average loss: 3.3290
Iteration: 1134; Percent complete: 28.3%; Average loss: 3.2231
Iteration: 1135; Percent complete: 28.4%; Average loss: 3.2491
Iteration: 1136; Percent complete: 28.4%; Average loss: 3.2204
Iteration: 1137; Percent complete: 28.4%; Average loss: 3.3408
Iteration: 1138; Percent complete: 28.4%; Average loss: 3.6211
Iteration: 1139; Percent complete: 28.5%; Average loss: 3.3739
Iteration: 1140; Percent complete: 28.5%; Average loss: 3.5733
Iteration: 1141; Percent complete: 28.5%; Average loss: 3.2648
Iteration: 1142; Percent complete: 28.5%; Average loss: 3.3720
Iteration: 1143; Percent complete: 28.6%; Average loss: 3.3487
Iteration: 1144; Percent complete: 28.6%; Average loss: 3.3112
Iteration: 1145; Percent complete: 28.6%; Average loss: 3.4766
Iteration: 1146; Percent complete: 28.6%; Average loss: 3.4406
Iteration: 1147; Percent complete: 28.7%; Average loss: 3.4703
Iteration: 1148; Percent complete: 28.7%; Average loss: 3.4994
Iteration: 1149; Percent complete: 28.7%; Average loss: 3.4895
Iteration: 1150; Percent complete: 28.7%; Average loss: 3.3571
Iteration: 1151; Percent complete: 28.8%; Average loss: 3.4711
Iteration: 1152; Percent complete: 28.8%; Average loss: 3.3124
Iteration: 1153; Percent complete: 28.8%; Average loss: 3.3314
Iteration: 1154; Percent complete: 28.8%; Average loss: 3.2447
Iteration: 1155; Percent complete: 28.9%; Average loss: 3.7803
Iteration: 1156; Percent complete: 28.9%; Average loss: 3.6041
Iteration: 1157; Percent complete: 28.9%; Average loss: 3.2864
Iteration: 1158; Percent complete: 28.9%; Average loss: 3.3123
Iteration: 1159; Percent complete: 29.0%; Average loss: 3.3383
Iteration: 1160; Percent complete: 29.0%; Average loss: 3.2185
Iteration: 1161; Percent complete: 29.0%; Average loss: 3.4363
Iteration: 1162; Percent complete: 29.0%; Average loss: 3.5696
Iteration: 1163; Percent complete: 29.1%; Average loss: 3.1519
Iteration: 1164; Percent complete: 29.1%; Average loss: 3.5397
Iteration: 1165; Percent complete: 29.1%; Average loss: 3.2422
Iteration: 1166; Percent complete: 29.1%; Average loss: 3.1384
Iteration: 1167; Percent complete: 29.2%; Average loss: 3.4529
Iteration: 1168; Percent complete: 29.2%; Average loss: 3.1972
Iteration: 1169; Percent complete: 29.2%; Average loss: 3.3600
Iteration: 1170; Percent complete: 29.2%; Average loss: 3.4058
Iteration: 1171; Percent complete: 29.3%; Average loss: 3.4113
Iteration: 1172; Percent complete: 29.3%; Average loss: 3.2518
Iteration: 1173; Percent complete: 29.3%; Average loss: 3.3641
Iteration: 1174; Percent complete: 29.3%; Average loss: 3.5442
Iteration: 1175; Percent complete: 29.4%; Average loss: 3.4963
Iteration: 1176; Percent complete: 29.4%; Average loss: 3.4937
Iteration: 1177; Percent complete: 29.4%; Average loss: 3.3624
Iteration: 1178; Percent complete: 29.4%; Average loss: 3.5314
Iteration: 1179; Percent complete: 29.5%; Average loss: 3.2753
Iteration: 1180; Percent complete: 29.5%; Average loss: 3.4719
Iteration: 1181; Percent complete: 29.5%; Average loss: 3.2998
Iteration: 1182; Percent complete: 29.5%; Average loss: 3.6275
Iteration: 1183; Percent complete: 29.6%; Average loss: 3.4962
Iteration: 1184; Percent complete: 29.6%; Average loss: 3.4510
Iteration: 1185; Percent complete: 29.6%; Average loss: 3.3597
Iteration: 1186; Percent complete: 29.6%; Average loss: 3.5009
Iteration: 1187; Percent complete: 29.7%; Average loss: 3.5407
Iteration: 1188; Percent complete: 29.7%; Average loss: 3.5692
Iteration: 1189; Percent complete: 29.7%; Average loss: 3.3624
Iteration: 1190; Percent complete: 29.8%; Average loss: 3.3371
Iteration: 1191; Percent complete: 29.8%; Average loss: 3.4898
Iteration: 1192; Percent complete: 29.8%; Average loss: 3.3070
Iteration: 1193; Percent complete: 29.8%; Average loss: 3.2412
Iteration: 1194; Percent complete: 29.8%; Average loss: 3.4766
Iteration: 1195; Percent complete: 29.9%; Average loss: 3.4433
Iteration: 1196; Percent complete: 29.9%; Average loss: 3.2438
Iteration: 1197; Percent complete: 29.9%; Average loss: 3.3645
Iteration: 1198; Percent complete: 29.9%; Average loss: 3.3012
Iteration: 1199; Percent complete: 30.0%; Average loss: 3.5295
Iteration: 1200; Percent complete: 30.0%; Average loss: 3.4047
Iteration: 1201; Percent complete: 30.0%; Average loss: 3.3127
Iteration: 1202; Percent complete: 30.0%; Average loss: 3.4457
Iteration: 1203; Percent complete: 30.1%; Average loss: 3.1767
Iteration: 1204; Percent complete: 30.1%; Average loss: 3.3669
Iteration: 1205; Percent complete: 30.1%; Average loss: 3.4311
Iteration: 1206; Percent complete: 30.1%; Average loss: 3.4562
Iteration: 1207; Percent complete: 30.2%; Average loss: 3.3702
Iteration: 1208; Percent complete: 30.2%; Average loss: 3.3155
Iteration: 1209; Percent complete: 30.2%; Average loss: 3.3037
Iteration: 1210; Percent complete: 30.2%; Average loss: 3.4161
Iteration: 1211; Percent complete: 30.3%; Average loss: 3.2585
Iteration: 1212; Percent complete: 30.3%; Average loss: 3.4023
Iteration: 1213; Percent complete: 30.3%; Average loss: 3.5400
Iteration: 1214; Percent complete: 30.3%; Average loss: 3.4332
Iteration: 1215; Percent complete: 30.4%; Average loss: 3.3531
Iteration: 1216; Percent complete: 30.4%; Average loss: 3.3982
Iteration: 1217; Percent complete: 30.4%; Average loss: 3.3235
Iteration: 1218; Percent complete: 30.4%; Average loss: 3.4884
Iteration: 1219; Percent complete: 30.5%; Average loss: 3.6348
Iteration: 1220; Percent complete: 30.5%; Average loss: 3.5211
Iteration: 1221; Percent complete: 30.5%; Average loss: 3.5774
Iteration: 1222; Percent complete: 30.6%; Average loss: 3.5070
Iteration: 1223; Percent complete: 30.6%; Average loss: 3.4112
Iteration: 1224; Percent complete: 30.6%; Average loss: 3.3917
Iteration: 1225; Percent complete: 30.6%; Average loss: 3.5312
Iteration: 1226; Percent complete: 30.6%; Average loss: 3.1042
Iteration: 1227; Percent complete: 30.7%; Average loss: 3.4006
Iteration: 1228; Percent complete: 30.7%; Average loss: 3.6756
Iteration: 1229; Percent complete: 30.7%; Average loss: 3.4794
Iteration: 1230; Percent complete: 30.8%; Average loss: 3.5355
Iteration: 1231; Percent complete: 30.8%; Average loss: 3.4469
Iteration: 1232; Percent complete: 30.8%; Average loss: 3.6085
Iteration: 1233; Percent complete: 30.8%; Average loss: 3.2282
Iteration: 1234; Percent complete: 30.9%; Average loss: 3.4190
Iteration: 1235; Percent complete: 30.9%; Average loss: 3.1109
Iteration: 1236; Percent complete: 30.9%; Average loss: 3.3119
Iteration: 1237; Percent complete: 30.9%; Average loss: 3.3302
Iteration: 1238; Percent complete: 30.9%; Average loss: 3.4330
Iteration: 1239; Percent complete: 31.0%; Average loss: 3.2605
Iteration: 1240; Percent complete: 31.0%; Average loss: 3.2649
Iteration: 1241; Percent complete: 31.0%; Average loss: 3.2720
Iteration: 1242; Percent complete: 31.1%; Average loss: 3.1322
Iteration: 1243; Percent complete: 31.1%; Average loss: 3.2530
Iteration: 1244; Percent complete: 31.1%; Average loss: 3.5237
Iteration: 1245; Percent complete: 31.1%; Average loss: 3.4893
Iteration: 1246; Percent complete: 31.1%; Average loss: 3.4370
Iteration: 1247; Percent complete: 31.2%; Average loss: 3.3413
Iteration: 1248; Percent complete: 31.2%; Average loss: 3.0754
Iteration: 1249; Percent complete: 31.2%; Average loss: 3.4140
Iteration: 1250; Percent complete: 31.2%; Average loss: 3.4666
Iteration: 1251; Percent complete: 31.3%; Average loss: 3.4676
Iteration: 1252; Percent complete: 31.3%; Average loss: 3.2600
Iteration: 1253; Percent complete: 31.3%; Average loss: 3.5778
Iteration: 1254; Percent complete: 31.4%; Average loss: 3.3457
Iteration: 1255; Percent complete: 31.4%; Average loss: 3.2762
Iteration: 1256; Percent complete: 31.4%; Average loss: 3.1962
Iteration: 1257; Percent complete: 31.4%; Average loss: 3.3559
Iteration: 1258; Percent complete: 31.4%; Average loss: 3.3769
Iteration: 1259; Percent complete: 31.5%; Average loss: 3.4175
Iteration: 1260; Percent complete: 31.5%; Average loss: 3.3736
Iteration: 1261; Percent complete: 31.5%; Average loss: 3.3126
Iteration: 1262; Percent complete: 31.6%; Average loss: 3.3634
Iteration: 1263; Percent complete: 31.6%; Average loss: 3.5924
Iteration: 1264; Percent complete: 31.6%; Average loss: 3.5735
Iteration: 1265; Percent complete: 31.6%; Average loss: 3.4523
Iteration: 1266; Percent complete: 31.6%; Average loss: 3.3281
Iteration: 1267; Percent complete: 31.7%; Average loss: 3.6212
Iteration: 1268; Percent complete: 31.7%; Average loss: 3.4126
Iteration: 1269; Percent complete: 31.7%; Average loss: 3.0434
Iteration: 1270; Percent complete: 31.8%; Average loss: 3.4286
Iteration: 1271; Percent complete: 31.8%; Average loss: 3.2881
Iteration: 1272; Percent complete: 31.8%; Average loss: 3.2768
Iteration: 1273; Percent complete: 31.8%; Average loss: 3.2859
Iteration: 1274; Percent complete: 31.9%; Average loss: 3.3725
Iteration: 1275; Percent complete: 31.9%; Average loss: 3.2914
Iteration: 1276; Percent complete: 31.9%; Average loss: 3.6304
Iteration: 1277; Percent complete: 31.9%; Average loss: 3.4178
Iteration: 1278; Percent complete: 31.9%; Average loss: 3.1022
Iteration: 1279; Percent complete: 32.0%; Average loss: 3.2453
Iteration: 1280; Percent complete: 32.0%; Average loss: 3.3474
Iteration: 1281; Percent complete: 32.0%; Average loss: 3.6071
Iteration: 1282; Percent complete: 32.0%; Average loss: 3.2973
Iteration: 1283; Percent complete: 32.1%; Average loss: 3.4737
Iteration: 1284; Percent complete: 32.1%; Average loss: 3.2091
Iteration: 1285; Percent complete: 32.1%; Average loss: 3.4540
Iteration: 1286; Percent complete: 32.1%; Average loss: 3.1998
Iteration: 1287; Percent complete: 32.2%; Average loss: 3.2334
Iteration: 1288; Percent complete: 32.2%; Average loss: 3.3710
Iteration: 1289; Percent complete: 32.2%; Average loss: 3.5518
Iteration: 1290; Percent complete: 32.2%; Average loss: 3.5155
Iteration: 1291; Percent complete: 32.3%; Average loss: 3.2010
Iteration: 1292; Percent complete: 32.3%; Average loss: 3.2822
Iteration: 1293; Percent complete: 32.3%; Average loss: 3.6166
Iteration: 1294; Percent complete: 32.4%; Average loss: 3.4130
Iteration: 1295; Percent complete: 32.4%; Average loss: 3.4621
Iteration: 1296; Percent complete: 32.4%; Average loss: 3.2169
Iteration: 1297; Percent complete: 32.4%; Average loss: 3.2877
Iteration: 1298; Percent complete: 32.5%; Average loss: 3.1621
Iteration: 1299; Percent complete: 32.5%; Average loss: 3.4917
Iteration: 1300; Percent complete: 32.5%; Average loss: 3.5125
Iteration: 1301; Percent complete: 32.5%; Average loss: 3.1910
Iteration: 1302; Percent complete: 32.6%; Average loss: 3.5330
Iteration: 1303; Percent complete: 32.6%; Average loss: 3.2999
Iteration: 1304; Percent complete: 32.6%; Average loss: 3.2214
Iteration: 1305; Percent complete: 32.6%; Average loss: 3.2281
Iteration: 1306; Percent complete: 32.6%; Average loss: 3.4102
Iteration: 1307; Percent complete: 32.7%; Average loss: 3.3637
Iteration: 1308; Percent complete: 32.7%; Average loss: 3.5056
Iteration: 1309; Percent complete: 32.7%; Average loss: 3.3542
Iteration: 1310; Percent complete: 32.8%; Average loss: 3.3774
Iteration: 1311; Percent complete: 32.8%; Average loss: 3.3704
Iteration: 1312; Percent complete: 32.8%; Average loss: 3.4507
Iteration: 1313; Percent complete: 32.8%; Average loss: 3.4240
Iteration: 1314; Percent complete: 32.9%; Average loss: 3.3337
Iteration: 1315; Percent complete: 32.9%; Average loss: 3.3084
Iteration: 1316; Percent complete: 32.9%; Average loss: 3.3709
Iteration: 1317; Percent complete: 32.9%; Average loss: 3.3040
Iteration: 1318; Percent complete: 33.0%; Average loss: 3.4983
Iteration: 1319; Percent complete: 33.0%; Average loss: 3.2265
Iteration: 1320; Percent complete: 33.0%; Average loss: 3.1801
Iteration: 1321; Percent complete: 33.0%; Average loss: 3.5014
Iteration: 1322; Percent complete: 33.1%; Average loss: 3.2315
Iteration: 1323; Percent complete: 33.1%; Average loss: 3.4854
Iteration: 1324; Percent complete: 33.1%; Average loss: 3.1898
Iteration: 1325; Percent complete: 33.1%; Average loss: 3.3272
Iteration: 1326; Percent complete: 33.1%; Average loss: 3.2088
Iteration: 1327; Percent complete: 33.2%; Average loss: 3.5056
Iteration: 1328; Percent complete: 33.2%; Average loss: 3.3123
Iteration: 1329; Percent complete: 33.2%; Average loss: 3.2079
Iteration: 1330; Percent complete: 33.2%; Average loss: 3.4783
Iteration: 1331; Percent complete: 33.3%; Average loss: 3.1406
Iteration: 1332; Percent complete: 33.3%; Average loss: 3.4481
Iteration: 1333; Percent complete: 33.3%; Average loss: 3.2041
Iteration: 1334; Percent complete: 33.4%; Average loss: 3.2060
Iteration: 1335; Percent complete: 33.4%; Average loss: 3.1544
Iteration: 1336; Percent complete: 33.4%; Average loss: 3.5370
Iteration: 1337; Percent complete: 33.4%; Average loss: 3.5124
Iteration: 1338; Percent complete: 33.5%; Average loss: 3.1156
Iteration: 1339; Percent complete: 33.5%; Average loss: 3.4515
Iteration: 1340; Percent complete: 33.5%; Average loss: 3.5821
Iteration: 1341; Percent complete: 33.5%; Average loss: 3.1773
Iteration: 1342; Percent complete: 33.6%; Average loss: 3.2151
Iteration: 1343; Percent complete: 33.6%; Average loss: 3.4608
Iteration: 1344; Percent complete: 33.6%; Average loss: 3.2947
Iteration: 1345; Percent complete: 33.6%; Average loss: 3.3450
Iteration: 1346; Percent complete: 33.7%; Average loss: 3.2784
Iteration: 1347; Percent complete: 33.7%; Average loss: 3.5359
Iteration: 1348; Percent complete: 33.7%; Average loss: 3.1656
Iteration: 1349; Percent complete: 33.7%; Average loss: 3.2899
Iteration: 1350; Percent complete: 33.8%; Average loss: 3.3431
Iteration: 1351; Percent complete: 33.8%; Average loss: 3.3364
Iteration: 1352; Percent complete: 33.8%; Average loss: 3.4453
Iteration: 1353; Percent complete: 33.8%; Average loss: 3.2590
Iteration: 1354; Percent complete: 33.9%; Average loss: 3.5451
Iteration: 1355; Percent complete: 33.9%; Average loss: 3.2867
Iteration: 1356; Percent complete: 33.9%; Average loss: 3.4334
Iteration: 1357; Percent complete: 33.9%; Average loss: 3.3908
Iteration: 1358; Percent complete: 34.0%; Average loss: 3.2701
Iteration: 1359; Percent complete: 34.0%; Average loss: 3.5482
Iteration: 1360; Percent complete: 34.0%; Average loss: 3.5267
Iteration: 1361; Percent complete: 34.0%; Average loss: 3.6509
Iteration: 1362; Percent complete: 34.1%; Average loss: 3.5211
Iteration: 1363; Percent complete: 34.1%; Average loss: 3.1969
Iteration: 1364; Percent complete: 34.1%; Average loss: 3.2518
Iteration: 1365; Percent complete: 34.1%; Average loss: 3.2340
Iteration: 1366; Percent complete: 34.2%; Average loss: 3.2410
Iteration: 1367; Percent complete: 34.2%; Average loss: 3.4159
Iteration: 1368; Percent complete: 34.2%; Average loss: 3.3047
Iteration: 1369; Percent complete: 34.2%; Average loss: 3.4484
Iteration: 1370; Percent complete: 34.2%; Average loss: 3.2500
Iteration: 1371; Percent complete: 34.3%; Average loss: 3.5360
Iteration: 1372; Percent complete: 34.3%; Average loss: 3.2243
Iteration: 1373; Percent complete: 34.3%; Average loss: 3.4405
Iteration: 1374; Percent complete: 34.4%; Average loss: 3.4672
Iteration: 1375; Percent complete: 34.4%; Average loss: 3.3648
Iteration: 1376; Percent complete: 34.4%; Average loss: 3.3634
Iteration: 1377; Percent complete: 34.4%; Average loss: 3.5056
Iteration: 1378; Percent complete: 34.4%; Average loss: 3.1384
Iteration: 1379; Percent complete: 34.5%; Average loss: 3.2640
Iteration: 1380; Percent complete: 34.5%; Average loss: 2.9959
Iteration: 1381; Percent complete: 34.5%; Average loss: 3.2631
Iteration: 1382; Percent complete: 34.5%; Average loss: 3.5815
Iteration: 1383; Percent complete: 34.6%; Average loss: 3.1896
Iteration: 1384; Percent complete: 34.6%; Average loss: 3.3987
Iteration: 1385; Percent complete: 34.6%; Average loss: 3.3029
Iteration: 1386; Percent complete: 34.6%; Average loss: 3.3953
Iteration: 1387; Percent complete: 34.7%; Average loss: 3.2375
Iteration: 1388; Percent complete: 34.7%; Average loss: 3.1762
Iteration: 1389; Percent complete: 34.7%; Average loss: 3.3557
Iteration: 1390; Percent complete: 34.8%; Average loss: 3.2454
Iteration: 1391; Percent complete: 34.8%; Average loss: 3.2260
Iteration: 1392; Percent complete: 34.8%; Average loss: 3.4165
Iteration: 1393; Percent complete: 34.8%; Average loss: 3.1704
Iteration: 1394; Percent complete: 34.8%; Average loss: 3.3577
Iteration: 1395; Percent complete: 34.9%; Average loss: 3.3111
Iteration: 1396; Percent complete: 34.9%; Average loss: 3.5082
Iteration: 1397; Percent complete: 34.9%; Average loss: 3.1584
Iteration: 1398; Percent complete: 34.9%; Average loss: 3.4088
Iteration: 1399; Percent complete: 35.0%; Average loss: 3.3164
Iteration: 1400; Percent complete: 35.0%; Average loss: 3.4721
Iteration: 1401; Percent complete: 35.0%; Average loss: 3.4278
Iteration: 1402; Percent complete: 35.0%; Average loss: 3.2967
Iteration: 1403; Percent complete: 35.1%; Average loss: 3.3719
Iteration: 1404; Percent complete: 35.1%; Average loss: 3.3017
Iteration: 1405; Percent complete: 35.1%; Average loss: 3.3415
Iteration: 1406; Percent complete: 35.1%; Average loss: 3.5181
Iteration: 1407; Percent complete: 35.2%; Average loss: 3.0534
Iteration: 1408; Percent complete: 35.2%; Average loss: 3.2687
Iteration: 1409; Percent complete: 35.2%; Average loss: 3.3662
Iteration: 1410; Percent complete: 35.2%; Average loss: 3.4384
Iteration: 1411; Percent complete: 35.3%; Average loss: 3.3475
Iteration: 1412; Percent complete: 35.3%; Average loss: 3.5525
Iteration: 1413; Percent complete: 35.3%; Average loss: 3.2412
Iteration: 1414; Percent complete: 35.4%; Average loss: 3.2114
Iteration: 1415; Percent complete: 35.4%; Average loss: 3.2459
Iteration: 1416; Percent complete: 35.4%; Average loss: 3.2106
Iteration: 1417; Percent complete: 35.4%; Average loss: 3.4032
Iteration: 1418; Percent complete: 35.4%; Average loss: 3.4035
Iteration: 1419; Percent complete: 35.5%; Average loss: 3.3355
Iteration: 1420; Percent complete: 35.5%; Average loss: 3.7023
Iteration: 1421; Percent complete: 35.5%; Average loss: 3.3655
Iteration: 1422; Percent complete: 35.5%; Average loss: 3.6371
Iteration: 1423; Percent complete: 35.6%; Average loss: 3.1584
Iteration: 1424; Percent complete: 35.6%; Average loss: 3.0279
Iteration: 1425; Percent complete: 35.6%; Average loss: 3.0882
Iteration: 1426; Percent complete: 35.6%; Average loss: 3.3052
Iteration: 1427; Percent complete: 35.7%; Average loss: 3.3997
Iteration: 1428; Percent complete: 35.7%; Average loss: 3.2488
Iteration: 1429; Percent complete: 35.7%; Average loss: 3.3721
Iteration: 1430; Percent complete: 35.8%; Average loss: 3.5211
Iteration: 1431; Percent complete: 35.8%; Average loss: 3.3363
Iteration: 1432; Percent complete: 35.8%; Average loss: 3.2541
Iteration: 1433; Percent complete: 35.8%; Average loss: 2.9675
Iteration: 1434; Percent complete: 35.9%; Average loss: 3.3357
Iteration: 1435; Percent complete: 35.9%; Average loss: 3.0113
Iteration: 1436; Percent complete: 35.9%; Average loss: 3.4410
Iteration: 1437; Percent complete: 35.9%; Average loss: 3.2926
Iteration: 1438; Percent complete: 35.9%; Average loss: 3.2441
Iteration: 1439; Percent complete: 36.0%; Average loss: 3.1459
Iteration: 1440; Percent complete: 36.0%; Average loss: 3.5272
Iteration: 1441; Percent complete: 36.0%; Average loss: 3.3563
Iteration: 1442; Percent complete: 36.0%; Average loss: 3.2724
Iteration: 1443; Percent complete: 36.1%; Average loss: 3.2942
Iteration: 1444; Percent complete: 36.1%; Average loss: 3.2584
Iteration: 1445; Percent complete: 36.1%; Average loss: 3.2712
Iteration: 1446; Percent complete: 36.1%; Average loss: 3.3857
Iteration: 1447; Percent complete: 36.2%; Average loss: 3.3685
Iteration: 1448; Percent complete: 36.2%; Average loss: 3.3999
Iteration: 1449; Percent complete: 36.2%; Average loss: 3.4817
Iteration: 1450; Percent complete: 36.2%; Average loss: 3.2532
Iteration: 1451; Percent complete: 36.3%; Average loss: 3.0158
Iteration: 1452; Percent complete: 36.3%; Average loss: 3.2484
Iteration: 1453; Percent complete: 36.3%; Average loss: 3.4683
Iteration: 1454; Percent complete: 36.4%; Average loss: 3.4467
Iteration: 1455; Percent complete: 36.4%; Average loss: 3.3664
Iteration: 1456; Percent complete: 36.4%; Average loss: 3.3228
Iteration: 1457; Percent complete: 36.4%; Average loss: 3.2979
Iteration: 1458; Percent complete: 36.4%; Average loss: 3.5035
Iteration: 1459; Percent complete: 36.5%; Average loss: 3.3248
Iteration: 1460; Percent complete: 36.5%; Average loss: 3.2274
Iteration: 1461; Percent complete: 36.5%; Average loss: 3.4726
Iteration: 1462; Percent complete: 36.5%; Average loss: 3.2671
Iteration: 1463; Percent complete: 36.6%; Average loss: 3.2580
Iteration: 1464; Percent complete: 36.6%; Average loss: 3.4311
Iteration: 1465; Percent complete: 36.6%; Average loss: 3.5942
Iteration: 1466; Percent complete: 36.6%; Average loss: 3.3792
Iteration: 1467; Percent complete: 36.7%; Average loss: 3.2711
Iteration: 1468; Percent complete: 36.7%; Average loss: 3.6254
Iteration: 1469; Percent complete: 36.7%; Average loss: 3.2084
Iteration: 1470; Percent complete: 36.8%; Average loss: 2.9986
Iteration: 1471; Percent complete: 36.8%; Average loss: 3.2490
Iteration: 1472; Percent complete: 36.8%; Average loss: 3.2073
Iteration: 1473; Percent complete: 36.8%; Average loss: 3.2494
Iteration: 1474; Percent complete: 36.9%; Average loss: 3.4947
Iteration: 1475; Percent complete: 36.9%; Average loss: 3.1478
Iteration: 1476; Percent complete: 36.9%; Average loss: 3.1441
Iteration: 1477; Percent complete: 36.9%; Average loss: 3.2111
Iteration: 1478; Percent complete: 37.0%; Average loss: 3.3581
Iteration: 1479; Percent complete: 37.0%; Average loss: 3.2768
Iteration: 1480; Percent complete: 37.0%; Average loss: 3.4714
Iteration: 1481; Percent complete: 37.0%; Average loss: 3.2171
Iteration: 1482; Percent complete: 37.0%; Average loss: 3.2811
Iteration: 1483; Percent complete: 37.1%; Average loss: 3.3889
Iteration: 1484; Percent complete: 37.1%; Average loss: 3.4080
Iteration: 1485; Percent complete: 37.1%; Average loss: 3.2141
Iteration: 1486; Percent complete: 37.1%; Average loss: 3.3105
Iteration: 1487; Percent complete: 37.2%; Average loss: 3.3253
Iteration: 1488; Percent complete: 37.2%; Average loss: 3.1194
Iteration: 1489; Percent complete: 37.2%; Average loss: 3.2910
Iteration: 1490; Percent complete: 37.2%; Average loss: 3.1481
Iteration: 1491; Percent complete: 37.3%; Average loss: 3.3258
Iteration: 1492; Percent complete: 37.3%; Average loss: 3.4687
Iteration: 1493; Percent complete: 37.3%; Average loss: 3.3534
Iteration: 1494; Percent complete: 37.4%; Average loss: 3.1674
Iteration: 1495; Percent complete: 37.4%; Average loss: 3.3664
Iteration: 1496; Percent complete: 37.4%; Average loss: 3.5049
Iteration: 1497; Percent complete: 37.4%; Average loss: 3.3959
Iteration: 1498; Percent complete: 37.5%; Average loss: 3.3425
Iteration: 1499; Percent complete: 37.5%; Average loss: 3.0674
Iteration: 1500; Percent complete: 37.5%; Average loss: 3.2736
Iteration: 1501; Percent complete: 37.5%; Average loss: 3.0483
Iteration: 1502; Percent complete: 37.5%; Average loss: 3.1577
Iteration: 1503; Percent complete: 37.6%; Average loss: 3.4663
Iteration: 1504; Percent complete: 37.6%; Average loss: 3.0476
Iteration: 1505; Percent complete: 37.6%; Average loss: 3.2057
Iteration: 1506; Percent complete: 37.6%; Average loss: 3.3671
Iteration: 1507; Percent complete: 37.7%; Average loss: 3.3531
Iteration: 1508; Percent complete: 37.7%; Average loss: 3.2454
Iteration: 1509; Percent complete: 37.7%; Average loss: 3.2395
Iteration: 1510; Percent complete: 37.8%; Average loss: 3.3355
Iteration: 1511; Percent complete: 37.8%; Average loss: 3.2743
Iteration: 1512; Percent complete: 37.8%; Average loss: 3.2874
Iteration: 1513; Percent complete: 37.8%; Average loss: 3.2051
Iteration: 1514; Percent complete: 37.9%; Average loss: 3.2153
Iteration: 1515; Percent complete: 37.9%; Average loss: 3.3155
Iteration: 1516; Percent complete: 37.9%; Average loss: 3.1655
Iteration: 1517; Percent complete: 37.9%; Average loss: 3.3183
Iteration: 1518; Percent complete: 38.0%; Average loss: 3.4566
Iteration: 1519; Percent complete: 38.0%; Average loss: 3.3250
Iteration: 1520; Percent complete: 38.0%; Average loss: 3.2715
Iteration: 1521; Percent complete: 38.0%; Average loss: 3.3041
Iteration: 1522; Percent complete: 38.0%; Average loss: 3.2936
Iteration: 1523; Percent complete: 38.1%; Average loss: 3.2833
Iteration: 1524; Percent complete: 38.1%; Average loss: 3.5527
Iteration: 1525; Percent complete: 38.1%; Average loss: 3.3417
Iteration: 1526; Percent complete: 38.1%; Average loss: 3.3947
Iteration: 1527; Percent complete: 38.2%; Average loss: 3.3729
Iteration: 1528; Percent complete: 38.2%; Average loss: 3.5270
Iteration: 1529; Percent complete: 38.2%; Average loss: 3.2971
Iteration: 1530; Percent complete: 38.2%; Average loss: 3.3174
Iteration: 1531; Percent complete: 38.3%; Average loss: 3.3680
Iteration: 1532; Percent complete: 38.3%; Average loss: 3.3485
Iteration: 1533; Percent complete: 38.3%; Average loss: 3.3623
Iteration: 1534; Percent complete: 38.4%; Average loss: 3.1968
Iteration: 1535; Percent complete: 38.4%; Average loss: 3.0294
Iteration: 1536; Percent complete: 38.4%; Average loss: 3.4125
Iteration: 1537; Percent complete: 38.4%; Average loss: 3.4056
Iteration: 1538; Percent complete: 38.5%; Average loss: 3.1478
Iteration: 1539; Percent complete: 38.5%; Average loss: 3.3893
Iteration: 1540; Percent complete: 38.5%; Average loss: 3.3619
Iteration: 1541; Percent complete: 38.5%; Average loss: 3.3665
Iteration: 1542; Percent complete: 38.6%; Average loss: 3.2487
Iteration: 1543; Percent complete: 38.6%; Average loss: 3.1232
Iteration: 1544; Percent complete: 38.6%; Average loss: 3.3670
Iteration: 1545; Percent complete: 38.6%; Average loss: 3.2941
Iteration: 1546; Percent complete: 38.6%; Average loss: 3.1298
Iteration: 1547; Percent complete: 38.7%; Average loss: 3.2872
Iteration: 1548; Percent complete: 38.7%; Average loss: 3.3950
Iteration: 1549; Percent complete: 38.7%; Average loss: 3.0043
Iteration: 1550; Percent complete: 38.8%; Average loss: 3.2065
Iteration: 1551; Percent complete: 38.8%; Average loss: 3.0519
Iteration: 1552; Percent complete: 38.8%; Average loss: 3.3747
Iteration: 1553; Percent complete: 38.8%; Average loss: 3.0658
Iteration: 1554; Percent complete: 38.9%; Average loss: 3.4436
Iteration: 1555; Percent complete: 38.9%; Average loss: 3.2204
Iteration: 1556; Percent complete: 38.9%; Average loss: 3.1127
Iteration: 1557; Percent complete: 38.9%; Average loss: 3.2188
Iteration: 1558; Percent complete: 39.0%; Average loss: 3.3907
Iteration: 1559; Percent complete: 39.0%; Average loss: 3.4760
Iteration: 1560; Percent complete: 39.0%; Average loss: 2.9597
Iteration: 1561; Percent complete: 39.0%; Average loss: 3.6463
Iteration: 1562; Percent complete: 39.1%; Average loss: 3.3511
Iteration: 1563; Percent complete: 39.1%; Average loss: 3.2447
Iteration: 1564; Percent complete: 39.1%; Average loss: 3.5010
Iteration: 1565; Percent complete: 39.1%; Average loss: 3.3323
Iteration: 1566; Percent complete: 39.1%; Average loss: 3.3067
Iteration: 1567; Percent complete: 39.2%; Average loss: 3.0596
Iteration: 1568; Percent complete: 39.2%; Average loss: 3.1374
Iteration: 1569; Percent complete: 39.2%; Average loss: 3.2362
Iteration: 1570; Percent complete: 39.2%; Average loss: 3.1360
Iteration: 1571; Percent complete: 39.3%; Average loss: 3.0430
Iteration: 1572; Percent complete: 39.3%; Average loss: 3.2430
Iteration: 1573; Percent complete: 39.3%; Average loss: 3.4348
Iteration: 1574; Percent complete: 39.4%; Average loss: 3.1899
Iteration: 1575; Percent complete: 39.4%; Average loss: 3.5458
Iteration: 1576; Percent complete: 39.4%; Average loss: 3.2474
Iteration: 1577; Percent complete: 39.4%; Average loss: 3.2600
Iteration: 1578; Percent complete: 39.5%; Average loss: 3.0912
Iteration: 1579; Percent complete: 39.5%; Average loss: 3.3196
Iteration: 1580; Percent complete: 39.5%; Average loss: 3.0618
Iteration: 1581; Percent complete: 39.5%; Average loss: 3.1846
Iteration: 1582; Percent complete: 39.6%; Average loss: 3.2708
Iteration: 1583; Percent complete: 39.6%; Average loss: 3.4006
Iteration: 1584; Percent complete: 39.6%; Average loss: 2.9940
Iteration: 1585; Percent complete: 39.6%; Average loss: 3.4314
Iteration: 1586; Percent complete: 39.6%; Average loss: 3.0653
Iteration: 1587; Percent complete: 39.7%; Average loss: 3.2769
Iteration: 1588; Percent complete: 39.7%; Average loss: 3.3223
Iteration: 1589; Percent complete: 39.7%; Average loss: 3.4192
Iteration: 1590; Percent complete: 39.8%; Average loss: 3.1527
Iteration: 1591; Percent complete: 39.8%; Average loss: 3.2480
Iteration: 1592; Percent complete: 39.8%; Average loss: 3.3328
Iteration: 1593; Percent complete: 39.8%; Average loss: 3.3011
Iteration: 1594; Percent complete: 39.9%; Average loss: 3.1971
Iteration: 1595; Percent complete: 39.9%; Average loss: 3.5561
Iteration: 1596; Percent complete: 39.9%; Average loss: 3.2662
Iteration: 1597; Percent complete: 39.9%; Average loss: 3.4534
Iteration: 1598; Percent complete: 40.0%; Average loss: 3.3554
Iteration: 1599; Percent complete: 40.0%; Average loss: 2.9309
Iteration: 1600; Percent complete: 40.0%; Average loss: 3.0916
Iteration: 1601; Percent complete: 40.0%; Average loss: 3.1853
Iteration: 1602; Percent complete: 40.1%; Average loss: 3.3587
Iteration: 1603; Percent complete: 40.1%; Average loss: 3.2015
Iteration: 1604; Percent complete: 40.1%; Average loss: 3.2418
Iteration: 1605; Percent complete: 40.1%; Average loss: 3.3577
Iteration: 1606; Percent complete: 40.2%; Average loss: 3.3174
Iteration: 1607; Percent complete: 40.2%; Average loss: 3.2702
Iteration: 1608; Percent complete: 40.2%; Average loss: 3.1963
Iteration: 1609; Percent complete: 40.2%; Average loss: 3.5633
Iteration: 1610; Percent complete: 40.2%; Average loss: 3.1174
Iteration: 1611; Percent complete: 40.3%; Average loss: 3.2837
Iteration: 1612; Percent complete: 40.3%; Average loss: 3.0639
Iteration: 1613; Percent complete: 40.3%; Average loss: 3.0893
Iteration: 1614; Percent complete: 40.4%; Average loss: 2.9683
Iteration: 1615; Percent complete: 40.4%; Average loss: 3.0466
Iteration: 1616; Percent complete: 40.4%; Average loss: 3.4025
Iteration: 1617; Percent complete: 40.4%; Average loss: 3.1555
Iteration: 1618; Percent complete: 40.5%; Average loss: 3.3029
Iteration: 1619; Percent complete: 40.5%; Average loss: 3.5166
Iteration: 1620; Percent complete: 40.5%; Average loss: 3.1216
Iteration: 1621; Percent complete: 40.5%; Average loss: 3.4894
Iteration: 1622; Percent complete: 40.6%; Average loss: 3.3221
Iteration: 1623; Percent complete: 40.6%; Average loss: 3.3928
Iteration: 1624; Percent complete: 40.6%; Average loss: 3.3571
Iteration: 1625; Percent complete: 40.6%; Average loss: 3.3997
Iteration: 1626; Percent complete: 40.6%; Average loss: 2.9315
Iteration: 1627; Percent complete: 40.7%; Average loss: 3.2459
Iteration: 1628; Percent complete: 40.7%; Average loss: 3.2129
Iteration: 1629; Percent complete: 40.7%; Average loss: 3.3629
Iteration: 1630; Percent complete: 40.8%; Average loss: 3.4112
Iteration: 1631; Percent complete: 40.8%; Average loss: 3.2024
Iteration: 1632; Percent complete: 40.8%; Average loss: 3.2447
Iteration: 1633; Percent complete: 40.8%; Average loss: 3.5083
Iteration: 1634; Percent complete: 40.8%; Average loss: 3.0962
Iteration: 1635; Percent complete: 40.9%; Average loss: 3.3082
Iteration: 1636; Percent complete: 40.9%; Average loss: 3.5479
Iteration: 1637; Percent complete: 40.9%; Average loss: 3.3264
Iteration: 1638; Percent complete: 40.9%; Average loss: 3.3069
Iteration: 1639; Percent complete: 41.0%; Average loss: 3.2241
Iteration: 1640; Percent complete: 41.0%; Average loss: 3.1906
Iteration: 1641; Percent complete: 41.0%; Average loss: 3.3787
Iteration: 1642; Percent complete: 41.0%; Average loss: 3.1426
Iteration: 1643; Percent complete: 41.1%; Average loss: 3.3872
Iteration: 1644; Percent complete: 41.1%; Average loss: 3.3536
Iteration: 1645; Percent complete: 41.1%; Average loss: 3.3389
Iteration: 1646; Percent complete: 41.1%; Average loss: 3.3155
Iteration: 1647; Percent complete: 41.2%; Average loss: 3.5201
Iteration: 1648; Percent complete: 41.2%; Average loss: 3.2835
Iteration: 1649; Percent complete: 41.2%; Average loss: 3.1724
Iteration: 1650; Percent complete: 41.2%; Average loss: 3.2835
Iteration: 1651; Percent complete: 41.3%; Average loss: 3.1485
Iteration: 1652; Percent complete: 41.3%; Average loss: 3.2458
Iteration: 1653; Percent complete: 41.3%; Average loss: 3.4069
Iteration: 1654; Percent complete: 41.3%; Average loss: 3.5215
Iteration: 1655; Percent complete: 41.4%; Average loss: 2.9265
Iteration: 1656; Percent complete: 41.4%; Average loss: 3.1909
Iteration: 1657; Percent complete: 41.4%; Average loss: 3.3199
Iteration: 1658; Percent complete: 41.4%; Average loss: 3.5295
Iteration: 1659; Percent complete: 41.5%; Average loss: 3.5706
Iteration: 1660; Percent complete: 41.5%; Average loss: 3.1991
Iteration: 1661; Percent complete: 41.5%; Average loss: 3.2392
Iteration: 1662; Percent complete: 41.5%; Average loss: 3.2718
Iteration: 1663; Percent complete: 41.6%; Average loss: 3.4921
Iteration: 1664; Percent complete: 41.6%; Average loss: 3.2539
Iteration: 1665; Percent complete: 41.6%; Average loss: 3.1757
Iteration: 1666; Percent complete: 41.6%; Average loss: 3.1638
Iteration: 1667; Percent complete: 41.7%; Average loss: 3.2460
Iteration: 1668; Percent complete: 41.7%; Average loss: 3.5348
Iteration: 1669; Percent complete: 41.7%; Average loss: 3.2169
Iteration: 1670; Percent complete: 41.8%; Average loss: 3.1973
Iteration: 1671; Percent complete: 41.8%; Average loss: 3.0245
Iteration: 1672; Percent complete: 41.8%; Average loss: 2.8833
Iteration: 1673; Percent complete: 41.8%; Average loss: 3.4749
Iteration: 1674; Percent complete: 41.9%; Average loss: 3.1075
Iteration: 1675; Percent complete: 41.9%; Average loss: 2.9329
Iteration: 1676; Percent complete: 41.9%; Average loss: 3.4203
Iteration: 1677; Percent complete: 41.9%; Average loss: 3.1312
Iteration: 1678; Percent complete: 41.9%; Average loss: 3.5038
Iteration: 1679; Percent complete: 42.0%; Average loss: 3.2141
Iteration: 1680; Percent complete: 42.0%; Average loss: 3.1856
Iteration: 1681; Percent complete: 42.0%; Average loss: 3.3385
Iteration: 1682; Percent complete: 42.0%; Average loss: 3.1771
Iteration: 1683; Percent complete: 42.1%; Average loss: 3.0344
Iteration: 1684; Percent complete: 42.1%; Average loss: 3.3848
Iteration: 1685; Percent complete: 42.1%; Average loss: 3.1843
Iteration: 1686; Percent complete: 42.1%; Average loss: 3.2209
Iteration: 1687; Percent complete: 42.2%; Average loss: 3.2651
Iteration: 1688; Percent complete: 42.2%; Average loss: 3.1111
Iteration: 1689; Percent complete: 42.2%; Average loss: 3.2146
Iteration: 1690; Percent complete: 42.2%; Average loss: 3.3608
Iteration: 1691; Percent complete: 42.3%; Average loss: 3.1633
Iteration: 1692; Percent complete: 42.3%; Average loss: 3.2300
Iteration: 1693; Percent complete: 42.3%; Average loss: 3.4258
Iteration: 1694; Percent complete: 42.4%; Average loss: 3.3125
Iteration: 1695; Percent complete: 42.4%; Average loss: 3.2161
Iteration: 1696; Percent complete: 42.4%; Average loss: 3.2627
Iteration: 1697; Percent complete: 42.4%; Average loss: 3.4308
Iteration: 1698; Percent complete: 42.4%; Average loss: 3.2303
Iteration: 1699; Percent complete: 42.5%; Average loss: 3.2545
Iteration: 1700; Percent complete: 42.5%; Average loss: 3.1950
Iteration: 1701; Percent complete: 42.5%; Average loss: 3.0334
Iteration: 1702; Percent complete: 42.5%; Average loss: 3.2085
Iteration: 1703; Percent complete: 42.6%; Average loss: 3.1085
Iteration: 1704; Percent complete: 42.6%; Average loss: 3.4066
Iteration: 1705; Percent complete: 42.6%; Average loss: 3.0495
Iteration: 1706; Percent complete: 42.6%; Average loss: 3.2949
Iteration: 1707; Percent complete: 42.7%; Average loss: 3.0671
Iteration: 1708; Percent complete: 42.7%; Average loss: 3.1984
Iteration: 1709; Percent complete: 42.7%; Average loss: 3.1996
Iteration: 1710; Percent complete: 42.8%; Average loss: 3.3093
Iteration: 1711; Percent complete: 42.8%; Average loss: 3.4897
Iteration: 1712; Percent complete: 42.8%; Average loss: 3.4601
Iteration: 1713; Percent complete: 42.8%; Average loss: 3.0097
Iteration: 1714; Percent complete: 42.9%; Average loss: 3.3161
Iteration: 1715; Percent complete: 42.9%; Average loss: 3.2888
Iteration: 1716; Percent complete: 42.9%; Average loss: 2.9850
Iteration: 1717; Percent complete: 42.9%; Average loss: 3.3270
Iteration: 1718; Percent complete: 43.0%; Average loss: 3.4976
Iteration: 1719; Percent complete: 43.0%; Average loss: 3.3560
Iteration: 1720; Percent complete: 43.0%; Average loss: 3.3559
Iteration: 1721; Percent complete: 43.0%; Average loss: 3.4736
Iteration: 1722; Percent complete: 43.0%; Average loss: 3.2800
Iteration: 1723; Percent complete: 43.1%; Average loss: 3.0749
Iteration: 1724; Percent complete: 43.1%; Average loss: 3.3876
Iteration: 1725; Percent complete: 43.1%; Average loss: 3.1576
Iteration: 1726; Percent complete: 43.1%; Average loss: 3.3430
Iteration: 1727; Percent complete: 43.2%; Average loss: 3.3091
Iteration: 1728; Percent complete: 43.2%; Average loss: 3.2066
Iteration: 1729; Percent complete: 43.2%; Average loss: 3.4077
Iteration: 1730; Percent complete: 43.2%; Average loss: 3.2570
Iteration: 1731; Percent complete: 43.3%; Average loss: 3.0957
Iteration: 1732; Percent complete: 43.3%; Average loss: 3.2328
Iteration: 1733; Percent complete: 43.3%; Average loss: 3.2234
Iteration: 1734; Percent complete: 43.4%; Average loss: 3.3587
Iteration: 1735; Percent complete: 43.4%; Average loss: 2.9076
Iteration: 1736; Percent complete: 43.4%; Average loss: 3.2716
Iteration: 1737; Percent complete: 43.4%; Average loss: 3.2306
Iteration: 1738; Percent complete: 43.5%; Average loss: 2.9449
Iteration: 1739; Percent complete: 43.5%; Average loss: 3.3481
Iteration: 1740; Percent complete: 43.5%; Average loss: 3.3376
Iteration: 1741; Percent complete: 43.5%; Average loss: 3.1356
Iteration: 1742; Percent complete: 43.5%; Average loss: 3.2255
Iteration: 1743; Percent complete: 43.6%; Average loss: 3.0039
Iteration: 1744; Percent complete: 43.6%; Average loss: 3.3141
Iteration: 1745; Percent complete: 43.6%; Average loss: 3.5596
Iteration: 1746; Percent complete: 43.6%; Average loss: 3.1020
Iteration: 1747; Percent complete: 43.7%; Average loss: 3.1925
Iteration: 1748; Percent complete: 43.7%; Average loss: 3.2727
Iteration: 1749; Percent complete: 43.7%; Average loss: 3.2731
Iteration: 1750; Percent complete: 43.8%; Average loss: 3.3047
Iteration: 1751; Percent complete: 43.8%; Average loss: 3.1543
Iteration: 1752; Percent complete: 43.8%; Average loss: 3.1854
Iteration: 1753; Percent complete: 43.8%; Average loss: 3.2399
Iteration: 1754; Percent complete: 43.9%; Average loss: 3.0799
Iteration: 1755; Percent complete: 43.9%; Average loss: 3.1276
Iteration: 1756; Percent complete: 43.9%; Average loss: 3.2092
Iteration: 1757; Percent complete: 43.9%; Average loss: 3.2311
Iteration: 1758; Percent complete: 44.0%; Average loss: 3.1338
Iteration: 1759; Percent complete: 44.0%; Average loss: 3.2795
Iteration: 1760; Percent complete: 44.0%; Average loss: 3.2786
Iteration: 1761; Percent complete: 44.0%; Average loss: 3.0979
Iteration: 1762; Percent complete: 44.0%; Average loss: 3.1346
Iteration: 1763; Percent complete: 44.1%; Average loss: 3.3964
Iteration: 1764; Percent complete: 44.1%; Average loss: 3.0554
Iteration: 1765; Percent complete: 44.1%; Average loss: 3.1659
Iteration: 1766; Percent complete: 44.1%; Average loss: 3.1724
Iteration: 1767; Percent complete: 44.2%; Average loss: 3.1428
Iteration: 1768; Percent complete: 44.2%; Average loss: 3.3648
Iteration: 1769; Percent complete: 44.2%; Average loss: 3.4829
Iteration: 1770; Percent complete: 44.2%; Average loss: 2.9452
Iteration: 1771; Percent complete: 44.3%; Average loss: 3.1922
Iteration: 1772; Percent complete: 44.3%; Average loss: 3.3741
Iteration: 1773; Percent complete: 44.3%; Average loss: 2.9604
Iteration: 1774; Percent complete: 44.4%; Average loss: 3.0605
Iteration: 1775; Percent complete: 44.4%; Average loss: 3.0728
Iteration: 1776; Percent complete: 44.4%; Average loss: 3.2822
Iteration: 1777; Percent complete: 44.4%; Average loss: 3.1471
Iteration: 1778; Percent complete: 44.5%; Average loss: 3.2876
Iteration: 1779; Percent complete: 44.5%; Average loss: 3.2288
Iteration: 1780; Percent complete: 44.5%; Average loss: 3.2527
Iteration: 1781; Percent complete: 44.5%; Average loss: 3.1717
Iteration: 1782; Percent complete: 44.5%; Average loss: 3.0222
Iteration: 1783; Percent complete: 44.6%; Average loss: 3.0890
Iteration: 1784; Percent complete: 44.6%; Average loss: 3.2719
Iteration: 1785; Percent complete: 44.6%; Average loss: 3.1999
Iteration: 1786; Percent complete: 44.6%; Average loss: 3.0661
Iteration: 1787; Percent complete: 44.7%; Average loss: 3.2028
Iteration: 1788; Percent complete: 44.7%; Average loss: 3.4625
Iteration: 1789; Percent complete: 44.7%; Average loss: 3.0789
Iteration: 1790; Percent complete: 44.8%; Average loss: 3.2559
Iteration: 1791; Percent complete: 44.8%; Average loss: 3.3951
Iteration: 1792; Percent complete: 44.8%; Average loss: 3.2358
Iteration: 1793; Percent complete: 44.8%; Average loss: 3.2600
Iteration: 1794; Percent complete: 44.9%; Average loss: 3.2414
Iteration: 1795; Percent complete: 44.9%; Average loss: 3.0565
Iteration: 1796; Percent complete: 44.9%; Average loss: 3.2181
Iteration: 1797; Percent complete: 44.9%; Average loss: 3.1878
Iteration: 1798; Percent complete: 45.0%; Average loss: 3.0821
Iteration: 1799; Percent complete: 45.0%; Average loss: 2.8223
Iteration: 1800; Percent complete: 45.0%; Average loss: 3.3532
Iteration: 1801; Percent complete: 45.0%; Average loss: 3.2159
Iteration: 1802; Percent complete: 45.1%; Average loss: 3.2127
Iteration: 1803; Percent complete: 45.1%; Average loss: 3.0648
Iteration: 1804; Percent complete: 45.1%; Average loss: 3.3082
Iteration: 1805; Percent complete: 45.1%; Average loss: 3.3343
Iteration: 1806; Percent complete: 45.1%; Average loss: 3.1007
Iteration: 1807; Percent complete: 45.2%; Average loss: 3.5749
Iteration: 1808; Percent complete: 45.2%; Average loss: 2.9630
Iteration: 1809; Percent complete: 45.2%; Average loss: 3.2168
Iteration: 1810; Percent complete: 45.2%; Average loss: 3.1861
Iteration: 1811; Percent complete: 45.3%; Average loss: 3.0730
Iteration: 1812; Percent complete: 45.3%; Average loss: 2.9443
Iteration: 1813; Percent complete: 45.3%; Average loss: 3.0167
Iteration: 1814; Percent complete: 45.4%; Average loss: 3.2779
Iteration: 1815; Percent complete: 45.4%; Average loss: 3.4687
Iteration: 1816; Percent complete: 45.4%; Average loss: 3.0128
Iteration: 1817; Percent complete: 45.4%; Average loss: 3.1865
Iteration: 1818; Percent complete: 45.5%; Average loss: 3.0927
Iteration: 1819; Percent complete: 45.5%; Average loss: 3.0392
Iteration: 1820; Percent complete: 45.5%; Average loss: 3.3098
Iteration: 1821; Percent complete: 45.5%; Average loss: 3.2204
Iteration: 1822; Percent complete: 45.6%; Average loss: 3.1380
Iteration: 1823; Percent complete: 45.6%; Average loss: 2.9562
Iteration: 1824; Percent complete: 45.6%; Average loss: 3.3795
Iteration: 1825; Percent complete: 45.6%; Average loss: 3.1878
Iteration: 1826; Percent complete: 45.6%; Average loss: 3.0404
Iteration: 1827; Percent complete: 45.7%; Average loss: 3.2811
Iteration: 1828; Percent complete: 45.7%; Average loss: 3.2013
Iteration: 1829; Percent complete: 45.7%; Average loss: 2.9075
Iteration: 1830; Percent complete: 45.8%; Average loss: 3.2863
Iteration: 1831; Percent complete: 45.8%; Average loss: 3.1258
Iteration: 1832; Percent complete: 45.8%; Average loss: 3.3445
Iteration: 1833; Percent complete: 45.8%; Average loss: 2.9885
Iteration: 1834; Percent complete: 45.9%; Average loss: 3.2317
Iteration: 1835; Percent complete: 45.9%; Average loss: 3.2712
Iteration: 1836; Percent complete: 45.9%; Average loss: 3.1282
Iteration: 1837; Percent complete: 45.9%; Average loss: 3.1262
Iteration: 1838; Percent complete: 46.0%; Average loss: 3.3538
Iteration: 1839; Percent complete: 46.0%; Average loss: 3.2136
Iteration: 1840; Percent complete: 46.0%; Average loss: 3.4855
Iteration: 1841; Percent complete: 46.0%; Average loss: 3.3807
Iteration: 1842; Percent complete: 46.1%; Average loss: 3.4120
Iteration: 1843; Percent complete: 46.1%; Average loss: 3.3252
Iteration: 1844; Percent complete: 46.1%; Average loss: 3.3372
Iteration: 1845; Percent complete: 46.1%; Average loss: 3.1413
Iteration: 1846; Percent complete: 46.2%; Average loss: 2.9580
Iteration: 1847; Percent complete: 46.2%; Average loss: 3.2611
Iteration: 1848; Percent complete: 46.2%; Average loss: 2.9934
Iteration: 1849; Percent complete: 46.2%; Average loss: 3.0774
Iteration: 1850; Percent complete: 46.2%; Average loss: 3.2585
Iteration: 1851; Percent complete: 46.3%; Average loss: 3.3257
Iteration: 1852; Percent complete: 46.3%; Average loss: 3.1451
Iteration: 1853; Percent complete: 46.3%; Average loss: 3.0752
Iteration: 1854; Percent complete: 46.4%; Average loss: 3.0889
Iteration: 1855; Percent complete: 46.4%; Average loss: 3.4189
Iteration: 1856; Percent complete: 46.4%; Average loss: 3.1918
Iteration: 1857; Percent complete: 46.4%; Average loss: 3.2068
Iteration: 1858; Percent complete: 46.5%; Average loss: 3.1825
Iteration: 1859; Percent complete: 46.5%; Average loss: 3.2969
Iteration: 1860; Percent complete: 46.5%; Average loss: 3.2392
Iteration: 1861; Percent complete: 46.5%; Average loss: 2.9909
Iteration: 1862; Percent complete: 46.6%; Average loss: 3.1325
Iteration: 1863; Percent complete: 46.6%; Average loss: 3.1032
Iteration: 1864; Percent complete: 46.6%; Average loss: 3.3278
Iteration: 1865; Percent complete: 46.6%; Average loss: 3.0874
Iteration: 1866; Percent complete: 46.7%; Average loss: 3.2115
Iteration: 1867; Percent complete: 46.7%; Average loss: 3.0704
Iteration: 1868; Percent complete: 46.7%; Average loss: 3.1605
Iteration: 1869; Percent complete: 46.7%; Average loss: 3.3317
Iteration: 1870; Percent complete: 46.8%; Average loss: 3.1500
Iteration: 1871; Percent complete: 46.8%; Average loss: 3.0839
Iteration: 1872; Percent complete: 46.8%; Average loss: 3.4519
Iteration: 1873; Percent complete: 46.8%; Average loss: 3.1943
Iteration: 1874; Percent complete: 46.9%; Average loss: 3.2032
Iteration: 1875; Percent complete: 46.9%; Average loss: 3.0891
Iteration: 1876; Percent complete: 46.9%; Average loss: 3.0024
Iteration: 1877; Percent complete: 46.9%; Average loss: 3.1791
Iteration: 1878; Percent complete: 46.9%; Average loss: 3.3232
Iteration: 1879; Percent complete: 47.0%; Average loss: 3.1315
Iteration: 1880; Percent complete: 47.0%; Average loss: 3.1548
Iteration: 1881; Percent complete: 47.0%; Average loss: 3.1378
Iteration: 1882; Percent complete: 47.0%; Average loss: 3.3403
Iteration: 1883; Percent complete: 47.1%; Average loss: 2.9720
Iteration: 1884; Percent complete: 47.1%; Average loss: 3.0440
Iteration: 1885; Percent complete: 47.1%; Average loss: 3.1482
Iteration: 1886; Percent complete: 47.1%; Average loss: 3.1256
Iteration: 1887; Percent complete: 47.2%; Average loss: 2.8708
Iteration: 1888; Percent complete: 47.2%; Average loss: 3.2196
Iteration: 1889; Percent complete: 47.2%; Average loss: 3.3667
Iteration: 1890; Percent complete: 47.2%; Average loss: 3.4386
Iteration: 1891; Percent complete: 47.3%; Average loss: 3.2296
Iteration: 1892; Percent complete: 47.3%; Average loss: 3.1032
Iteration: 1893; Percent complete: 47.3%; Average loss: 3.3429
Iteration: 1894; Percent complete: 47.3%; Average loss: 3.3186
Iteration: 1895; Percent complete: 47.4%; Average loss: 3.1739
Iteration: 1896; Percent complete: 47.4%; Average loss: 3.2359
Iteration: 1897; Percent complete: 47.4%; Average loss: 3.3281
Iteration: 1898; Percent complete: 47.4%; Average loss: 3.2148
Iteration: 1899; Percent complete: 47.5%; Average loss: 3.2998
Iteration: 1900; Percent complete: 47.5%; Average loss: 3.1935
Iteration: 1901; Percent complete: 47.5%; Average loss: 3.3210
Iteration: 1902; Percent complete: 47.5%; Average loss: 2.9954
Iteration: 1903; Percent complete: 47.6%; Average loss: 3.2214
Iteration: 1904; Percent complete: 47.6%; Average loss: 3.0465
Iteration: 1905; Percent complete: 47.6%; Average loss: 3.0729
Iteration: 1906; Percent complete: 47.6%; Average loss: 3.1387
Iteration: 1907; Percent complete: 47.7%; Average loss: 3.3341
Iteration: 1908; Percent complete: 47.7%; Average loss: 3.3223
Iteration: 1909; Percent complete: 47.7%; Average loss: 2.9937
Iteration: 1910; Percent complete: 47.8%; Average loss: 3.0259
Iteration: 1911; Percent complete: 47.8%; Average loss: 3.3344
Iteration: 1912; Percent complete: 47.8%; Average loss: 3.0932
Iteration: 1913; Percent complete: 47.8%; Average loss: 3.2257
Iteration: 1914; Percent complete: 47.9%; Average loss: 3.1949
Iteration: 1915; Percent complete: 47.9%; Average loss: 2.9870
Iteration: 1916; Percent complete: 47.9%; Average loss: 3.0876
Iteration: 1917; Percent complete: 47.9%; Average loss: 2.9271
Iteration: 1918; Percent complete: 47.9%; Average loss: 3.2306
Iteration: 1919; Percent complete: 48.0%; Average loss: 3.1397
Iteration: 1920; Percent complete: 48.0%; Average loss: 3.0992
Iteration: 1921; Percent complete: 48.0%; Average loss: 3.0647
Iteration: 1922; Percent complete: 48.0%; Average loss: 3.2001
Iteration: 1923; Percent complete: 48.1%; Average loss: 3.2964
Iteration: 1924; Percent complete: 48.1%; Average loss: 3.1329
Iteration: 1925; Percent complete: 48.1%; Average loss: 3.1594
Iteration: 1926; Percent complete: 48.1%; Average loss: 3.1504
Iteration: 1927; Percent complete: 48.2%; Average loss: 3.0377
Iteration: 1928; Percent complete: 48.2%; Average loss: 3.1662
Iteration: 1929; Percent complete: 48.2%; Average loss: 3.1265
Iteration: 1930; Percent complete: 48.2%; Average loss: 2.9102
Iteration: 1931; Percent complete: 48.3%; Average loss: 3.2413
Iteration: 1932; Percent complete: 48.3%; Average loss: 3.0361
Iteration: 1933; Percent complete: 48.3%; Average loss: 3.3039
Iteration: 1934; Percent complete: 48.4%; Average loss: 3.0966
Iteration: 1935; Percent complete: 48.4%; Average loss: 3.2999
Iteration: 1936; Percent complete: 48.4%; Average loss: 3.1165
Iteration: 1937; Percent complete: 48.4%; Average loss: 3.0536
Iteration: 1938; Percent complete: 48.4%; Average loss: 3.2393
Iteration: 1939; Percent complete: 48.5%; Average loss: 3.0790
Iteration: 1940; Percent complete: 48.5%; Average loss: 3.2145
Iteration: 1941; Percent complete: 48.5%; Average loss: 3.0385
Iteration: 1942; Percent complete: 48.5%; Average loss: 3.2341
Iteration: 1943; Percent complete: 48.6%; Average loss: 3.1492
Iteration: 1944; Percent complete: 48.6%; Average loss: 2.9671
Iteration: 1945; Percent complete: 48.6%; Average loss: 3.1409
Iteration: 1946; Percent complete: 48.6%; Average loss: 3.3043
Iteration: 1947; Percent complete: 48.7%; Average loss: 3.2275
Iteration: 1948; Percent complete: 48.7%; Average loss: 3.1952
Iteration: 1949; Percent complete: 48.7%; Average loss: 3.3289
Iteration: 1950; Percent complete: 48.8%; Average loss: 3.2282
Iteration: 1951; Percent complete: 48.8%; Average loss: 3.0489
Iteration: 1952; Percent complete: 48.8%; Average loss: 3.2593
Iteration: 1953; Percent complete: 48.8%; Average loss: 3.1610
Iteration: 1954; Percent complete: 48.9%; Average loss: 3.0718
Iteration: 1955; Percent complete: 48.9%; Average loss: 2.9101
Iteration: 1956; Percent complete: 48.9%; Average loss: 3.1349
Iteration: 1957; Percent complete: 48.9%; Average loss: 2.9525
Iteration: 1958; Percent complete: 48.9%; Average loss: 3.4097
Iteration: 1959; Percent complete: 49.0%; Average loss: 3.2757
Iteration: 1960; Percent complete: 49.0%; Average loss: 3.3725
Iteration: 1961; Percent complete: 49.0%; Average loss: 2.9238
Iteration: 1962; Percent complete: 49.0%; Average loss: 3.1385
Iteration: 1963; Percent complete: 49.1%; Average loss: 3.3206
Iteration: 1964; Percent complete: 49.1%; Average loss: 3.0181
Iteration: 1965; Percent complete: 49.1%; Average loss: 3.0969
Iteration: 1966; Percent complete: 49.1%; Average loss: 2.8971
Iteration: 1967; Percent complete: 49.2%; Average loss: 3.1953
Iteration: 1968; Percent complete: 49.2%; Average loss: 2.6884
Iteration: 1969; Percent complete: 49.2%; Average loss: 2.8095
Iteration: 1970; Percent complete: 49.2%; Average loss: 3.1229
Iteration: 1971; Percent complete: 49.3%; Average loss: 3.2194
Iteration: 1972; Percent complete: 49.3%; Average loss: 2.8064
Iteration: 1973; Percent complete: 49.3%; Average loss: 2.9933
Iteration: 1974; Percent complete: 49.4%; Average loss: 3.3188
Iteration: 1975; Percent complete: 49.4%; Average loss: 2.8070
Iteration: 1976; Percent complete: 49.4%; Average loss: 3.3395
Iteration: 1977; Percent complete: 49.4%; Average loss: 2.9949
Iteration: 1978; Percent complete: 49.5%; Average loss: 2.9608
Iteration: 1979; Percent complete: 49.5%; Average loss: 3.1525
Iteration: 1980; Percent complete: 49.5%; Average loss: 3.1565
Iteration: 1981; Percent complete: 49.5%; Average loss: 3.3218
Iteration: 1982; Percent complete: 49.5%; Average loss: 3.1826
Iteration: 1983; Percent complete: 49.6%; Average loss: 3.3500
Iteration: 1984; Percent complete: 49.6%; Average loss: 3.0554
Iteration: 1985; Percent complete: 49.6%; Average loss: 3.2114
Iteration: 1986; Percent complete: 49.6%; Average loss: 3.3894
Iteration: 1987; Percent complete: 49.7%; Average loss: 3.0331
Iteration: 1988; Percent complete: 49.7%; Average loss: 3.3601
Iteration: 1989; Percent complete: 49.7%; Average loss: 3.1393
Iteration: 1990; Percent complete: 49.8%; Average loss: 3.1137
Iteration: 1991; Percent complete: 49.8%; Average loss: 3.2571
Iteration: 1992; Percent complete: 49.8%; Average loss: 3.0441
Iteration: 1993; Percent complete: 49.8%; Average loss: 3.3267
Iteration: 1994; Percent complete: 49.9%; Average loss: 3.3178
Iteration: 1995; Percent complete: 49.9%; Average loss: 3.1324
Iteration: 1996; Percent complete: 49.9%; Average loss: 2.9274
Iteration: 1997; Percent complete: 49.9%; Average loss: 3.2450
Iteration: 1998; Percent complete: 50.0%; Average loss: 2.9799
Iteration: 1999; Percent complete: 50.0%; Average loss: 2.9433
Iteration: 2000; Percent complete: 50.0%; Average loss: 3.1746
Iteration: 2001; Percent complete: 50.0%; Average loss: 3.1191
Iteration: 2002; Percent complete: 50.0%; Average loss: 3.2491
Iteration: 2003; Percent complete: 50.1%; Average loss: 3.0882
Iteration: 2004; Percent complete: 50.1%; Average loss: 3.1509
Iteration: 2005; Percent complete: 50.1%; Average loss: 2.8941
Iteration: 2006; Percent complete: 50.1%; Average loss: 2.9917
Iteration: 2007; Percent complete: 50.2%; Average loss: 3.1707
Iteration: 2008; Percent complete: 50.2%; Average loss: 3.2460
Iteration: 2009; Percent complete: 50.2%; Average loss: 3.0910
Iteration: 2010; Percent complete: 50.2%; Average loss: 2.8818
Iteration: 2011; Percent complete: 50.3%; Average loss: 2.9661
Iteration: 2012; Percent complete: 50.3%; Average loss: 3.2859
Iteration: 2013; Percent complete: 50.3%; Average loss: 3.0238
Iteration: 2014; Percent complete: 50.3%; Average loss: 3.1683
Iteration: 2015; Percent complete: 50.4%; Average loss: 3.0501
Iteration: 2016; Percent complete: 50.4%; Average loss: 3.1950
Iteration: 2017; Percent complete: 50.4%; Average loss: 3.2710
Iteration: 2018; Percent complete: 50.4%; Average loss: 3.0444
Iteration: 2019; Percent complete: 50.5%; Average loss: 3.2728
Iteration: 2020; Percent complete: 50.5%; Average loss: 3.0659
Iteration: 2021; Percent complete: 50.5%; Average loss: 3.1481
Iteration: 2022; Percent complete: 50.5%; Average loss: 3.1349
Iteration: 2023; Percent complete: 50.6%; Average loss: 3.0793
Iteration: 2024; Percent complete: 50.6%; Average loss: 3.2588
Iteration: 2025; Percent complete: 50.6%; Average loss: 2.9619
Iteration: 2026; Percent complete: 50.6%; Average loss: 3.2536
Iteration: 2027; Percent complete: 50.7%; Average loss: 2.9055
Iteration: 2028; Percent complete: 50.7%; Average loss: 3.2241
Iteration: 2029; Percent complete: 50.7%; Average loss: 3.3638
Iteration: 2030; Percent complete: 50.7%; Average loss: 3.5132
Iteration: 2031; Percent complete: 50.8%; Average loss: 3.0224
Iteration: 2032; Percent complete: 50.8%; Average loss: 3.4284
Iteration: 2033; Percent complete: 50.8%; Average loss: 3.2057
Iteration: 2034; Percent complete: 50.8%; Average loss: 2.9483
Iteration: 2035; Percent complete: 50.9%; Average loss: 3.2272
Iteration: 2036; Percent complete: 50.9%; Average loss: 3.3398
Iteration: 2037; Percent complete: 50.9%; Average loss: 3.1447
Iteration: 2038; Percent complete: 50.9%; Average loss: 3.7929
Iteration: 2039; Percent complete: 51.0%; Average loss: 3.0947
Iteration: 2040; Percent complete: 51.0%; Average loss: 3.2372
Iteration: 2041; Percent complete: 51.0%; Average loss: 2.9867
Iteration: 2042; Percent complete: 51.0%; Average loss: 3.3162
Iteration: 2043; Percent complete: 51.1%; Average loss: 3.3171
Iteration: 2044; Percent complete: 51.1%; Average loss: 3.1474
Iteration: 2045; Percent complete: 51.1%; Average loss: 3.1471
Iteration: 2046; Percent complete: 51.1%; Average loss: 3.3348
Iteration: 2047; Percent complete: 51.2%; Average loss: 3.1080
Iteration: 2048; Percent complete: 51.2%; Average loss: 3.0447
Iteration: 2049; Percent complete: 51.2%; Average loss: 3.1852
Iteration: 2050; Percent complete: 51.2%; Average loss: 3.6538
Iteration: 2051; Percent complete: 51.3%; Average loss: 3.1649
Iteration: 2052; Percent complete: 51.3%; Average loss: 2.8242
Iteration: 2053; Percent complete: 51.3%; Average loss: 3.1896
Iteration: 2054; Percent complete: 51.3%; Average loss: 3.2610
Iteration: 2055; Percent complete: 51.4%; Average loss: 3.1834
Iteration: 2056; Percent complete: 51.4%; Average loss: 3.2872
Iteration: 2057; Percent complete: 51.4%; Average loss: 2.8422
Iteration: 2058; Percent complete: 51.4%; Average loss: 3.0091
Iteration: 2059; Percent complete: 51.5%; Average loss: 3.2903
Iteration: 2060; Percent complete: 51.5%; Average loss: 3.1020
Iteration: 2061; Percent complete: 51.5%; Average loss: 3.1681
Iteration: 2062; Percent complete: 51.5%; Average loss: 3.0263
Iteration: 2063; Percent complete: 51.6%; Average loss: 3.2810
Iteration: 2064; Percent complete: 51.6%; Average loss: 3.0647
Iteration: 2065; Percent complete: 51.6%; Average loss: 3.0726
Iteration: 2066; Percent complete: 51.6%; Average loss: 3.1039
Iteration: 2067; Percent complete: 51.7%; Average loss: 3.2198
Iteration: 2068; Percent complete: 51.7%; Average loss: 3.4631
Iteration: 2069; Percent complete: 51.7%; Average loss: 3.0437
Iteration: 2070; Percent complete: 51.7%; Average loss: 3.0258
Iteration: 2071; Percent complete: 51.8%; Average loss: 3.0911
Iteration: 2072; Percent complete: 51.8%; Average loss: 3.1980
Iteration: 2073; Percent complete: 51.8%; Average loss: 3.0317
Iteration: 2074; Percent complete: 51.8%; Average loss: 3.3420
Iteration: 2075; Percent complete: 51.9%; Average loss: 3.3970
Iteration: 2076; Percent complete: 51.9%; Average loss: 3.1643
Iteration: 2077; Percent complete: 51.9%; Average loss: 3.1258
Iteration: 2078; Percent complete: 51.9%; Average loss: 3.2232
Iteration: 2079; Percent complete: 52.0%; Average loss: 2.9900
Iteration: 2080; Percent complete: 52.0%; Average loss: 3.4967
Iteration: 2081; Percent complete: 52.0%; Average loss: 3.2772
Iteration: 2082; Percent complete: 52.0%; Average loss: 3.0295
Iteration: 2083; Percent complete: 52.1%; Average loss: 3.1382
Iteration: 2084; Percent complete: 52.1%; Average loss: 3.0571
Iteration: 2085; Percent complete: 52.1%; Average loss: 3.1791
Iteration: 2086; Percent complete: 52.1%; Average loss: 3.0768
Iteration: 2087; Percent complete: 52.2%; Average loss: 3.1841
Iteration: 2088; Percent complete: 52.2%; Average loss: 3.0138
Iteration: 2089; Percent complete: 52.2%; Average loss: 3.0036
Iteration: 2090; Percent complete: 52.2%; Average loss: 3.0649
Iteration: 2091; Percent complete: 52.3%; Average loss: 3.1252
Iteration: 2092; Percent complete: 52.3%; Average loss: 3.3664
Iteration: 2093; Percent complete: 52.3%; Average loss: 3.0779
Iteration: 2094; Percent complete: 52.3%; Average loss: 3.0505
Iteration: 2095; Percent complete: 52.4%; Average loss: 3.1238
Iteration: 2096; Percent complete: 52.4%; Average loss: 3.2172
Iteration: 2097; Percent complete: 52.4%; Average loss: 3.0439
Iteration: 2098; Percent complete: 52.4%; Average loss: 3.1215
Iteration: 2099; Percent complete: 52.5%; Average loss: 3.1681
Iteration: 2100; Percent complete: 52.5%; Average loss: 3.1179
Iteration: 2101; Percent complete: 52.5%; Average loss: 3.1001
Iteration: 2102; Percent complete: 52.5%; Average loss: 3.3800
Iteration: 2103; Percent complete: 52.6%; Average loss: 3.1040
Iteration: 2104; Percent complete: 52.6%; Average loss: 3.0795
Iteration: 2105; Percent complete: 52.6%; Average loss: 3.1545
Iteration: 2106; Percent complete: 52.6%; Average loss: 2.9232
Iteration: 2107; Percent complete: 52.7%; Average loss: 3.1841
Iteration: 2108; Percent complete: 52.7%; Average loss: 3.1190
Iteration: 2109; Percent complete: 52.7%; Average loss: 3.1889
Iteration: 2110; Percent complete: 52.8%; Average loss: 3.2054
Iteration: 2111; Percent complete: 52.8%; Average loss: 3.0616
Iteration: 2112; Percent complete: 52.8%; Average loss: 3.1231
Iteration: 2113; Percent complete: 52.8%; Average loss: 2.8077
Iteration: 2114; Percent complete: 52.8%; Average loss: 3.1311
Iteration: 2115; Percent complete: 52.9%; Average loss: 3.3905
Iteration: 2116; Percent complete: 52.9%; Average loss: 2.9864
Iteration: 2117; Percent complete: 52.9%; Average loss: 3.0823
Iteration: 2118; Percent complete: 52.9%; Average loss: 3.0094
Iteration: 2119; Percent complete: 53.0%; Average loss: 3.2995
Iteration: 2120; Percent complete: 53.0%; Average loss: 2.9428
Iteration: 2121; Percent complete: 53.0%; Average loss: 3.1290
Iteration: 2122; Percent complete: 53.0%; Average loss: 3.0767
Iteration: 2123; Percent complete: 53.1%; Average loss: 3.1735
Iteration: 2124; Percent complete: 53.1%; Average loss: 3.0352
Iteration: 2125; Percent complete: 53.1%; Average loss: 3.1594
Iteration: 2126; Percent complete: 53.1%; Average loss: 3.1324
Iteration: 2127; Percent complete: 53.2%; Average loss: 3.1015
Iteration: 2128; Percent complete: 53.2%; Average loss: 2.9758
Iteration: 2129; Percent complete: 53.2%; Average loss: 3.0612
Iteration: 2130; Percent complete: 53.2%; Average loss: 3.1913
Iteration: 2131; Percent complete: 53.3%; Average loss: 3.1209
Iteration: 2132; Percent complete: 53.3%; Average loss: 3.1216
Iteration: 2133; Percent complete: 53.3%; Average loss: 3.3280
Iteration: 2134; Percent complete: 53.3%; Average loss: 3.0751
Iteration: 2135; Percent complete: 53.4%; Average loss: 3.1218
Iteration: 2136; Percent complete: 53.4%; Average loss: 2.8928
Iteration: 2137; Percent complete: 53.4%; Average loss: 2.9375
Iteration: 2138; Percent complete: 53.4%; Average loss: 3.0251
Iteration: 2139; Percent complete: 53.5%; Average loss: 3.0444
Iteration: 2140; Percent complete: 53.5%; Average loss: 2.9355
Iteration: 2141; Percent complete: 53.5%; Average loss: 3.2549
Iteration: 2142; Percent complete: 53.5%; Average loss: 3.1368
Iteration: 2143; Percent complete: 53.6%; Average loss: 3.3108
Iteration: 2144; Percent complete: 53.6%; Average loss: 2.9804
Iteration: 2145; Percent complete: 53.6%; Average loss: 3.0438
Iteration: 2146; Percent complete: 53.6%; Average loss: 3.0787
Iteration: 2147; Percent complete: 53.7%; Average loss: 3.2816
Iteration: 2148; Percent complete: 53.7%; Average loss: 3.3303
Iteration: 2149; Percent complete: 53.7%; Average loss: 3.1758
Iteration: 2150; Percent complete: 53.8%; Average loss: 2.7886
Iteration: 2151; Percent complete: 53.8%; Average loss: 3.0709
Iteration: 2152; Percent complete: 53.8%; Average loss: 3.0117
Iteration: 2153; Percent complete: 53.8%; Average loss: 3.0986
Iteration: 2154; Percent complete: 53.8%; Average loss: 2.8540
Iteration: 2155; Percent complete: 53.9%; Average loss: 3.2962
Iteration: 2156; Percent complete: 53.9%; Average loss: 3.2189
Iteration: 2157; Percent complete: 53.9%; Average loss: 3.1075
Iteration: 2158; Percent complete: 53.9%; Average loss: 3.4603
Iteration: 2159; Percent complete: 54.0%; Average loss: 3.1023
Iteration: 2160; Percent complete: 54.0%; Average loss: 2.9831
Iteration: 2161; Percent complete: 54.0%; Average loss: 3.3005
Iteration: 2162; Percent complete: 54.0%; Average loss: 3.1447
Iteration: 2163; Percent complete: 54.1%; Average loss: 3.0159
Iteration: 2164; Percent complete: 54.1%; Average loss: 2.9418
Iteration: 2165; Percent complete: 54.1%; Average loss: 3.0359
Iteration: 2166; Percent complete: 54.1%; Average loss: 3.3482
Iteration: 2167; Percent complete: 54.2%; Average loss: 3.1396
Iteration: 2168; Percent complete: 54.2%; Average loss: 3.0905
Iteration: 2169; Percent complete: 54.2%; Average loss: 2.9662
Iteration: 2170; Percent complete: 54.2%; Average loss: 3.0910
Iteration: 2171; Percent complete: 54.3%; Average loss: 3.3021
Iteration: 2172; Percent complete: 54.3%; Average loss: 3.1779
Iteration: 2173; Percent complete: 54.3%; Average loss: 3.1209
Iteration: 2174; Percent complete: 54.4%; Average loss: 3.1761
Iteration: 2175; Percent complete: 54.4%; Average loss: 2.9137
Iteration: 2176; Percent complete: 54.4%; Average loss: 3.0185
Iteration: 2177; Percent complete: 54.4%; Average loss: 3.3563
Iteration: 2178; Percent complete: 54.4%; Average loss: 3.0441
Iteration: 2179; Percent complete: 54.5%; Average loss: 3.2149
Iteration: 2180; Percent complete: 54.5%; Average loss: 3.0479
Iteration: 2181; Percent complete: 54.5%; Average loss: 3.2588
Iteration: 2182; Percent complete: 54.5%; Average loss: 3.1594
Iteration: 2183; Percent complete: 54.6%; Average loss: 3.0921
Iteration: 2184; Percent complete: 54.6%; Average loss: 3.2450
Iteration: 2185; Percent complete: 54.6%; Average loss: 3.2862
Iteration: 2186; Percent complete: 54.6%; Average loss: 3.1293
Iteration: 2187; Percent complete: 54.7%; Average loss: 3.0151
Iteration: 2188; Percent complete: 54.7%; Average loss: 2.9173
Iteration: 2189; Percent complete: 54.7%; Average loss: 3.3641
Iteration: 2190; Percent complete: 54.8%; Average loss: 3.1154
Iteration: 2191; Percent complete: 54.8%; Average loss: 3.2617
Iteration: 2192; Percent complete: 54.8%; Average loss: 3.0861
Iteration: 2193; Percent complete: 54.8%; Average loss: 3.0973
Iteration: 2194; Percent complete: 54.9%; Average loss: 3.3359
Iteration: 2195; Percent complete: 54.9%; Average loss: 3.0669
Iteration: 2196; Percent complete: 54.9%; Average loss: 2.9682
Iteration: 2197; Percent complete: 54.9%; Average loss: 3.1157
Iteration: 2198; Percent complete: 54.9%; Average loss: 2.8950
Iteration: 2199; Percent complete: 55.0%; Average loss: 3.1520
Iteration: 2200; Percent complete: 55.0%; Average loss: 3.0266
Iteration: 2201; Percent complete: 55.0%; Average loss: 3.2802
Iteration: 2202; Percent complete: 55.0%; Average loss: 3.1681
Iteration: 2203; Percent complete: 55.1%; Average loss: 3.1971
Iteration: 2204; Percent complete: 55.1%; Average loss: 3.1368
Iteration: 2205; Percent complete: 55.1%; Average loss: 3.1155
Iteration: 2206; Percent complete: 55.1%; Average loss: 3.3190
Iteration: 2207; Percent complete: 55.2%; Average loss: 3.1642
Iteration: 2208; Percent complete: 55.2%; Average loss: 2.9999
Iteration: 2209; Percent complete: 55.2%; Average loss: 3.2120
Iteration: 2210; Percent complete: 55.2%; Average loss: 3.3885
Iteration: 2211; Percent complete: 55.3%; Average loss: 3.2223
Iteration: 2212; Percent complete: 55.3%; Average loss: 2.9984
Iteration: 2213; Percent complete: 55.3%; Average loss: 3.1093
Iteration: 2214; Percent complete: 55.4%; Average loss: 3.2260
Iteration: 2215; Percent complete: 55.4%; Average loss: 3.3202
Iteration: 2216; Percent complete: 55.4%; Average loss: 3.1182
Iteration: 2217; Percent complete: 55.4%; Average loss: 3.2605
Iteration: 2218; Percent complete: 55.5%; Average loss: 3.3369
Iteration: 2219; Percent complete: 55.5%; Average loss: 3.3762
Iteration: 2220; Percent complete: 55.5%; Average loss: 3.0505
Iteration: 2221; Percent complete: 55.5%; Average loss: 3.2892
Iteration: 2222; Percent complete: 55.5%; Average loss: 3.1881
Iteration: 2223; Percent complete: 55.6%; Average loss: 3.1262
Iteration: 2224; Percent complete: 55.6%; Average loss: 2.9999
Iteration: 2225; Percent complete: 55.6%; Average loss: 2.8974
Iteration: 2226; Percent complete: 55.6%; Average loss: 3.0449
Iteration: 2227; Percent complete: 55.7%; Average loss: 3.3069
Iteration: 2228; Percent complete: 55.7%; Average loss: 3.3374
Iteration: 2229; Percent complete: 55.7%; Average loss: 3.1608
Iteration: 2230; Percent complete: 55.8%; Average loss: 3.2008
Iteration: 2231; Percent complete: 55.8%; Average loss: 2.9391
Iteration: 2232; Percent complete: 55.8%; Average loss: 3.0184
Iteration: 2233; Percent complete: 55.8%; Average loss: 3.2571
Iteration: 2234; Percent complete: 55.9%; Average loss: 3.1388
Iteration: 2235; Percent complete: 55.9%; Average loss: 2.9674
Iteration: 2236; Percent complete: 55.9%; Average loss: 3.0459
Iteration: 2237; Percent complete: 55.9%; Average loss: 3.0626
Iteration: 2238; Percent complete: 56.0%; Average loss: 3.0123
Iteration: 2239; Percent complete: 56.0%; Average loss: 2.9860
Iteration: 2240; Percent complete: 56.0%; Average loss: 2.9947
Iteration: 2241; Percent complete: 56.0%; Average loss: 3.0625
Iteration: 2242; Percent complete: 56.0%; Average loss: 3.0176
Iteration: 2243; Percent complete: 56.1%; Average loss: 2.9848
Iteration: 2244; Percent complete: 56.1%; Average loss: 3.1103
Iteration: 2245; Percent complete: 56.1%; Average loss: 3.2703
Iteration: 2246; Percent complete: 56.1%; Average loss: 3.0775
Iteration: 2247; Percent complete: 56.2%; Average loss: 3.4673
Iteration: 2248; Percent complete: 56.2%; Average loss: 3.0192
Iteration: 2249; Percent complete: 56.2%; Average loss: 3.1431
Iteration: 2250; Percent complete: 56.2%; Average loss: 2.9194
Iteration: 2251; Percent complete: 56.3%; Average loss: 3.1713
Iteration: 2252; Percent complete: 56.3%; Average loss: 3.0979
Iteration: 2253; Percent complete: 56.3%; Average loss: 3.1005
Iteration: 2254; Percent complete: 56.4%; Average loss: 3.1455
Iteration: 2255; Percent complete: 56.4%; Average loss: 2.9721
Iteration: 2256; Percent complete: 56.4%; Average loss: 3.2960
Iteration: 2257; Percent complete: 56.4%; Average loss: 2.9678
Iteration: 2258; Percent complete: 56.5%; Average loss: 3.3403
Iteration: 2259; Percent complete: 56.5%; Average loss: 3.1564
Iteration: 2260; Percent complete: 56.5%; Average loss: 2.9171
Iteration: 2261; Percent complete: 56.5%; Average loss: 3.0700
Iteration: 2262; Percent complete: 56.5%; Average loss: 2.9608
Iteration: 2263; Percent complete: 56.6%; Average loss: 2.8124
Iteration: 2264; Percent complete: 56.6%; Average loss: 2.8783
Iteration: 2265; Percent complete: 56.6%; Average loss: 2.7795
Iteration: 2266; Percent complete: 56.6%; Average loss: 3.1725
Iteration: 2267; Percent complete: 56.7%; Average loss: 3.0558
Iteration: 2268; Percent complete: 56.7%; Average loss: 2.8377
Iteration: 2269; Percent complete: 56.7%; Average loss: 3.1473
Iteration: 2270; Percent complete: 56.8%; Average loss: 2.7519
Iteration: 2271; Percent complete: 56.8%; Average loss: 3.2419
Iteration: 2272; Percent complete: 56.8%; Average loss: 2.8855
Iteration: 2273; Percent complete: 56.8%; Average loss: 3.0980
Iteration: 2274; Percent complete: 56.9%; Average loss: 2.8987
Iteration: 2275; Percent complete: 56.9%; Average loss: 3.0247
Iteration: 2276; Percent complete: 56.9%; Average loss: 3.1276
Iteration: 2277; Percent complete: 56.9%; Average loss: 3.0076
Iteration: 2278; Percent complete: 57.0%; Average loss: 3.1274
Iteration: 2279; Percent complete: 57.0%; Average loss: 3.2587
Iteration: 2280; Percent complete: 57.0%; Average loss: 3.1279
Iteration: 2281; Percent complete: 57.0%; Average loss: 3.0267
Iteration: 2282; Percent complete: 57.0%; Average loss: 3.3133
Iteration: 2283; Percent complete: 57.1%; Average loss: 3.1836
Iteration: 2284; Percent complete: 57.1%; Average loss: 3.2457
Iteration: 2285; Percent complete: 57.1%; Average loss: 3.0567
Iteration: 2286; Percent complete: 57.1%; Average loss: 3.1318
Iteration: 2287; Percent complete: 57.2%; Average loss: 3.0106
Iteration: 2288; Percent complete: 57.2%; Average loss: 2.9912
Iteration: 2289; Percent complete: 57.2%; Average loss: 2.9364
Iteration: 2290; Percent complete: 57.2%; Average loss: 3.0174
Iteration: 2291; Percent complete: 57.3%; Average loss: 2.8563
Iteration: 2292; Percent complete: 57.3%; Average loss: 3.0087
Iteration: 2293; Percent complete: 57.3%; Average loss: 3.1056
Iteration: 2294; Percent complete: 57.4%; Average loss: 3.1201
Iteration: 2295; Percent complete: 57.4%; Average loss: 2.9565
Iteration: 2296; Percent complete: 57.4%; Average loss: 3.0194
Iteration: 2297; Percent complete: 57.4%; Average loss: 2.9920
Iteration: 2298; Percent complete: 57.5%; Average loss: 3.1115
Iteration: 2299; Percent complete: 57.5%; Average loss: 2.8247
Iteration: 2300; Percent complete: 57.5%; Average loss: 2.8638
Iteration: 2301; Percent complete: 57.5%; Average loss: 3.1537
Iteration: 2302; Percent complete: 57.6%; Average loss: 3.1062
Iteration: 2303; Percent complete: 57.6%; Average loss: 3.5890
Iteration: 2304; Percent complete: 57.6%; Average loss: 3.1107
Iteration: 2305; Percent complete: 57.6%; Average loss: 3.0813
Iteration: 2306; Percent complete: 57.6%; Average loss: 3.3131
Iteration: 2307; Percent complete: 57.7%; Average loss: 2.8585
Iteration: 2308; Percent complete: 57.7%; Average loss: 3.0875
Iteration: 2309; Percent complete: 57.7%; Average loss: 2.9939
Iteration: 2310; Percent complete: 57.8%; Average loss: 3.0426
Iteration: 2311; Percent complete: 57.8%; Average loss: 3.0411
Iteration: 2312; Percent complete: 57.8%; Average loss: 3.1204
Iteration: 2313; Percent complete: 57.8%; Average loss: 2.9535
Iteration: 2314; Percent complete: 57.9%; Average loss: 2.9120
Iteration: 2315; Percent complete: 57.9%; Average loss: 3.0577
Iteration: 2316; Percent complete: 57.9%; Average loss: 3.0255
Iteration: 2317; Percent complete: 57.9%; Average loss: 3.2999
Iteration: 2318; Percent complete: 58.0%; Average loss: 3.0541
Iteration: 2319; Percent complete: 58.0%; Average loss: 3.0405
Iteration: 2320; Percent complete: 58.0%; Average loss: 3.0058
Iteration: 2321; Percent complete: 58.0%; Average loss: 3.1647
Iteration: 2322; Percent complete: 58.1%; Average loss: 3.0272
Iteration: 2323; Percent complete: 58.1%; Average loss: 3.2035
Iteration: 2324; Percent complete: 58.1%; Average loss: 2.9648
Iteration: 2325; Percent complete: 58.1%; Average loss: 3.1538
Iteration: 2326; Percent complete: 58.1%; Average loss: 2.9627
Iteration: 2327; Percent complete: 58.2%; Average loss: 3.0420
Iteration: 2328; Percent complete: 58.2%; Average loss: 3.0388
Iteration: 2329; Percent complete: 58.2%; Average loss: 2.9008
Iteration: 2330; Percent complete: 58.2%; Average loss: 3.0818
Iteration: 2331; Percent complete: 58.3%; Average loss: 3.3682
Iteration: 2332; Percent complete: 58.3%; Average loss: 3.2000
Iteration: 2333; Percent complete: 58.3%; Average loss: 3.0757
Iteration: 2334; Percent complete: 58.4%; Average loss: 2.8821
Iteration: 2335; Percent complete: 58.4%; Average loss: 3.1599
Iteration: 2336; Percent complete: 58.4%; Average loss: 3.1337
Iteration: 2337; Percent complete: 58.4%; Average loss: 3.1109
Iteration: 2338; Percent complete: 58.5%; Average loss: 3.0522
Iteration: 2339; Percent complete: 58.5%; Average loss: 3.1937
Iteration: 2340; Percent complete: 58.5%; Average loss: 3.0515
Iteration: 2341; Percent complete: 58.5%; Average loss: 3.0175
Iteration: 2342; Percent complete: 58.6%; Average loss: 3.1243
Iteration: 2343; Percent complete: 58.6%; Average loss: 3.1163
Iteration: 2344; Percent complete: 58.6%; Average loss: 2.9278
Iteration: 2345; Percent complete: 58.6%; Average loss: 3.0976
Iteration: 2346; Percent complete: 58.7%; Average loss: 3.2557
Iteration: 2347; Percent complete: 58.7%; Average loss: 3.1098
Iteration: 2348; Percent complete: 58.7%; Average loss: 2.9621
Iteration: 2349; Percent complete: 58.7%; Average loss: 3.0076
Iteration: 2350; Percent complete: 58.8%; Average loss: 3.2088
Iteration: 2351; Percent complete: 58.8%; Average loss: 2.9298
Iteration: 2352; Percent complete: 58.8%; Average loss: 2.9814
Iteration: 2353; Percent complete: 58.8%; Average loss: 2.9572
Iteration: 2354; Percent complete: 58.9%; Average loss: 3.0837
Iteration: 2355; Percent complete: 58.9%; Average loss: 3.1675
Iteration: 2356; Percent complete: 58.9%; Average loss: 3.1144
Iteration: 2357; Percent complete: 58.9%; Average loss: 3.0904
Iteration: 2358; Percent complete: 59.0%; Average loss: 3.3199
Iteration: 2359; Percent complete: 59.0%; Average loss: 3.1354
Iteration: 2360; Percent complete: 59.0%; Average loss: 2.8680
Iteration: 2361; Percent complete: 59.0%; Average loss: 2.9509
Iteration: 2362; Percent complete: 59.1%; Average loss: 3.3288
Iteration: 2363; Percent complete: 59.1%; Average loss: 3.0687
Iteration: 2364; Percent complete: 59.1%; Average loss: 3.2428
Iteration: 2365; Percent complete: 59.1%; Average loss: 3.2698
Iteration: 2366; Percent complete: 59.2%; Average loss: 3.2539
Iteration: 2367; Percent complete: 59.2%; Average loss: 3.0256
Iteration: 2368; Percent complete: 59.2%; Average loss: 3.0677
Iteration: 2369; Percent complete: 59.2%; Average loss: 3.1049
Iteration: 2370; Percent complete: 59.2%; Average loss: 3.0408
Iteration: 2371; Percent complete: 59.3%; Average loss: 3.0859
Iteration: 2372; Percent complete: 59.3%; Average loss: 2.9161
Iteration: 2373; Percent complete: 59.3%; Average loss: 2.9391
Iteration: 2374; Percent complete: 59.4%; Average loss: 2.9337
Iteration: 2375; Percent complete: 59.4%; Average loss: 3.1718
Iteration: 2376; Percent complete: 59.4%; Average loss: 2.9764
Iteration: 2377; Percent complete: 59.4%; Average loss: 3.1180
Iteration: 2378; Percent complete: 59.5%; Average loss: 3.0645
Iteration: 2379; Percent complete: 59.5%; Average loss: 2.9194
Iteration: 2380; Percent complete: 59.5%; Average loss: 3.1284
Iteration: 2381; Percent complete: 59.5%; Average loss: 3.0858
Iteration: 2382; Percent complete: 59.6%; Average loss: 3.4000
Iteration: 2383; Percent complete: 59.6%; Average loss: 3.1620
Iteration: 2384; Percent complete: 59.6%; Average loss: 2.8878
Iteration: 2385; Percent complete: 59.6%; Average loss: 3.2343
Iteration: 2386; Percent complete: 59.7%; Average loss: 3.1817
Iteration: 2387; Percent complete: 59.7%; Average loss: 2.8955
Iteration: 2388; Percent complete: 59.7%; Average loss: 2.9611
Iteration: 2389; Percent complete: 59.7%; Average loss: 2.8407
Iteration: 2390; Percent complete: 59.8%; Average loss: 2.9793
Iteration: 2391; Percent complete: 59.8%; Average loss: 3.2539
Iteration: 2392; Percent complete: 59.8%; Average loss: 3.1153
Iteration: 2393; Percent complete: 59.8%; Average loss: 3.2674
Iteration: 2394; Percent complete: 59.9%; Average loss: 2.9153
Iteration: 2395; Percent complete: 59.9%; Average loss: 3.0653
Iteration: 2396; Percent complete: 59.9%; Average loss: 3.0933
Iteration: 2397; Percent complete: 59.9%; Average loss: 2.8309
Iteration: 2398; Percent complete: 60.0%; Average loss: 3.2114
Iteration: 2399; Percent complete: 60.0%; Average loss: 2.8687
Iteration: 2400; Percent complete: 60.0%; Average loss: 2.6171
Iteration: 2401; Percent complete: 60.0%; Average loss: 2.9079
Iteration: 2402; Percent complete: 60.1%; Average loss: 2.8794
Iteration: 2403; Percent complete: 60.1%; Average loss: 2.8101
Iteration: 2404; Percent complete: 60.1%; Average loss: 2.7944
Iteration: 2405; Percent complete: 60.1%; Average loss: 3.2081
Iteration: 2406; Percent complete: 60.2%; Average loss: 3.1697
Iteration: 2407; Percent complete: 60.2%; Average loss: 3.0897
Iteration: 2408; Percent complete: 60.2%; Average loss: 3.0171
Iteration: 2409; Percent complete: 60.2%; Average loss: 3.1557
Iteration: 2410; Percent complete: 60.2%; Average loss: 3.0195
Iteration: 2411; Percent complete: 60.3%; Average loss: 3.0055
Iteration: 2412; Percent complete: 60.3%; Average loss: 3.1766
Iteration: 2413; Percent complete: 60.3%; Average loss: 3.3001
Iteration: 2414; Percent complete: 60.4%; Average loss: 3.3129
Iteration: 2415; Percent complete: 60.4%; Average loss: 3.1552
Iteration: 2416; Percent complete: 60.4%; Average loss: 3.1709
Iteration: 2417; Percent complete: 60.4%; Average loss: 3.0985
Iteration: 2418; Percent complete: 60.5%; Average loss: 3.2077
Iteration: 2419; Percent complete: 60.5%; Average loss: 3.1780
Iteration: 2420; Percent complete: 60.5%; Average loss: 3.1627
Iteration: 2421; Percent complete: 60.5%; Average loss: 3.1559
Iteration: 2422; Percent complete: 60.6%; Average loss: 2.9273
Iteration: 2423; Percent complete: 60.6%; Average loss: 3.0275
Iteration: 2424; Percent complete: 60.6%; Average loss: 2.7762
Iteration: 2425; Percent complete: 60.6%; Average loss: 2.8995
Iteration: 2426; Percent complete: 60.7%; Average loss: 2.9838
Iteration: 2427; Percent complete: 60.7%; Average loss: 2.9361
Iteration: 2428; Percent complete: 60.7%; Average loss: 2.8268
Iteration: 2429; Percent complete: 60.7%; Average loss: 3.1796
Iteration: 2430; Percent complete: 60.8%; Average loss: 3.0684
Iteration: 2431; Percent complete: 60.8%; Average loss: 2.9075
Iteration: 2432; Percent complete: 60.8%; Average loss: 3.0643
Iteration: 2433; Percent complete: 60.8%; Average loss: 2.9187
Iteration: 2434; Percent complete: 60.9%; Average loss: 3.0869
Iteration: 2435; Percent complete: 60.9%; Average loss: 3.0626
Iteration: 2436; Percent complete: 60.9%; Average loss: 2.9596
Iteration: 2437; Percent complete: 60.9%; Average loss: 3.1715
Iteration: 2438; Percent complete: 61.0%; Average loss: 2.8026
Iteration: 2439; Percent complete: 61.0%; Average loss: 2.8876
Iteration: 2440; Percent complete: 61.0%; Average loss: 2.8766
Iteration: 2441; Percent complete: 61.0%; Average loss: 2.8795
Iteration: 2442; Percent complete: 61.1%; Average loss: 2.9561
Iteration: 2443; Percent complete: 61.1%; Average loss: 3.0040
Iteration: 2444; Percent complete: 61.1%; Average loss: 3.0262
Iteration: 2445; Percent complete: 61.1%; Average loss: 2.9154
Iteration: 2446; Percent complete: 61.2%; Average loss: 3.0631
Iteration: 2447; Percent complete: 61.2%; Average loss: 3.0013
Iteration: 2448; Percent complete: 61.2%; Average loss: 2.8479
Iteration: 2449; Percent complete: 61.2%; Average loss: 2.7593
Iteration: 2450; Percent complete: 61.3%; Average loss: 2.9770
Iteration: 2451; Percent complete: 61.3%; Average loss: 2.8822
Iteration: 2452; Percent complete: 61.3%; Average loss: 2.9796
Iteration: 2453; Percent complete: 61.3%; Average loss: 3.1161
Iteration: 2454; Percent complete: 61.4%; Average loss: 3.1977
Iteration: 2455; Percent complete: 61.4%; Average loss: 2.9594
Iteration: 2456; Percent complete: 61.4%; Average loss: 2.9751
Iteration: 2457; Percent complete: 61.4%; Average loss: 3.0651
Iteration: 2458; Percent complete: 61.5%; Average loss: 3.2658
Iteration: 2459; Percent complete: 61.5%; Average loss: 3.2105
Iteration: 2460; Percent complete: 61.5%; Average loss: 3.1102
Iteration: 2461; Percent complete: 61.5%; Average loss: 3.0561
Iteration: 2462; Percent complete: 61.6%; Average loss: 2.8998
Iteration: 2463; Percent complete: 61.6%; Average loss: 2.9449
Iteration: 2464; Percent complete: 61.6%; Average loss: 2.8046
Iteration: 2465; Percent complete: 61.6%; Average loss: 2.9232
Iteration: 2466; Percent complete: 61.7%; Average loss: 3.2097
Iteration: 2467; Percent complete: 61.7%; Average loss: 2.7854
Iteration: 2468; Percent complete: 61.7%; Average loss: 2.9415
Iteration: 2469; Percent complete: 61.7%; Average loss: 2.9502
Iteration: 2470; Percent complete: 61.8%; Average loss: 2.8637
Iteration: 2471; Percent complete: 61.8%; Average loss: 3.1789
Iteration: 2472; Percent complete: 61.8%; Average loss: 2.9190
Iteration: 2473; Percent complete: 61.8%; Average loss: 3.1980
Iteration: 2474; Percent complete: 61.9%; Average loss: 3.0432
Iteration: 2475; Percent complete: 61.9%; Average loss: 2.8250
Iteration: 2476; Percent complete: 61.9%; Average loss: 3.3455
Iteration: 2477; Percent complete: 61.9%; Average loss: 2.7816
Iteration: 2478; Percent complete: 62.0%; Average loss: 3.0962
Iteration: 2479; Percent complete: 62.0%; Average loss: 3.2808
Iteration: 2480; Percent complete: 62.0%; Average loss: 3.1291
Iteration: 2481; Percent complete: 62.0%; Average loss: 3.2660
Iteration: 2482; Percent complete: 62.1%; Average loss: 3.2006
Iteration: 2483; Percent complete: 62.1%; Average loss: 2.9933
Iteration: 2484; Percent complete: 62.1%; Average loss: 3.0276
Iteration: 2485; Percent complete: 62.1%; Average loss: 3.0365
Iteration: 2486; Percent complete: 62.2%; Average loss: 2.9383
Iteration: 2487; Percent complete: 62.2%; Average loss: 3.1727
Iteration: 2488; Percent complete: 62.2%; Average loss: 2.7724
Iteration: 2489; Percent complete: 62.2%; Average loss: 2.9253
Iteration: 2490; Percent complete: 62.3%; Average loss: 3.0127
Iteration: 2491; Percent complete: 62.3%; Average loss: 3.1023
Iteration: 2492; Percent complete: 62.3%; Average loss: 3.1378
Iteration: 2493; Percent complete: 62.3%; Average loss: 2.9845
Iteration: 2494; Percent complete: 62.4%; Average loss: 3.3999
Iteration: 2495; Percent complete: 62.4%; Average loss: 3.2206
Iteration: 2496; Percent complete: 62.4%; Average loss: 3.0056
Iteration: 2497; Percent complete: 62.4%; Average loss: 3.1225
Iteration: 2498; Percent complete: 62.5%; Average loss: 2.9702
Iteration: 2499; Percent complete: 62.5%; Average loss: 3.0628
Iteration: 2500; Percent complete: 62.5%; Average loss: 3.0960
Iteration: 2501; Percent complete: 62.5%; Average loss: 2.9310
Iteration: 2502; Percent complete: 62.5%; Average loss: 2.9979
Iteration: 2503; Percent complete: 62.6%; Average loss: 3.1300
Iteration: 2504; Percent complete: 62.6%; Average loss: 2.9032
Iteration: 2505; Percent complete: 62.6%; Average loss: 3.0748
Iteration: 2506; Percent complete: 62.6%; Average loss: 2.9529
Iteration: 2507; Percent complete: 62.7%; Average loss: 3.1610
Iteration: 2508; Percent complete: 62.7%; Average loss: 3.0978
Iteration: 2509; Percent complete: 62.7%; Average loss: 2.9265
Iteration: 2510; Percent complete: 62.7%; Average loss: 2.9040
Iteration: 2511; Percent complete: 62.8%; Average loss: 2.9071
Iteration: 2512; Percent complete: 62.8%; Average loss: 3.0516
Iteration: 2513; Percent complete: 62.8%; Average loss: 3.0940
Iteration: 2514; Percent complete: 62.8%; Average loss: 2.7963
Iteration: 2515; Percent complete: 62.9%; Average loss: 2.8735
Iteration: 2516; Percent complete: 62.9%; Average loss: 3.0072
Iteration: 2517; Percent complete: 62.9%; Average loss: 3.2300
Iteration: 2518; Percent complete: 62.9%; Average loss: 2.9715
Iteration: 2519; Percent complete: 63.0%; Average loss: 3.2269
Iteration: 2520; Percent complete: 63.0%; Average loss: 2.7569
Iteration: 2521; Percent complete: 63.0%; Average loss: 3.1831
Iteration: 2522; Percent complete: 63.0%; Average loss: 2.9277
Iteration: 2523; Percent complete: 63.1%; Average loss: 3.0806
Iteration: 2524; Percent complete: 63.1%; Average loss: 2.8866
Iteration: 2525; Percent complete: 63.1%; Average loss: 3.0410
Iteration: 2526; Percent complete: 63.1%; Average loss: 2.9344
Iteration: 2527; Percent complete: 63.2%; Average loss: 3.2220
Iteration: 2528; Percent complete: 63.2%; Average loss: 2.9294
Iteration: 2529; Percent complete: 63.2%; Average loss: 3.0849
Iteration: 2530; Percent complete: 63.2%; Average loss: 3.1594
Iteration: 2531; Percent complete: 63.3%; Average loss: 2.9965
Iteration: 2532; Percent complete: 63.3%; Average loss: 2.9428
Iteration: 2533; Percent complete: 63.3%; Average loss: 3.1705
Iteration: 2534; Percent complete: 63.3%; Average loss: 2.8959
Iteration: 2535; Percent complete: 63.4%; Average loss: 3.1065
Iteration: 2536; Percent complete: 63.4%; Average loss: 2.9990
Iteration: 2537; Percent complete: 63.4%; Average loss: 2.7766
Iteration: 2538; Percent complete: 63.4%; Average loss: 3.1485
Iteration: 2539; Percent complete: 63.5%; Average loss: 3.1671
Iteration: 2540; Percent complete: 63.5%; Average loss: 3.0554
Iteration: 2541; Percent complete: 63.5%; Average loss: 3.0637
Iteration: 2542; Percent complete: 63.5%; Average loss: 2.9414
Iteration: 2543; Percent complete: 63.6%; Average loss: 3.1246
Iteration: 2544; Percent complete: 63.6%; Average loss: 2.9584
Iteration: 2545; Percent complete: 63.6%; Average loss: 3.0504
Iteration: 2546; Percent complete: 63.6%; Average loss: 2.8311
Iteration: 2547; Percent complete: 63.7%; Average loss: 3.1551
Iteration: 2548; Percent complete: 63.7%; Average loss: 3.3131
Iteration: 2549; Percent complete: 63.7%; Average loss: 3.0513
Iteration: 2550; Percent complete: 63.7%; Average loss: 2.7300
Iteration: 2551; Percent complete: 63.8%; Average loss: 2.8334
Iteration: 2552; Percent complete: 63.8%; Average loss: 2.7758
Iteration: 2553; Percent complete: 63.8%; Average loss: 2.9445
Iteration: 2554; Percent complete: 63.8%; Average loss: 2.9066
Iteration: 2555; Percent complete: 63.9%; Average loss: 3.1052
Iteration: 2556; Percent complete: 63.9%; Average loss: 3.0568
Iteration: 2557; Percent complete: 63.9%; Average loss: 3.1058
Iteration: 2558; Percent complete: 63.9%; Average loss: 2.9728
Iteration: 2559; Percent complete: 64.0%; Average loss: 2.9481
Iteration: 2560; Percent complete: 64.0%; Average loss: 2.9647
Iteration: 2561; Percent complete: 64.0%; Average loss: 2.9892
Iteration: 2562; Percent complete: 64.0%; Average loss: 3.1223
Iteration: 2563; Percent complete: 64.1%; Average loss: 2.8749
Iteration: 2564; Percent complete: 64.1%; Average loss: 3.0341
Iteration: 2565; Percent complete: 64.1%; Average loss: 2.9280
Iteration: 2566; Percent complete: 64.1%; Average loss: 2.8371
Iteration: 2567; Percent complete: 64.2%; Average loss: 3.0599
Iteration: 2568; Percent complete: 64.2%; Average loss: 3.1103
Iteration: 2569; Percent complete: 64.2%; Average loss: 3.0292
Iteration: 2570; Percent complete: 64.2%; Average loss: 3.0700
Iteration: 2571; Percent complete: 64.3%; Average loss: 2.9735
Iteration: 2572; Percent complete: 64.3%; Average loss: 3.0527
Iteration: 2573; Percent complete: 64.3%; Average loss: 2.9282
Iteration: 2574; Percent complete: 64.3%; Average loss: 3.0601
Iteration: 2575; Percent complete: 64.4%; Average loss: 2.8804
Iteration: 2576; Percent complete: 64.4%; Average loss: 2.8694
Iteration: 2577; Percent complete: 64.4%; Average loss: 2.9079
Iteration: 2578; Percent complete: 64.5%; Average loss: 2.9592
Iteration: 2579; Percent complete: 64.5%; Average loss: 2.9555
Iteration: 2580; Percent complete: 64.5%; Average loss: 3.1068
Iteration: 2581; Percent complete: 64.5%; Average loss: 3.1027
Iteration: 2582; Percent complete: 64.5%; Average loss: 2.9997
Iteration: 2583; Percent complete: 64.6%; Average loss: 2.9964
Iteration: 2584; Percent complete: 64.6%; Average loss: 3.0089
Iteration: 2585; Percent complete: 64.6%; Average loss: 3.0160
Iteration: 2586; Percent complete: 64.6%; Average loss: 3.0130
Iteration: 2587; Percent complete: 64.7%; Average loss: 3.2722
Iteration: 2588; Percent complete: 64.7%; Average loss: 3.0455
Iteration: 2589; Percent complete: 64.7%; Average loss: 2.8292
Iteration: 2590; Percent complete: 64.8%; Average loss: 3.0507
Iteration: 2591; Percent complete: 64.8%; Average loss: 3.1624
Iteration: 2592; Percent complete: 64.8%; Average loss: 3.0832
Iteration: 2593; Percent complete: 64.8%; Average loss: 2.9879
Iteration: 2594; Percent complete: 64.8%; Average loss: 3.1984
Iteration: 2595; Percent complete: 64.9%; Average loss: 3.0540
Iteration: 2596; Percent complete: 64.9%; Average loss: 2.9179
Iteration: 2597; Percent complete: 64.9%; Average loss: 3.0230
Iteration: 2598; Percent complete: 65.0%; Average loss: 2.8559
Iteration: 2599; Percent complete: 65.0%; Average loss: 2.9730
Iteration: 2600; Percent complete: 65.0%; Average loss: 3.1272
Iteration: 2601; Percent complete: 65.0%; Average loss: 2.8189
Iteration: 2602; Percent complete: 65.0%; Average loss: 2.7493
Iteration: 2603; Percent complete: 65.1%; Average loss: 2.6567
Iteration: 2604; Percent complete: 65.1%; Average loss: 2.8938
Iteration: 2605; Percent complete: 65.1%; Average loss: 2.9915
Iteration: 2606; Percent complete: 65.1%; Average loss: 2.8527
Iteration: 2607; Percent complete: 65.2%; Average loss: 2.9821
Iteration: 2608; Percent complete: 65.2%; Average loss: 3.0204
Iteration: 2609; Percent complete: 65.2%; Average loss: 2.9420
Iteration: 2610; Percent complete: 65.2%; Average loss: 2.9921
Iteration: 2611; Percent complete: 65.3%; Average loss: 3.0230
Iteration: 2612; Percent complete: 65.3%; Average loss: 3.1979
Iteration: 2613; Percent complete: 65.3%; Average loss: 2.9503
Iteration: 2614; Percent complete: 65.3%; Average loss: 2.9234
Iteration: 2615; Percent complete: 65.4%; Average loss: 2.9701
Iteration: 2616; Percent complete: 65.4%; Average loss: 2.9449
Iteration: 2617; Percent complete: 65.4%; Average loss: 2.9999
Iteration: 2618; Percent complete: 65.5%; Average loss: 3.0266
Iteration: 2619; Percent complete: 65.5%; Average loss: 2.9198
Iteration: 2620; Percent complete: 65.5%; Average loss: 3.2193
Iteration: 2621; Percent complete: 65.5%; Average loss: 2.8927
Iteration: 2622; Percent complete: 65.5%; Average loss: 2.8363
Iteration: 2623; Percent complete: 65.6%; Average loss: 2.8794
Iteration: 2624; Percent complete: 65.6%; Average loss: 2.8991
Iteration: 2625; Percent complete: 65.6%; Average loss: 3.1036
Iteration: 2626; Percent complete: 65.6%; Average loss: 2.9663
Iteration: 2627; Percent complete: 65.7%; Average loss: 2.9626
Iteration: 2628; Percent complete: 65.7%; Average loss: 3.0234
Iteration: 2629; Percent complete: 65.7%; Average loss: 2.7564
Iteration: 2630; Percent complete: 65.8%; Average loss: 2.9828
Iteration: 2631; Percent complete: 65.8%; Average loss: 3.2029
Iteration: 2632; Percent complete: 65.8%; Average loss: 2.8343
Iteration: 2633; Percent complete: 65.8%; Average loss: 2.9868
Iteration: 2634; Percent complete: 65.8%; Average loss: 2.9560
Iteration: 2635; Percent complete: 65.9%; Average loss: 3.0715
Iteration: 2636; Percent complete: 65.9%; Average loss: 2.8318
Iteration: 2637; Percent complete: 65.9%; Average loss: 2.9095
Iteration: 2638; Percent complete: 66.0%; Average loss: 2.8454
Iteration: 2639; Percent complete: 66.0%; Average loss: 2.8593
Iteration: 2640; Percent complete: 66.0%; Average loss: 2.8928
Iteration: 2641; Percent complete: 66.0%; Average loss: 2.9163
Iteration: 2642; Percent complete: 66.0%; Average loss: 3.1145
Iteration: 2643; Percent complete: 66.1%; Average loss: 3.0744
Iteration: 2644; Percent complete: 66.1%; Average loss: 2.8781
Iteration: 2645; Percent complete: 66.1%; Average loss: 3.0570
Iteration: 2646; Percent complete: 66.1%; Average loss: 3.3235
Iteration: 2647; Percent complete: 66.2%; Average loss: 2.9633
Iteration: 2648; Percent complete: 66.2%; Average loss: 2.9050
Iteration: 2649; Percent complete: 66.2%; Average loss: 2.8698
Iteration: 2650; Percent complete: 66.2%; Average loss: 2.8490
Iteration: 2651; Percent complete: 66.3%; Average loss: 2.9195
Iteration: 2652; Percent complete: 66.3%; Average loss: 3.0968
Iteration: 2653; Percent complete: 66.3%; Average loss: 2.9293
Iteration: 2654; Percent complete: 66.3%; Average loss: 2.7274
Iteration: 2655; Percent complete: 66.4%; Average loss: 2.9432
Iteration: 2656; Percent complete: 66.4%; Average loss: 3.1166
Iteration: 2657; Percent complete: 66.4%; Average loss: 2.8584
Iteration: 2658; Percent complete: 66.5%; Average loss: 2.7500
Iteration: 2659; Percent complete: 66.5%; Average loss: 3.2703
Iteration: 2660; Percent complete: 66.5%; Average loss: 2.9834
Iteration: 2661; Percent complete: 66.5%; Average loss: 2.9655
Iteration: 2662; Percent complete: 66.5%; Average loss: 2.8467
Iteration: 2663; Percent complete: 66.6%; Average loss: 3.2178
Iteration: 2664; Percent complete: 66.6%; Average loss: 2.8971
Iteration: 2665; Percent complete: 66.6%; Average loss: 3.0395
Iteration: 2666; Percent complete: 66.6%; Average loss: 2.8249
Iteration: 2667; Percent complete: 66.7%; Average loss: 3.0085
Iteration: 2668; Percent complete: 66.7%; Average loss: 2.9004
Iteration: 2669; Percent complete: 66.7%; Average loss: 3.1649
Iteration: 2670; Percent complete: 66.8%; Average loss: 3.1562
Iteration: 2671; Percent complete: 66.8%; Average loss: 2.9184
Iteration: 2672; Percent complete: 66.8%; Average loss: 3.1032
Iteration: 2673; Percent complete: 66.8%; Average loss: 3.0888
Iteration: 2674; Percent complete: 66.8%; Average loss: 2.8317
Iteration: 2675; Percent complete: 66.9%; Average loss: 2.9724
Iteration: 2676; Percent complete: 66.9%; Average loss: 2.9121
Iteration: 2677; Percent complete: 66.9%; Average loss: 2.9129
Iteration: 2678; Percent complete: 67.0%; Average loss: 2.9668
Iteration: 2679; Percent complete: 67.0%; Average loss: 2.7696
Iteration: 2680; Percent complete: 67.0%; Average loss: 3.0946
Iteration: 2681; Percent complete: 67.0%; Average loss: 2.7426
Iteration: 2682; Percent complete: 67.0%; Average loss: 2.9502
Iteration: 2683; Percent complete: 67.1%; Average loss: 2.8924
Iteration: 2684; Percent complete: 67.1%; Average loss: 2.8852
Iteration: 2685; Percent complete: 67.1%; Average loss: 2.8607
Iteration: 2686; Percent complete: 67.2%; Average loss: 2.9043
Iteration: 2687; Percent complete: 67.2%; Average loss: 3.0698
Iteration: 2688; Percent complete: 67.2%; Average loss: 2.8653
Iteration: 2689; Percent complete: 67.2%; Average loss: 2.8867
Iteration: 2690; Percent complete: 67.2%; Average loss: 3.0410
Iteration: 2691; Percent complete: 67.3%; Average loss: 2.7022
Iteration: 2692; Percent complete: 67.3%; Average loss: 3.0649
Iteration: 2693; Percent complete: 67.3%; Average loss: 3.3158
Iteration: 2694; Percent complete: 67.3%; Average loss: 3.0730
Iteration: 2695; Percent complete: 67.4%; Average loss: 3.0550
Iteration: 2696; Percent complete: 67.4%; Average loss: 2.8791
Iteration: 2697; Percent complete: 67.4%; Average loss: 2.9386
Iteration: 2698; Percent complete: 67.5%; Average loss: 3.0820
Iteration: 2699; Percent complete: 67.5%; Average loss: 2.7433
Iteration: 2700; Percent complete: 67.5%; Average loss: 2.8782
Iteration: 2701; Percent complete: 67.5%; Average loss: 3.0007
Iteration: 2702; Percent complete: 67.5%; Average loss: 2.8095
Iteration: 2703; Percent complete: 67.6%; Average loss: 2.8077
Iteration: 2704; Percent complete: 67.6%; Average loss: 3.2514
Iteration: 2705; Percent complete: 67.6%; Average loss: 2.7673
Iteration: 2706; Percent complete: 67.7%; Average loss: 2.7808
Iteration: 2707; Percent complete: 67.7%; Average loss: 2.7488
Iteration: 2708; Percent complete: 67.7%; Average loss: 2.9326
Iteration: 2709; Percent complete: 67.7%; Average loss: 3.1439
Iteration: 2710; Percent complete: 67.8%; Average loss: 2.9556
Iteration: 2711; Percent complete: 67.8%; Average loss: 2.9719
Iteration: 2712; Percent complete: 67.8%; Average loss: 3.0304
Iteration: 2713; Percent complete: 67.8%; Average loss: 3.0553
Iteration: 2714; Percent complete: 67.8%; Average loss: 3.0895
Iteration: 2715; Percent complete: 67.9%; Average loss: 3.0544
Iteration: 2716; Percent complete: 67.9%; Average loss: 2.8719
Iteration: 2717; Percent complete: 67.9%; Average loss: 2.6776
Iteration: 2718; Percent complete: 68.0%; Average loss: 2.7846
Iteration: 2719; Percent complete: 68.0%; Average loss: 2.9028
Iteration: 2720; Percent complete: 68.0%; Average loss: 2.8959
Iteration: 2721; Percent complete: 68.0%; Average loss: 2.9405
Iteration: 2722; Percent complete: 68.0%; Average loss: 2.9827
Iteration: 2723; Percent complete: 68.1%; Average loss: 3.1206
Iteration: 2724; Percent complete: 68.1%; Average loss: 3.0879
Iteration: 2725; Percent complete: 68.1%; Average loss: 3.1221
Iteration: 2726; Percent complete: 68.2%; Average loss: 2.7824
Iteration: 2727; Percent complete: 68.2%; Average loss: 3.1151
Iteration: 2728; Percent complete: 68.2%; Average loss: 2.7681
Iteration: 2729; Percent complete: 68.2%; Average loss: 2.7994
Iteration: 2730; Percent complete: 68.2%; Average loss: 3.0747
Iteration: 2731; Percent complete: 68.3%; Average loss: 2.9255
Iteration: 2732; Percent complete: 68.3%; Average loss: 3.0598
Iteration: 2733; Percent complete: 68.3%; Average loss: 2.9445
Iteration: 2734; Percent complete: 68.3%; Average loss: 3.1235
Iteration: 2735; Percent complete: 68.4%; Average loss: 2.8147
Iteration: 2736; Percent complete: 68.4%; Average loss: 3.0549
Iteration: 2737; Percent complete: 68.4%; Average loss: 2.8914
Iteration: 2738; Percent complete: 68.5%; Average loss: 2.9006
Iteration: 2739; Percent complete: 68.5%; Average loss: 2.9811
Iteration: 2740; Percent complete: 68.5%; Average loss: 3.0554
Iteration: 2741; Percent complete: 68.5%; Average loss: 2.7102
Iteration: 2742; Percent complete: 68.5%; Average loss: 3.1127
Iteration: 2743; Percent complete: 68.6%; Average loss: 2.8395
Iteration: 2744; Percent complete: 68.6%; Average loss: 3.0426
Iteration: 2745; Percent complete: 68.6%; Average loss: 3.2195
Iteration: 2746; Percent complete: 68.7%; Average loss: 2.7951
Iteration: 2747; Percent complete: 68.7%; Average loss: 2.6335
Iteration: 2748; Percent complete: 68.7%; Average loss: 2.6825
Iteration: 2749; Percent complete: 68.7%; Average loss: 2.9490
Iteration: 2750; Percent complete: 68.8%; Average loss: 2.9127
Iteration: 2751; Percent complete: 68.8%; Average loss: 2.8418
Iteration: 2752; Percent complete: 68.8%; Average loss: 2.9978
Iteration: 2753; Percent complete: 68.8%; Average loss: 2.8898
Iteration: 2754; Percent complete: 68.8%; Average loss: 2.8743
Iteration: 2755; Percent complete: 68.9%; Average loss: 3.1482
Iteration: 2756; Percent complete: 68.9%; Average loss: 2.8078
Iteration: 2757; Percent complete: 68.9%; Average loss: 3.0546
Iteration: 2758; Percent complete: 69.0%; Average loss: 3.2398
Iteration: 2759; Percent complete: 69.0%; Average loss: 2.7876
Iteration: 2760; Percent complete: 69.0%; Average loss: 2.9099
Iteration: 2761; Percent complete: 69.0%; Average loss: 2.9742
Iteration: 2762; Percent complete: 69.0%; Average loss: 2.7947
Iteration: 2763; Percent complete: 69.1%; Average loss: 2.9694
Iteration: 2764; Percent complete: 69.1%; Average loss: 2.9114
Iteration: 2765; Percent complete: 69.1%; Average loss: 2.8902
Iteration: 2766; Percent complete: 69.2%; Average loss: 3.0257
Iteration: 2767; Percent complete: 69.2%; Average loss: 2.9635
Iteration: 2768; Percent complete: 69.2%; Average loss: 2.8082
Iteration: 2769; Percent complete: 69.2%; Average loss: 3.1896
Iteration: 2770; Percent complete: 69.2%; Average loss: 2.9996
Iteration: 2771; Percent complete: 69.3%; Average loss: 2.9273
Iteration: 2772; Percent complete: 69.3%; Average loss: 3.0062
Iteration: 2773; Percent complete: 69.3%; Average loss: 2.7759
Iteration: 2774; Percent complete: 69.3%; Average loss: 3.1070
Iteration: 2775; Percent complete: 69.4%; Average loss: 2.8619
Iteration: 2776; Percent complete: 69.4%; Average loss: 3.0420
Iteration: 2777; Percent complete: 69.4%; Average loss: 3.2784
Iteration: 2778; Percent complete: 69.5%; Average loss: 2.8826
Iteration: 2779; Percent complete: 69.5%; Average loss: 2.9824
Iteration: 2780; Percent complete: 69.5%; Average loss: 3.0457
Iteration: 2781; Percent complete: 69.5%; Average loss: 2.9222
Iteration: 2782; Percent complete: 69.5%; Average loss: 3.0646
Iteration: 2783; Percent complete: 69.6%; Average loss: 2.9140
Iteration: 2784; Percent complete: 69.6%; Average loss: 2.6562
Iteration: 2785; Percent complete: 69.6%; Average loss: 2.9070
Iteration: 2786; Percent complete: 69.7%; Average loss: 3.0755
Iteration: 2787; Percent complete: 69.7%; Average loss: 2.9940
Iteration: 2788; Percent complete: 69.7%; Average loss: 2.8461
Iteration: 2789; Percent complete: 69.7%; Average loss: 2.9480
Iteration: 2790; Percent complete: 69.8%; Average loss: 2.9594
Iteration: 2791; Percent complete: 69.8%; Average loss: 2.9341
Iteration: 2792; Percent complete: 69.8%; Average loss: 3.0254
Iteration: 2793; Percent complete: 69.8%; Average loss: 2.9167
Iteration: 2794; Percent complete: 69.8%; Average loss: 2.9465
Iteration: 2795; Percent complete: 69.9%; Average loss: 2.8743
Iteration: 2796; Percent complete: 69.9%; Average loss: 2.9117
Iteration: 2797; Percent complete: 69.9%; Average loss: 3.2015
Iteration: 2798; Percent complete: 70.0%; Average loss: 2.7843
Iteration: 2799; Percent complete: 70.0%; Average loss: 3.0293
Iteration: 2800; Percent complete: 70.0%; Average loss: 3.0951
Iteration: 2801; Percent complete: 70.0%; Average loss: 2.9626
Iteration: 2802; Percent complete: 70.0%; Average loss: 2.9205
Iteration: 2803; Percent complete: 70.1%; Average loss: 2.8125
Iteration: 2804; Percent complete: 70.1%; Average loss: 2.7392
Iteration: 2805; Percent complete: 70.1%; Average loss: 2.8031
Iteration: 2806; Percent complete: 70.2%; Average loss: 2.9675
Iteration: 2807; Percent complete: 70.2%; Average loss: 2.9515
Iteration: 2808; Percent complete: 70.2%; Average loss: 3.0757
Iteration: 2809; Percent complete: 70.2%; Average loss: 2.8839
Iteration: 2810; Percent complete: 70.2%; Average loss: 2.7906
Iteration: 2811; Percent complete: 70.3%; Average loss: 3.2244
Iteration: 2812; Percent complete: 70.3%; Average loss: 2.6140
Iteration: 2813; Percent complete: 70.3%; Average loss: 2.7531
Iteration: 2814; Percent complete: 70.3%; Average loss: 2.8367
Iteration: 2815; Percent complete: 70.4%; Average loss: 2.9569
Iteration: 2816; Percent complete: 70.4%; Average loss: 2.9903
Iteration: 2817; Percent complete: 70.4%; Average loss: 3.0846
Iteration: 2818; Percent complete: 70.5%; Average loss: 2.8841
Iteration: 2819; Percent complete: 70.5%; Average loss: 2.8650
Iteration: 2820; Percent complete: 70.5%; Average loss: 2.9057
Iteration: 2821; Percent complete: 70.5%; Average loss: 2.7892
Iteration: 2822; Percent complete: 70.5%; Average loss: 2.9489
Iteration: 2823; Percent complete: 70.6%; Average loss: 3.0968
Iteration: 2824; Percent complete: 70.6%; Average loss: 3.0708
Iteration: 2825; Percent complete: 70.6%; Average loss: 2.7201
Iteration: 2826; Percent complete: 70.7%; Average loss: 2.9573
Iteration: 2827; Percent complete: 70.7%; Average loss: 2.7941
Iteration: 2828; Percent complete: 70.7%; Average loss: 2.8532
Iteration: 2829; Percent complete: 70.7%; Average loss: 2.7891
Iteration: 2830; Percent complete: 70.8%; Average loss: 2.7781
Iteration: 2831; Percent complete: 70.8%; Average loss: 2.6710
Iteration: 2832; Percent complete: 70.8%; Average loss: 2.6284
Iteration: 2833; Percent complete: 70.8%; Average loss: 2.9706
Iteration: 2834; Percent complete: 70.9%; Average loss: 2.9891
Iteration: 2835; Percent complete: 70.9%; Average loss: 2.8630
Iteration: 2836; Percent complete: 70.9%; Average loss: 3.0558
Iteration: 2837; Percent complete: 70.9%; Average loss: 2.7696
Iteration: 2838; Percent complete: 71.0%; Average loss: 2.6886
Iteration: 2839; Percent complete: 71.0%; Average loss: 2.9026
Iteration: 2840; Percent complete: 71.0%; Average loss: 2.8591
Iteration: 2841; Percent complete: 71.0%; Average loss: 2.8959
Iteration: 2842; Percent complete: 71.0%; Average loss: 2.8299
Iteration: 2843; Percent complete: 71.1%; Average loss: 2.9024
Iteration: 2844; Percent complete: 71.1%; Average loss: 3.1709
Iteration: 2845; Percent complete: 71.1%; Average loss: 2.9145
Iteration: 2846; Percent complete: 71.2%; Average loss: 2.8721
Iteration: 2847; Percent complete: 71.2%; Average loss: 3.0639
Iteration: 2848; Percent complete: 71.2%; Average loss: 3.3353
Iteration: 2849; Percent complete: 71.2%; Average loss: 3.0940
Iteration: 2850; Percent complete: 71.2%; Average loss: 2.8169
Iteration: 2851; Percent complete: 71.3%; Average loss: 3.1152
Iteration: 2852; Percent complete: 71.3%; Average loss: 2.8771
Iteration: 2853; Percent complete: 71.3%; Average loss: 2.9900
Iteration: 2854; Percent complete: 71.4%; Average loss: 2.9821
Iteration: 2855; Percent complete: 71.4%; Average loss: 2.9358
Iteration: 2856; Percent complete: 71.4%; Average loss: 2.6983
Iteration: 2857; Percent complete: 71.4%; Average loss: 3.0686
Iteration: 2858; Percent complete: 71.5%; Average loss: 2.9238
Iteration: 2859; Percent complete: 71.5%; Average loss: 3.1082
Iteration: 2860; Percent complete: 71.5%; Average loss: 3.0648
Iteration: 2861; Percent complete: 71.5%; Average loss: 2.8562
Iteration: 2862; Percent complete: 71.5%; Average loss: 2.9882
Iteration: 2863; Percent complete: 71.6%; Average loss: 2.6252
Iteration: 2864; Percent complete: 71.6%; Average loss: 2.9538
Iteration: 2865; Percent complete: 71.6%; Average loss: 2.9662
Iteration: 2866; Percent complete: 71.7%; Average loss: 3.1893
Iteration: 2867; Percent complete: 71.7%; Average loss: 2.6218
Iteration: 2868; Percent complete: 71.7%; Average loss: 2.9435
Iteration: 2869; Percent complete: 71.7%; Average loss: 2.6733
Iteration: 2870; Percent complete: 71.8%; Average loss: 2.8963
Iteration: 2871; Percent complete: 71.8%; Average loss: 2.8152
Iteration: 2872; Percent complete: 71.8%; Average loss: 2.6616
Iteration: 2873; Percent complete: 71.8%; Average loss: 2.8985
Iteration: 2874; Percent complete: 71.9%; Average loss: 2.9902
Iteration: 2875; Percent complete: 71.9%; Average loss: 2.8392
Iteration: 2876; Percent complete: 71.9%; Average loss: 3.0029
Iteration: 2877; Percent complete: 71.9%; Average loss: 2.7611
Iteration: 2878; Percent complete: 72.0%; Average loss: 3.1603
Iteration: 2879; Percent complete: 72.0%; Average loss: 2.9143
Iteration: 2880; Percent complete: 72.0%; Average loss: 3.0136
Iteration: 2881; Percent complete: 72.0%; Average loss: 2.7483
Iteration: 2882; Percent complete: 72.0%; Average loss: 2.8610
Iteration: 2883; Percent complete: 72.1%; Average loss: 2.9196
Iteration: 2884; Percent complete: 72.1%; Average loss: 2.7021
Iteration: 2885; Percent complete: 72.1%; Average loss: 2.9741
Iteration: 2886; Percent complete: 72.2%; Average loss: 3.2149
Iteration: 2887; Percent complete: 72.2%; Average loss: 2.7229
Iteration: 2888; Percent complete: 72.2%; Average loss: 2.6749
Iteration: 2889; Percent complete: 72.2%; Average loss: 3.0247
Iteration: 2890; Percent complete: 72.2%; Average loss: 2.8048
Iteration: 2891; Percent complete: 72.3%; Average loss: 2.9130
Iteration: 2892; Percent complete: 72.3%; Average loss: 2.8509
Iteration: 2893; Percent complete: 72.3%; Average loss: 3.0682
Iteration: 2894; Percent complete: 72.4%; Average loss: 2.9543
Iteration: 2895; Percent complete: 72.4%; Average loss: 3.0436
Iteration: 2896; Percent complete: 72.4%; Average loss: 3.0019
Iteration: 2897; Percent complete: 72.4%; Average loss: 3.0627
Iteration: 2898; Percent complete: 72.5%; Average loss: 2.9176
Iteration: 2899; Percent complete: 72.5%; Average loss: 2.8614
Iteration: 2900; Percent complete: 72.5%; Average loss: 2.6289
Iteration: 2901; Percent complete: 72.5%; Average loss: 2.9923
Iteration: 2902; Percent complete: 72.5%; Average loss: 2.8430
Iteration: 2903; Percent complete: 72.6%; Average loss: 3.0348
Iteration: 2904; Percent complete: 72.6%; Average loss: 2.8685
Iteration: 2905; Percent complete: 72.6%; Average loss: 2.8195
Iteration: 2906; Percent complete: 72.7%; Average loss: 2.8648
Iteration: 2907; Percent complete: 72.7%; Average loss: 2.8561
Iteration: 2908; Percent complete: 72.7%; Average loss: 2.7407
Iteration: 2909; Percent complete: 72.7%; Average loss: 3.0288
Iteration: 2910; Percent complete: 72.8%; Average loss: 3.0303
Iteration: 2911; Percent complete: 72.8%; Average loss: 2.9643
Iteration: 2912; Percent complete: 72.8%; Average loss: 2.8101
Iteration: 2913; Percent complete: 72.8%; Average loss: 3.0072
Iteration: 2914; Percent complete: 72.9%; Average loss: 2.8923
Iteration: 2915; Percent complete: 72.9%; Average loss: 2.8951
Iteration: 2916; Percent complete: 72.9%; Average loss: 2.7703
Iteration: 2917; Percent complete: 72.9%; Average loss: 2.6967
Iteration: 2918; Percent complete: 73.0%; Average loss: 2.8120
Iteration: 2919; Percent complete: 73.0%; Average loss: 2.9272
Iteration: 2920; Percent complete: 73.0%; Average loss: 2.9091
Iteration: 2921; Percent complete: 73.0%; Average loss: 2.6439
Iteration: 2922; Percent complete: 73.0%; Average loss: 2.6103
Iteration: 2923; Percent complete: 73.1%; Average loss: 3.0579
Iteration: 2924; Percent complete: 73.1%; Average loss: 2.8544
Iteration: 2925; Percent complete: 73.1%; Average loss: 3.0620
Iteration: 2926; Percent complete: 73.2%; Average loss: 2.9944
Iteration: 2927; Percent complete: 73.2%; Average loss: 2.9545
Iteration: 2928; Percent complete: 73.2%; Average loss: 3.0009
Iteration: 2929; Percent complete: 73.2%; Average loss: 2.8920
Iteration: 2930; Percent complete: 73.2%; Average loss: 2.7379
Iteration: 2931; Percent complete: 73.3%; Average loss: 2.9110
Iteration: 2932; Percent complete: 73.3%; Average loss: 2.7232
Iteration: 2933; Percent complete: 73.3%; Average loss: 2.7950
Iteration: 2934; Percent complete: 73.4%; Average loss: 2.9480
Iteration: 2935; Percent complete: 73.4%; Average loss: 2.9616
Iteration: 2936; Percent complete: 73.4%; Average loss: 2.8102
Iteration: 2937; Percent complete: 73.4%; Average loss: 2.7982
Iteration: 2938; Percent complete: 73.5%; Average loss: 2.9261
Iteration: 2939; Percent complete: 73.5%; Average loss: 2.9329
Iteration: 2940; Percent complete: 73.5%; Average loss: 2.8161
Iteration: 2941; Percent complete: 73.5%; Average loss: 2.7643
Iteration: 2942; Percent complete: 73.6%; Average loss: 2.7250
Iteration: 2943; Percent complete: 73.6%; Average loss: 2.9141
Iteration: 2944; Percent complete: 73.6%; Average loss: 2.8056
Iteration: 2945; Percent complete: 73.6%; Average loss: 2.6789
Iteration: 2946; Percent complete: 73.7%; Average loss: 2.8571
Iteration: 2947; Percent complete: 73.7%; Average loss: 2.8744
Iteration: 2948; Percent complete: 73.7%; Average loss: 3.0484
Iteration: 2949; Percent complete: 73.7%; Average loss: 2.8419
Iteration: 2950; Percent complete: 73.8%; Average loss: 2.8445
Iteration: 2951; Percent complete: 73.8%; Average loss: 2.8615
Iteration: 2952; Percent complete: 73.8%; Average loss: 2.8932
Iteration: 2953; Percent complete: 73.8%; Average loss: 2.8929
Iteration: 2954; Percent complete: 73.9%; Average loss: 2.7387
Iteration: 2955; Percent complete: 73.9%; Average loss: 2.8154
Iteration: 2956; Percent complete: 73.9%; Average loss: 2.9137
Iteration: 2957; Percent complete: 73.9%; Average loss: 2.8613
Iteration: 2958; Percent complete: 74.0%; Average loss: 2.7544
Iteration: 2959; Percent complete: 74.0%; Average loss: 2.7841
Iteration: 2960; Percent complete: 74.0%; Average loss: 3.0120
Iteration: 2961; Percent complete: 74.0%; Average loss: 2.7403
Iteration: 2962; Percent complete: 74.1%; Average loss: 2.8092
Iteration: 2963; Percent complete: 74.1%; Average loss: 2.8859
Iteration: 2964; Percent complete: 74.1%; Average loss: 2.8531
Iteration: 2965; Percent complete: 74.1%; Average loss: 2.8948
Iteration: 2966; Percent complete: 74.2%; Average loss: 3.0568
Iteration: 2967; Percent complete: 74.2%; Average loss: 2.9606
Iteration: 2968; Percent complete: 74.2%; Average loss: 2.8867
Iteration: 2969; Percent complete: 74.2%; Average loss: 2.6950
Iteration: 2970; Percent complete: 74.2%; Average loss: 2.7489
Iteration: 2971; Percent complete: 74.3%; Average loss: 2.6619
Iteration: 2972; Percent complete: 74.3%; Average loss: 2.7879
Iteration: 2973; Percent complete: 74.3%; Average loss: 2.6973
Iteration: 2974; Percent complete: 74.4%; Average loss: 2.9602
Iteration: 2975; Percent complete: 74.4%; Average loss: 2.7573
Iteration: 2976; Percent complete: 74.4%; Average loss: 3.0266
Iteration: 2977; Percent complete: 74.4%; Average loss: 2.7791
Iteration: 2978; Percent complete: 74.5%; Average loss: 2.7894
Iteration: 2979; Percent complete: 74.5%; Average loss: 2.9642
Iteration: 2980; Percent complete: 74.5%; Average loss: 2.9086
Iteration: 2981; Percent complete: 74.5%; Average loss: 2.6700
Iteration: 2982; Percent complete: 74.6%; Average loss: 2.9523
Iteration: 2983; Percent complete: 74.6%; Average loss: 2.9926
Iteration: 2984; Percent complete: 74.6%; Average loss: 2.9863
Iteration: 2985; Percent complete: 74.6%; Average loss: 2.7920
Iteration: 2986; Percent complete: 74.7%; Average loss: 2.8665
Iteration: 2987; Percent complete: 74.7%; Average loss: 2.7284
Iteration: 2988; Percent complete: 74.7%; Average loss: 2.8053
Iteration: 2989; Percent complete: 74.7%; Average loss: 2.7932
Iteration: 2990; Percent complete: 74.8%; Average loss: 3.1154
Iteration: 2991; Percent complete: 74.8%; Average loss: 3.1234
Iteration: 2992; Percent complete: 74.8%; Average loss: 2.6985
Iteration: 2993; Percent complete: 74.8%; Average loss: 2.9484
Iteration: 2994; Percent complete: 74.9%; Average loss: 2.9259
Iteration: 2995; Percent complete: 74.9%; Average loss: 2.7773
Iteration: 2996; Percent complete: 74.9%; Average loss: 3.0154
Iteration: 2997; Percent complete: 74.9%; Average loss: 2.8044
Iteration: 2998; Percent complete: 75.0%; Average loss: 2.8836
Iteration: 2999; Percent complete: 75.0%; Average loss: 2.9732
Iteration: 3000; Percent complete: 75.0%; Average loss: 2.7993
Iteration: 3001; Percent complete: 75.0%; Average loss: 3.1044
Iteration: 3002; Percent complete: 75.0%; Average loss: 2.8704
Iteration: 3003; Percent complete: 75.1%; Average loss: 2.8239
Iteration: 3004; Percent complete: 75.1%; Average loss: 2.9176
Iteration: 3005; Percent complete: 75.1%; Average loss: 3.0150
Iteration: 3006; Percent complete: 75.1%; Average loss: 3.0751
Iteration: 3007; Percent complete: 75.2%; Average loss: 2.7675
Iteration: 3008; Percent complete: 75.2%; Average loss: 2.8131
Iteration: 3009; Percent complete: 75.2%; Average loss: 2.9463
Iteration: 3010; Percent complete: 75.2%; Average loss: 2.6920
Iteration: 3011; Percent complete: 75.3%; Average loss: 2.8759
Iteration: 3012; Percent complete: 75.3%; Average loss: 2.9311
Iteration: 3013; Percent complete: 75.3%; Average loss: 2.7934
Iteration: 3014; Percent complete: 75.3%; Average loss: 2.8264
Iteration: 3015; Percent complete: 75.4%; Average loss: 2.8866
Iteration: 3016; Percent complete: 75.4%; Average loss: 2.8832
Iteration: 3017; Percent complete: 75.4%; Average loss: 2.9428
Iteration: 3018; Percent complete: 75.4%; Average loss: 3.1014
Iteration: 3019; Percent complete: 75.5%; Average loss: 2.7410
Iteration: 3020; Percent complete: 75.5%; Average loss: 2.6668
Iteration: 3021; Percent complete: 75.5%; Average loss: 2.8947
Iteration: 3022; Percent complete: 75.5%; Average loss: 2.8265
Iteration: 3023; Percent complete: 75.6%; Average loss: 3.0000
Iteration: 3024; Percent complete: 75.6%; Average loss: 3.0795
Iteration: 3025; Percent complete: 75.6%; Average loss: 2.8474
Iteration: 3026; Percent complete: 75.6%; Average loss: 2.9612
Iteration: 3027; Percent complete: 75.7%; Average loss: 2.9162
Iteration: 3028; Percent complete: 75.7%; Average loss: 2.7433
Iteration: 3029; Percent complete: 75.7%; Average loss: 2.8377
Iteration: 3030; Percent complete: 75.8%; Average loss: 2.7100
Iteration: 3031; Percent complete: 75.8%; Average loss: 2.7832
Iteration: 3032; Percent complete: 75.8%; Average loss: 3.0014
Iteration: 3033; Percent complete: 75.8%; Average loss: 2.7911
Iteration: 3034; Percent complete: 75.8%; Average loss: 2.9399
Iteration: 3035; Percent complete: 75.9%; Average loss: 2.7191
Iteration: 3036; Percent complete: 75.9%; Average loss: 2.6248
Iteration: 3037; Percent complete: 75.9%; Average loss: 2.9834
Iteration: 3038; Percent complete: 75.9%; Average loss: 2.5381
Iteration: 3039; Percent complete: 76.0%; Average loss: 2.9511
Iteration: 3040; Percent complete: 76.0%; Average loss: 2.7596
Iteration: 3041; Percent complete: 76.0%; Average loss: 2.8539
Iteration: 3042; Percent complete: 76.0%; Average loss: 2.7345
Iteration: 3043; Percent complete: 76.1%; Average loss: 2.8000
Iteration: 3044; Percent complete: 76.1%; Average loss: 3.1173
Iteration: 3045; Percent complete: 76.1%; Average loss: 3.0153
Iteration: 3046; Percent complete: 76.1%; Average loss: 3.0969
Iteration: 3047; Percent complete: 76.2%; Average loss: 2.8149
Iteration: 3048; Percent complete: 76.2%; Average loss: 2.5901
Iteration: 3049; Percent complete: 76.2%; Average loss: 3.1450
Iteration: 3050; Percent complete: 76.2%; Average loss: 3.0698
Iteration: 3051; Percent complete: 76.3%; Average loss: 3.1109
Iteration: 3052; Percent complete: 76.3%; Average loss: 2.7742
Iteration: 3053; Percent complete: 76.3%; Average loss: 2.9603
Iteration: 3054; Percent complete: 76.3%; Average loss: 2.9431
Iteration: 3055; Percent complete: 76.4%; Average loss: 2.7563
Iteration: 3056; Percent complete: 76.4%; Average loss: 3.1053
Iteration: 3057; Percent complete: 76.4%; Average loss: 2.9639
Iteration: 3058; Percent complete: 76.4%; Average loss: 2.8387
Iteration: 3059; Percent complete: 76.5%; Average loss: 2.8261
Iteration: 3060; Percent complete: 76.5%; Average loss: 2.7028
Iteration: 3061; Percent complete: 76.5%; Average loss: 3.0517
Iteration: 3062; Percent complete: 76.5%; Average loss: 2.8267
Iteration: 3063; Percent complete: 76.6%; Average loss: 2.8930
Iteration: 3064; Percent complete: 76.6%; Average loss: 2.8264
Iteration: 3065; Percent complete: 76.6%; Average loss: 2.8451
Iteration: 3066; Percent complete: 76.6%; Average loss: 2.9071
Iteration: 3067; Percent complete: 76.7%; Average loss: 2.8535
Iteration: 3068; Percent complete: 76.7%; Average loss: 2.8607
Iteration: 3069; Percent complete: 76.7%; Average loss: 2.7689
Iteration: 3070; Percent complete: 76.8%; Average loss: 2.8153
Iteration: 3071; Percent complete: 76.8%; Average loss: 2.7807
Iteration: 3072; Percent complete: 76.8%; Average loss: 3.0885
Iteration: 3073; Percent complete: 76.8%; Average loss: 2.9902
Iteration: 3074; Percent complete: 76.8%; Average loss: 2.7556
Iteration: 3075; Percent complete: 76.9%; Average loss: 2.8640
Iteration: 3076; Percent complete: 76.9%; Average loss: 2.7935
Iteration: 3077; Percent complete: 76.9%; Average loss: 2.7838
Iteration: 3078; Percent complete: 77.0%; Average loss: 2.8710
Iteration: 3079; Percent complete: 77.0%; Average loss: 3.0341
Iteration: 3080; Percent complete: 77.0%; Average loss: 2.8232
Iteration: 3081; Percent complete: 77.0%; Average loss: 2.9745
Iteration: 3082; Percent complete: 77.0%; Average loss: 2.5881
Iteration: 3083; Percent complete: 77.1%; Average loss: 2.9823
Iteration: 3084; Percent complete: 77.1%; Average loss: 3.0082
Iteration: 3085; Percent complete: 77.1%; Average loss: 2.9272
Iteration: 3086; Percent complete: 77.1%; Average loss: 2.8465
Iteration: 3087; Percent complete: 77.2%; Average loss: 2.8885
Iteration: 3088; Percent complete: 77.2%; Average loss: 2.9076
Iteration: 3089; Percent complete: 77.2%; Average loss: 2.7184
Iteration: 3090; Percent complete: 77.2%; Average loss: 2.7772
Iteration: 3091; Percent complete: 77.3%; Average loss: 2.7749
Iteration: 3092; Percent complete: 77.3%; Average loss: 2.6662
Iteration: 3093; Percent complete: 77.3%; Average loss: 2.9185
Iteration: 3094; Percent complete: 77.3%; Average loss: 2.5967
Iteration: 3095; Percent complete: 77.4%; Average loss: 2.8026
Iteration: 3096; Percent complete: 77.4%; Average loss: 2.8096
Iteration: 3097; Percent complete: 77.4%; Average loss: 2.7836
Iteration: 3098; Percent complete: 77.5%; Average loss: 2.8528
Iteration: 3099; Percent complete: 77.5%; Average loss: 2.6560
Iteration: 3100; Percent complete: 77.5%; Average loss: 2.9554
Iteration: 3101; Percent complete: 77.5%; Average loss: 2.6517
Iteration: 3102; Percent complete: 77.5%; Average loss: 2.7956
Iteration: 3103; Percent complete: 77.6%; Average loss: 2.7963
Iteration: 3104; Percent complete: 77.6%; Average loss: 2.8285
Iteration: 3105; Percent complete: 77.6%; Average loss: 3.0297
Iteration: 3106; Percent complete: 77.6%; Average loss: 3.1148
Iteration: 3107; Percent complete: 77.7%; Average loss: 2.8265
Iteration: 3108; Percent complete: 77.7%; Average loss: 2.7341
Iteration: 3109; Percent complete: 77.7%; Average loss: 3.1045
Iteration: 3110; Percent complete: 77.8%; Average loss: 2.7320
Iteration: 3111; Percent complete: 77.8%; Average loss: 2.7691
Iteration: 3112; Percent complete: 77.8%; Average loss: 3.0339
Iteration: 3113; Percent complete: 77.8%; Average loss: 3.0107
Iteration: 3114; Percent complete: 77.8%; Average loss: 2.8423
Iteration: 3115; Percent complete: 77.9%; Average loss: 2.9165
Iteration: 3116; Percent complete: 77.9%; Average loss: 2.8750
Iteration: 3117; Percent complete: 77.9%; Average loss: 2.8987
Iteration: 3118; Percent complete: 78.0%; Average loss: 2.8055
Iteration: 3119; Percent complete: 78.0%; Average loss: 2.8115
Iteration: 3120; Percent complete: 78.0%; Average loss: 3.1088
Iteration: 3121; Percent complete: 78.0%; Average loss: 2.9039
Iteration: 3122; Percent complete: 78.0%; Average loss: 2.9049
Iteration: 3123; Percent complete: 78.1%; Average loss: 2.6430
Iteration: 3124; Percent complete: 78.1%; Average loss: 3.0117
Iteration: 3125; Percent complete: 78.1%; Average loss: 2.9770
Iteration: 3126; Percent complete: 78.1%; Average loss: 2.9957
Iteration: 3127; Percent complete: 78.2%; Average loss: 2.6074
Iteration: 3128; Percent complete: 78.2%; Average loss: 2.9341
Iteration: 3129; Percent complete: 78.2%; Average loss: 2.7663
Iteration: 3130; Percent complete: 78.2%; Average loss: 2.9554
Iteration: 3131; Percent complete: 78.3%; Average loss: 2.8068
Iteration: 3132; Percent complete: 78.3%; Average loss: 2.6935
Iteration: 3133; Percent complete: 78.3%; Average loss: 2.6578
Iteration: 3134; Percent complete: 78.3%; Average loss: 2.9148
Iteration: 3135; Percent complete: 78.4%; Average loss: 2.6786
Iteration: 3136; Percent complete: 78.4%; Average loss: 2.5666
Iteration: 3137; Percent complete: 78.4%; Average loss: 2.8599
Iteration: 3138; Percent complete: 78.5%; Average loss: 2.9458
Iteration: 3139; Percent complete: 78.5%; Average loss: 2.7857
Iteration: 3140; Percent complete: 78.5%; Average loss: 2.8923
Iteration: 3141; Percent complete: 78.5%; Average loss: 2.6976
Iteration: 3142; Percent complete: 78.5%; Average loss: 2.6865
Iteration: 3143; Percent complete: 78.6%; Average loss: 2.7382
Iteration: 3144; Percent complete: 78.6%; Average loss: 2.9762
Iteration: 3145; Percent complete: 78.6%; Average loss: 2.8355
Iteration: 3146; Percent complete: 78.6%; Average loss: 3.0216
Iteration: 3147; Percent complete: 78.7%; Average loss: 2.7948
Iteration: 3148; Percent complete: 78.7%; Average loss: 2.8544
Iteration: 3149; Percent complete: 78.7%; Average loss: 2.7316
Iteration: 3150; Percent complete: 78.8%; Average loss: 2.9165
Iteration: 3151; Percent complete: 78.8%; Average loss: 2.9211
Iteration: 3152; Percent complete: 78.8%; Average loss: 2.9653
Iteration: 3153; Percent complete: 78.8%; Average loss: 2.8347
Iteration: 3154; Percent complete: 78.8%; Average loss: 2.9858
Iteration: 3155; Percent complete: 78.9%; Average loss: 2.7176
Iteration: 3156; Percent complete: 78.9%; Average loss: 2.7528
Iteration: 3157; Percent complete: 78.9%; Average loss: 3.1188
Iteration: 3158; Percent complete: 79.0%; Average loss: 2.5663
Iteration: 3159; Percent complete: 79.0%; Average loss: 2.9449
Iteration: 3160; Percent complete: 79.0%; Average loss: 2.7530
Iteration: 3161; Percent complete: 79.0%; Average loss: 2.8399
Iteration: 3162; Percent complete: 79.0%; Average loss: 3.2985
Iteration: 3163; Percent complete: 79.1%; Average loss: 2.9301
Iteration: 3164; Percent complete: 79.1%; Average loss: 2.6637
Iteration: 3165; Percent complete: 79.1%; Average loss: 2.7045
Iteration: 3166; Percent complete: 79.1%; Average loss: 2.8900
Iteration: 3167; Percent complete: 79.2%; Average loss: 2.6923
Iteration: 3168; Percent complete: 79.2%; Average loss: 2.5795
Iteration: 3169; Percent complete: 79.2%; Average loss: 2.7656
Iteration: 3170; Percent complete: 79.2%; Average loss: 2.8473
Iteration: 3171; Percent complete: 79.3%; Average loss: 2.9080
Iteration: 3172; Percent complete: 79.3%; Average loss: 2.8052
Iteration: 3173; Percent complete: 79.3%; Average loss: 2.7224
Iteration: 3174; Percent complete: 79.3%; Average loss: 2.5648
Iteration: 3175; Percent complete: 79.4%; Average loss: 2.7666
Iteration: 3176; Percent complete: 79.4%; Average loss: 2.9724
Iteration: 3177; Percent complete: 79.4%; Average loss: 2.7957
Iteration: 3178; Percent complete: 79.5%; Average loss: 2.8311
Iteration: 3179; Percent complete: 79.5%; Average loss: 2.7437
Iteration: 3180; Percent complete: 79.5%; Average loss: 2.9950
Iteration: 3181; Percent complete: 79.5%; Average loss: 2.6415
Iteration: 3182; Percent complete: 79.5%; Average loss: 2.9666
Iteration: 3183; Percent complete: 79.6%; Average loss: 3.0290
Iteration: 3184; Percent complete: 79.6%; Average loss: 2.7572
Iteration: 3185; Percent complete: 79.6%; Average loss: 2.8581
Iteration: 3186; Percent complete: 79.7%; Average loss: 3.0495
Iteration: 3187; Percent complete: 79.7%; Average loss: 2.8792
Iteration: 3188; Percent complete: 79.7%; Average loss: 2.7159
Iteration: 3189; Percent complete: 79.7%; Average loss: 2.9504
Iteration: 3190; Percent complete: 79.8%; Average loss: 2.9040
Iteration: 3191; Percent complete: 79.8%; Average loss: 2.7167
Iteration: 3192; Percent complete: 79.8%; Average loss: 2.8964
Iteration: 3193; Percent complete: 79.8%; Average loss: 2.6603
Iteration: 3194; Percent complete: 79.8%; Average loss: 2.7996
Iteration: 3195; Percent complete: 79.9%; Average loss: 2.7987
Iteration: 3196; Percent complete: 79.9%; Average loss: 2.8479
Iteration: 3197; Percent complete: 79.9%; Average loss: 3.0114
Iteration: 3198; Percent complete: 80.0%; Average loss: 2.8091
Iteration: 3199; Percent complete: 80.0%; Average loss: 2.6335
Iteration: 3200; Percent complete: 80.0%; Average loss: 2.6201
Iteration: 3201; Percent complete: 80.0%; Average loss: 2.9129
Iteration: 3202; Percent complete: 80.0%; Average loss: 2.9757
Iteration: 3203; Percent complete: 80.1%; Average loss: 2.7614
Iteration: 3204; Percent complete: 80.1%; Average loss: 3.1641
Iteration: 3205; Percent complete: 80.1%; Average loss: 2.7689
Iteration: 3206; Percent complete: 80.2%; Average loss: 2.8796
Iteration: 3207; Percent complete: 80.2%; Average loss: 2.8723
Iteration: 3208; Percent complete: 80.2%; Average loss: 2.6510
Iteration: 3209; Percent complete: 80.2%; Average loss: 2.8413
Iteration: 3210; Percent complete: 80.2%; Average loss: 2.7540
Iteration: 3211; Percent complete: 80.3%; Average loss: 2.8536
Iteration: 3212; Percent complete: 80.3%; Average loss: 2.5323
Iteration: 3213; Percent complete: 80.3%; Average loss: 2.9514
Iteration: 3214; Percent complete: 80.3%; Average loss: 2.5464
Iteration: 3215; Percent complete: 80.4%; Average loss: 2.9310
Iteration: 3216; Percent complete: 80.4%; Average loss: 2.7329
Iteration: 3217; Percent complete: 80.4%; Average loss: 2.5559
Iteration: 3218; Percent complete: 80.5%; Average loss: 2.8247
Iteration: 3219; Percent complete: 80.5%; Average loss: 2.8464
Iteration: 3220; Percent complete: 80.5%; Average loss: 2.4650
Iteration: 3221; Percent complete: 80.5%; Average loss: 2.7416
Iteration: 3222; Percent complete: 80.5%; Average loss: 2.9438
Iteration: 3223; Percent complete: 80.6%; Average loss: 2.7301
Iteration: 3224; Percent complete: 80.6%; Average loss: 2.7274
Iteration: 3225; Percent complete: 80.6%; Average loss: 2.5662
Iteration: 3226; Percent complete: 80.7%; Average loss: 2.6867
Iteration: 3227; Percent complete: 80.7%; Average loss: 2.5962
Iteration: 3228; Percent complete: 80.7%; Average loss: 2.9836
Iteration: 3229; Percent complete: 80.7%; Average loss: 2.6726
Iteration: 3230; Percent complete: 80.8%; Average loss: 2.8723
Iteration: 3231; Percent complete: 80.8%; Average loss: 2.8328
Iteration: 3232; Percent complete: 80.8%; Average loss: 2.9643
Iteration: 3233; Percent complete: 80.8%; Average loss: 3.0691
Iteration: 3234; Percent complete: 80.8%; Average loss: 2.8341
Iteration: 3235; Percent complete: 80.9%; Average loss: 3.0982
Iteration: 3236; Percent complete: 80.9%; Average loss: 2.8489
Iteration: 3237; Percent complete: 80.9%; Average loss: 2.7634
Iteration: 3238; Percent complete: 81.0%; Average loss: 2.9341
Iteration: 3239; Percent complete: 81.0%; Average loss: 2.9705
Iteration: 3240; Percent complete: 81.0%; Average loss: 2.7992
Iteration: 3241; Percent complete: 81.0%; Average loss: 2.8269
Iteration: 3242; Percent complete: 81.0%; Average loss: 2.9029
Iteration: 3243; Percent complete: 81.1%; Average loss: 2.9529
Iteration: 3244; Percent complete: 81.1%; Average loss: 2.7734
Iteration: 3245; Percent complete: 81.1%; Average loss: 2.6991
Iteration: 3246; Percent complete: 81.2%; Average loss: 2.6425
Iteration: 3247; Percent complete: 81.2%; Average loss: 2.9727
Iteration: 3248; Percent complete: 81.2%; Average loss: 2.7435
Iteration: 3249; Percent complete: 81.2%; Average loss: 2.8245
Iteration: 3250; Percent complete: 81.2%; Average loss: 2.8026
Iteration: 3251; Percent complete: 81.3%; Average loss: 2.5128
Iteration: 3252; Percent complete: 81.3%; Average loss: 2.6677
Iteration: 3253; Percent complete: 81.3%; Average loss: 2.9724
Iteration: 3254; Percent complete: 81.3%; Average loss: 2.8968
Iteration: 3255; Percent complete: 81.4%; Average loss: 2.7063
Iteration: 3256; Percent complete: 81.4%; Average loss: 2.6654
Iteration: 3257; Percent complete: 81.4%; Average loss: 2.6968
Iteration: 3258; Percent complete: 81.5%; Average loss: 2.9196
Iteration: 3259; Percent complete: 81.5%; Average loss: 2.9278
Iteration: 3260; Percent complete: 81.5%; Average loss: 2.6990
Iteration: 3261; Percent complete: 81.5%; Average loss: 2.7102
Iteration: 3262; Percent complete: 81.5%; Average loss: 3.1066
Iteration: 3263; Percent complete: 81.6%; Average loss: 2.7625
Iteration: 3264; Percent complete: 81.6%; Average loss: 2.7670
Iteration: 3265; Percent complete: 81.6%; Average loss: 2.9031
Iteration: 3266; Percent complete: 81.7%; Average loss: 2.7971
Iteration: 3267; Percent complete: 81.7%; Average loss: 2.6848
Iteration: 3268; Percent complete: 81.7%; Average loss: 2.6306
Iteration: 3269; Percent complete: 81.7%; Average loss: 2.8184
Iteration: 3270; Percent complete: 81.8%; Average loss: 2.9330
Iteration: 3271; Percent complete: 81.8%; Average loss: 3.0662
Iteration: 3272; Percent complete: 81.8%; Average loss: 2.6712
Iteration: 3273; Percent complete: 81.8%; Average loss: 2.7720
Iteration: 3274; Percent complete: 81.8%; Average loss: 2.7515
Iteration: 3275; Percent complete: 81.9%; Average loss: 2.7384
Iteration: 3276; Percent complete: 81.9%; Average loss: 2.7829
Iteration: 3277; Percent complete: 81.9%; Average loss: 2.7914
Iteration: 3278; Percent complete: 82.0%; Average loss: 2.8250
Iteration: 3279; Percent complete: 82.0%; Average loss: 3.1124
Iteration: 3280; Percent complete: 82.0%; Average loss: 2.8349
Iteration: 3281; Percent complete: 82.0%; Average loss: 2.8092
Iteration: 3282; Percent complete: 82.0%; Average loss: 2.7231
Iteration: 3283; Percent complete: 82.1%; Average loss: 2.6647
Iteration: 3284; Percent complete: 82.1%; Average loss: 2.6646
Iteration: 3285; Percent complete: 82.1%; Average loss: 2.7617
Iteration: 3286; Percent complete: 82.2%; Average loss: 2.8091
Iteration: 3287; Percent complete: 82.2%; Average loss: 3.0227
Iteration: 3288; Percent complete: 82.2%; Average loss: 2.8781
Iteration: 3289; Percent complete: 82.2%; Average loss: 2.8705
Iteration: 3290; Percent complete: 82.2%; Average loss: 2.6962
Iteration: 3291; Percent complete: 82.3%; Average loss: 2.6927
Iteration: 3292; Percent complete: 82.3%; Average loss: 2.7662
Iteration: 3293; Percent complete: 82.3%; Average loss: 2.8474
Iteration: 3294; Percent complete: 82.3%; Average loss: 2.7416
Iteration: 3295; Percent complete: 82.4%; Average loss: 2.5873
Iteration: 3296; Percent complete: 82.4%; Average loss: 2.5941
Iteration: 3297; Percent complete: 82.4%; Average loss: 2.7432
Iteration: 3298; Percent complete: 82.5%; Average loss: 2.8957
Iteration: 3299; Percent complete: 82.5%; Average loss: 2.7234
Iteration: 3300; Percent complete: 82.5%; Average loss: 2.6839
Iteration: 3301; Percent complete: 82.5%; Average loss: 2.6306
Iteration: 3302; Percent complete: 82.5%; Average loss: 2.9207
Iteration: 3303; Percent complete: 82.6%; Average loss: 2.5350
Iteration: 3304; Percent complete: 82.6%; Average loss: 2.9458
Iteration: 3305; Percent complete: 82.6%; Average loss: 3.0637
Iteration: 3306; Percent complete: 82.7%; Average loss: 2.8858
Iteration: 3307; Percent complete: 82.7%; Average loss: 2.8709
Iteration: 3308; Percent complete: 82.7%; Average loss: 2.6401
Iteration: 3309; Percent complete: 82.7%; Average loss: 2.8794
Iteration: 3310; Percent complete: 82.8%; Average loss: 2.5311
Iteration: 3311; Percent complete: 82.8%; Average loss: 2.7201
Iteration: 3312; Percent complete: 82.8%; Average loss: 2.8068
Iteration: 3313; Percent complete: 82.8%; Average loss: 2.7814
Iteration: 3314; Percent complete: 82.8%; Average loss: 2.8040
Iteration: 3315; Percent complete: 82.9%; Average loss: 2.7649
Iteration: 3316; Percent complete: 82.9%; Average loss: 2.8372
Iteration: 3317; Percent complete: 82.9%; Average loss: 2.7279
Iteration: 3318; Percent complete: 83.0%; Average loss: 2.8234
Iteration: 3319; Percent complete: 83.0%; Average loss: 2.6399
Iteration: 3320; Percent complete: 83.0%; Average loss: 2.6136
Iteration: 3321; Percent complete: 83.0%; Average loss: 2.9917
Iteration: 3322; Percent complete: 83.0%; Average loss: 2.8353
Iteration: 3323; Percent complete: 83.1%; Average loss: 2.9697
Iteration: 3324; Percent complete: 83.1%; Average loss: 2.8312
Iteration: 3325; Percent complete: 83.1%; Average loss: 2.7014
Iteration: 3326; Percent complete: 83.2%; Average loss: 2.7354
Iteration: 3327; Percent complete: 83.2%; Average loss: 2.8063
Iteration: 3328; Percent complete: 83.2%; Average loss: 2.7622
Iteration: 3329; Percent complete: 83.2%; Average loss: 2.6374
Iteration: 3330; Percent complete: 83.2%; Average loss: 2.9640
Iteration: 3331; Percent complete: 83.3%; Average loss: 2.9195
Iteration: 3332; Percent complete: 83.3%; Average loss: 2.7341
Iteration: 3333; Percent complete: 83.3%; Average loss: 2.9181
Iteration: 3334; Percent complete: 83.4%; Average loss: 3.0001
Iteration: 3335; Percent complete: 83.4%; Average loss: 2.5704
Iteration: 3336; Percent complete: 83.4%; Average loss: 2.7670
Iteration: 3337; Percent complete: 83.4%; Average loss: 3.0102
Iteration: 3338; Percent complete: 83.5%; Average loss: 3.0015
Iteration: 3339; Percent complete: 83.5%; Average loss: 2.9785
Iteration: 3340; Percent complete: 83.5%; Average loss: 2.5777
Iteration: 3341; Percent complete: 83.5%; Average loss: 2.6608
Iteration: 3342; Percent complete: 83.5%; Average loss: 2.8387
Iteration: 3343; Percent complete: 83.6%; Average loss: 2.8887
Iteration: 3344; Percent complete: 83.6%; Average loss: 2.7040
Iteration: 3345; Percent complete: 83.6%; Average loss: 2.4543
Iteration: 3346; Percent complete: 83.7%; Average loss: 2.6600
Iteration: 3347; Percent complete: 83.7%; Average loss: 2.8544
Iteration: 3348; Percent complete: 83.7%; Average loss: 2.8301
Iteration: 3349; Percent complete: 83.7%; Average loss: 2.6627
Iteration: 3350; Percent complete: 83.8%; Average loss: 2.7118
Iteration: 3351; Percent complete: 83.8%; Average loss: 2.8580
Iteration: 3352; Percent complete: 83.8%; Average loss: 2.6594
Iteration: 3353; Percent complete: 83.8%; Average loss: 2.8427
Iteration: 3354; Percent complete: 83.9%; Average loss: 2.8640
Iteration: 3355; Percent complete: 83.9%; Average loss: 3.0006
Iteration: 3356; Percent complete: 83.9%; Average loss: 2.7160
Iteration: 3357; Percent complete: 83.9%; Average loss: 2.6093
Iteration: 3358; Percent complete: 84.0%; Average loss: 2.4686
Iteration: 3359; Percent complete: 84.0%; Average loss: 2.7779
Iteration: 3360; Percent complete: 84.0%; Average loss: 2.6537
Iteration: 3361; Percent complete: 84.0%; Average loss: 2.9217
Iteration: 3362; Percent complete: 84.0%; Average loss: 2.6838
Iteration: 3363; Percent complete: 84.1%; Average loss: 2.9486
Iteration: 3364; Percent complete: 84.1%; Average loss: 2.9124
Iteration: 3365; Percent complete: 84.1%; Average loss: 2.7175
Iteration: 3366; Percent complete: 84.2%; Average loss: 2.5489
Iteration: 3367; Percent complete: 84.2%; Average loss: 2.8122
Iteration: 3368; Percent complete: 84.2%; Average loss: 2.6309
Iteration: 3369; Percent complete: 84.2%; Average loss: 2.8272
Iteration: 3370; Percent complete: 84.2%; Average loss: 2.8081
Iteration: 3371; Percent complete: 84.3%; Average loss: 2.8249
Iteration: 3372; Percent complete: 84.3%; Average loss: 2.5808
Iteration: 3373; Percent complete: 84.3%; Average loss: 2.4542
Iteration: 3374; Percent complete: 84.4%; Average loss: 3.0317
Iteration: 3375; Percent complete: 84.4%; Average loss: 2.9501
Iteration: 3376; Percent complete: 84.4%; Average loss: 2.7251
Iteration: 3377; Percent complete: 84.4%; Average loss: 2.8406
Iteration: 3378; Percent complete: 84.5%; Average loss: 2.8520
Iteration: 3379; Percent complete: 84.5%; Average loss: 3.0128
Iteration: 3380; Percent complete: 84.5%; Average loss: 2.8905
Iteration: 3381; Percent complete: 84.5%; Average loss: 2.7043
Iteration: 3382; Percent complete: 84.5%; Average loss: 2.6567
Iteration: 3383; Percent complete: 84.6%; Average loss: 2.6741
Iteration: 3384; Percent complete: 84.6%; Average loss: 2.6841
Iteration: 3385; Percent complete: 84.6%; Average loss: 2.8206
Iteration: 3386; Percent complete: 84.7%; Average loss: 2.6849
Iteration: 3387; Percent complete: 84.7%; Average loss: 2.7942
Iteration: 3388; Percent complete: 84.7%; Average loss: 2.7730
Iteration: 3389; Percent complete: 84.7%; Average loss: 2.7243
Iteration: 3390; Percent complete: 84.8%; Average loss: 2.7005
Iteration: 3391; Percent complete: 84.8%; Average loss: 2.8008
Iteration: 3392; Percent complete: 84.8%; Average loss: 2.7538
Iteration: 3393; Percent complete: 84.8%; Average loss: 2.7261
Iteration: 3394; Percent complete: 84.9%; Average loss: 2.8078
Iteration: 3395; Percent complete: 84.9%; Average loss: 2.6884
Iteration: 3396; Percent complete: 84.9%; Average loss: 2.7609
Iteration: 3397; Percent complete: 84.9%; Average loss: 2.8402
Iteration: 3398; Percent complete: 85.0%; Average loss: 2.8479
Iteration: 3399; Percent complete: 85.0%; Average loss: 2.9441
Iteration: 3400; Percent complete: 85.0%; Average loss: 2.6275
Iteration: 3401; Percent complete: 85.0%; Average loss: 2.7454
Iteration: 3402; Percent complete: 85.0%; Average loss: 2.7641
Iteration: 3403; Percent complete: 85.1%; Average loss: 2.6251
Iteration: 3404; Percent complete: 85.1%; Average loss: 2.9977
Iteration: 3405; Percent complete: 85.1%; Average loss: 2.6762
Iteration: 3406; Percent complete: 85.2%; Average loss: 2.7647
Iteration: 3407; Percent complete: 85.2%; Average loss: 2.7801
Iteration: 3408; Percent complete: 85.2%; Average loss: 2.6257
Iteration: 3409; Percent complete: 85.2%; Average loss: 2.8504
Iteration: 3410; Percent complete: 85.2%; Average loss: 2.9762
Iteration: 3411; Percent complete: 85.3%; Average loss: 2.7821
Iteration: 3412; Percent complete: 85.3%; Average loss: 2.8137
Iteration: 3413; Percent complete: 85.3%; Average loss: 2.7158
Iteration: 3414; Percent complete: 85.4%; Average loss: 2.8936
Iteration: 3415; Percent complete: 85.4%; Average loss: 2.7128
Iteration: 3416; Percent complete: 85.4%; Average loss: 2.9192
Iteration: 3417; Percent complete: 85.4%; Average loss: 2.5748
Iteration: 3418; Percent complete: 85.5%; Average loss: 3.0189
Iteration: 3419; Percent complete: 85.5%; Average loss: 2.9613
Iteration: 3420; Percent complete: 85.5%; Average loss: 2.7359
Iteration: 3421; Percent complete: 85.5%; Average loss: 2.6894
Iteration: 3422; Percent complete: 85.5%; Average loss: 2.4673
Iteration: 3423; Percent complete: 85.6%; Average loss: 2.8060
Iteration: 3424; Percent complete: 85.6%; Average loss: 2.8362
Iteration: 3425; Percent complete: 85.6%; Average loss: 2.8416
Iteration: 3426; Percent complete: 85.7%; Average loss: 2.9434
Iteration: 3427; Percent complete: 85.7%; Average loss: 2.7841
Iteration: 3428; Percent complete: 85.7%; Average loss: 2.7941
Iteration: 3429; Percent complete: 85.7%; Average loss: 2.7591
Iteration: 3430; Percent complete: 85.8%; Average loss: 2.7978
Iteration: 3431; Percent complete: 85.8%; Average loss: 2.6894
Iteration: 3432; Percent complete: 85.8%; Average loss: 2.8059
Iteration: 3433; Percent complete: 85.8%; Average loss: 2.7056
Iteration: 3434; Percent complete: 85.9%; Average loss: 2.7979
Iteration: 3435; Percent complete: 85.9%; Average loss: 2.8222
Iteration: 3436; Percent complete: 85.9%; Average loss: 2.7221
Iteration: 3437; Percent complete: 85.9%; Average loss: 2.8269
Iteration: 3438; Percent complete: 86.0%; Average loss: 2.7619
Iteration: 3439; Percent complete: 86.0%; Average loss: 2.6954
Iteration: 3440; Percent complete: 86.0%; Average loss: 2.7342
Iteration: 3441; Percent complete: 86.0%; Average loss: 2.9668
Iteration: 3442; Percent complete: 86.1%; Average loss: 2.8340
Iteration: 3443; Percent complete: 86.1%; Average loss: 2.8783
Iteration: 3444; Percent complete: 86.1%; Average loss: 2.7978
Iteration: 3445; Percent complete: 86.1%; Average loss: 2.7969
Iteration: 3446; Percent complete: 86.2%; Average loss: 2.7947
Iteration: 3447; Percent complete: 86.2%; Average loss: 2.7640
Iteration: 3448; Percent complete: 86.2%; Average loss: 2.7069
Iteration: 3449; Percent complete: 86.2%; Average loss: 2.5747
Iteration: 3450; Percent complete: 86.2%; Average loss: 2.5763
Iteration: 3451; Percent complete: 86.3%; Average loss: 2.9958
Iteration: 3452; Percent complete: 86.3%; Average loss: 2.7438
Iteration: 3453; Percent complete: 86.3%; Average loss: 2.8209
Iteration: 3454; Percent complete: 86.4%; Average loss: 2.6579
Iteration: 3455; Percent complete: 86.4%; Average loss: 2.7865
Iteration: 3456; Percent complete: 86.4%; Average loss: 2.7894
Iteration: 3457; Percent complete: 86.4%; Average loss: 2.7852
Iteration: 3458; Percent complete: 86.5%; Average loss: 2.6406
Iteration: 3459; Percent complete: 86.5%; Average loss: 2.8113
Iteration: 3460; Percent complete: 86.5%; Average loss: 2.6777
Iteration: 3461; Percent complete: 86.5%; Average loss: 2.8652
Iteration: 3462; Percent complete: 86.6%; Average loss: 2.9419
Iteration: 3463; Percent complete: 86.6%; Average loss: 2.6674
Iteration: 3464; Percent complete: 86.6%; Average loss: 2.6148
Iteration: 3465; Percent complete: 86.6%; Average loss: 2.9730
Iteration: 3466; Percent complete: 86.7%; Average loss: 2.7268
Iteration: 3467; Percent complete: 86.7%; Average loss: 2.7514
Iteration: 3468; Percent complete: 86.7%; Average loss: 2.5048
Iteration: 3469; Percent complete: 86.7%; Average loss: 2.6969
Iteration: 3470; Percent complete: 86.8%; Average loss: 2.5568
Iteration: 3471; Percent complete: 86.8%; Average loss: 3.0939
Iteration: 3472; Percent complete: 86.8%; Average loss: 2.8317
Iteration: 3473; Percent complete: 86.8%; Average loss: 2.4853
Iteration: 3474; Percent complete: 86.9%; Average loss: 2.6207
Iteration: 3475; Percent complete: 86.9%; Average loss: 2.7366
Iteration: 3476; Percent complete: 86.9%; Average loss: 2.8473
Iteration: 3477; Percent complete: 86.9%; Average loss: 2.6913
Iteration: 3478; Percent complete: 87.0%; Average loss: 2.7843
Iteration: 3479; Percent complete: 87.0%; Average loss: 2.7438
Iteration: 3480; Percent complete: 87.0%; Average loss: 2.8205
Iteration: 3481; Percent complete: 87.0%; Average loss: 2.6463
Iteration: 3482; Percent complete: 87.1%; Average loss: 2.9049
Iteration: 3483; Percent complete: 87.1%; Average loss: 2.7200
Iteration: 3484; Percent complete: 87.1%; Average loss: 2.8326
Iteration: 3485; Percent complete: 87.1%; Average loss: 2.7935
Iteration: 3486; Percent complete: 87.2%; Average loss: 2.7320
Iteration: 3487; Percent complete: 87.2%; Average loss: 2.8405
Iteration: 3488; Percent complete: 87.2%; Average loss: 3.0643
Iteration: 3489; Percent complete: 87.2%; Average loss: 2.6291
Iteration: 3490; Percent complete: 87.2%; Average loss: 2.4360
Iteration: 3491; Percent complete: 87.3%; Average loss: 2.6724
Iteration: 3492; Percent complete: 87.3%; Average loss: 2.6195
Iteration: 3493; Percent complete: 87.3%; Average loss: 2.7421
Iteration: 3494; Percent complete: 87.4%; Average loss: 2.6286
Iteration: 3495; Percent complete: 87.4%; Average loss: 2.5878
Iteration: 3496; Percent complete: 87.4%; Average loss: 2.5880
Iteration: 3497; Percent complete: 87.4%; Average loss: 2.6576
Iteration: 3498; Percent complete: 87.5%; Average loss: 2.5430
Iteration: 3499; Percent complete: 87.5%; Average loss: 2.7486
Iteration: 3500; Percent complete: 87.5%; Average loss: 2.6540
Iteration: 3501; Percent complete: 87.5%; Average loss: 2.7358
Iteration: 3502; Percent complete: 87.5%; Average loss: 2.7784
Iteration: 3503; Percent complete: 87.6%; Average loss: 2.7546
Iteration: 3504; Percent complete: 87.6%; Average loss: 2.7635
Iteration: 3505; Percent complete: 87.6%; Average loss: 2.8325
Iteration: 3506; Percent complete: 87.6%; Average loss: 2.7811
Iteration: 3507; Percent complete: 87.7%; Average loss: 2.9428
Iteration: 3508; Percent complete: 87.7%; Average loss: 2.7477
Iteration: 3509; Percent complete: 87.7%; Average loss: 2.6992
Iteration: 3510; Percent complete: 87.8%; Average loss: 2.8571
Iteration: 3511; Percent complete: 87.8%; Average loss: 2.8581
Iteration: 3512; Percent complete: 87.8%; Average loss: 2.5016
Iteration: 3513; Percent complete: 87.8%; Average loss: 2.8038
Iteration: 3514; Percent complete: 87.8%; Average loss: 2.6174
Iteration: 3515; Percent complete: 87.9%; Average loss: 2.6492
Iteration: 3516; Percent complete: 87.9%; Average loss: 2.5916
Iteration: 3517; Percent complete: 87.9%; Average loss: 2.7356
Iteration: 3518; Percent complete: 87.9%; Average loss: 2.8404
Iteration: 3519; Percent complete: 88.0%; Average loss: 2.8233
Iteration: 3520; Percent complete: 88.0%; Average loss: 2.9301
Iteration: 3521; Percent complete: 88.0%; Average loss: 2.8673
Iteration: 3522; Percent complete: 88.0%; Average loss: 3.1197
Iteration: 3523; Percent complete: 88.1%; Average loss: 2.7417
Iteration: 3524; Percent complete: 88.1%; Average loss: 2.8827
Iteration: 3525; Percent complete: 88.1%; Average loss: 2.6214
Iteration: 3526; Percent complete: 88.1%; Average loss: 2.8216
Iteration: 3527; Percent complete: 88.2%; Average loss: 2.7618
Iteration: 3528; Percent complete: 88.2%; Average loss: 2.7298
Iteration: 3529; Percent complete: 88.2%; Average loss: 2.7481
Iteration: 3530; Percent complete: 88.2%; Average loss: 2.9159
Iteration: 3531; Percent complete: 88.3%; Average loss: 2.7689
Iteration: 3532; Percent complete: 88.3%; Average loss: 2.5743
Iteration: 3533; Percent complete: 88.3%; Average loss: 2.8361
Iteration: 3534; Percent complete: 88.3%; Average loss: 2.6972
Iteration: 3535; Percent complete: 88.4%; Average loss: 2.7211
Iteration: 3536; Percent complete: 88.4%; Average loss: 2.9420
Iteration: 3537; Percent complete: 88.4%; Average loss: 2.5381
Iteration: 3538; Percent complete: 88.4%; Average loss: 2.6287
Iteration: 3539; Percent complete: 88.5%; Average loss: 2.8688
Iteration: 3540; Percent complete: 88.5%; Average loss: 2.6720
Iteration: 3541; Percent complete: 88.5%; Average loss: 2.8883
Iteration: 3542; Percent complete: 88.5%; Average loss: 2.6298
Iteration: 3543; Percent complete: 88.6%; Average loss: 2.9324
Iteration: 3544; Percent complete: 88.6%; Average loss: 2.5466
Iteration: 3545; Percent complete: 88.6%; Average loss: 2.7889
Iteration: 3546; Percent complete: 88.6%; Average loss: 2.7260
Iteration: 3547; Percent complete: 88.7%; Average loss: 2.8515
Iteration: 3548; Percent complete: 88.7%; Average loss: 2.9707
Iteration: 3549; Percent complete: 88.7%; Average loss: 2.8209
Iteration: 3550; Percent complete: 88.8%; Average loss: 2.8574
Iteration: 3551; Percent complete: 88.8%; Average loss: 2.8424
Iteration: 3552; Percent complete: 88.8%; Average loss: 2.8555
Iteration: 3553; Percent complete: 88.8%; Average loss: 2.8244
Iteration: 3554; Percent complete: 88.8%; Average loss: 2.8595
Iteration: 3555; Percent complete: 88.9%; Average loss: 2.8489
Iteration: 3556; Percent complete: 88.9%; Average loss: 2.6429
Iteration: 3557; Percent complete: 88.9%; Average loss: 2.6543
Iteration: 3558; Percent complete: 88.9%; Average loss: 2.5886
Iteration: 3559; Percent complete: 89.0%; Average loss: 3.0218
Iteration: 3560; Percent complete: 89.0%; Average loss: 2.6869
Iteration: 3561; Percent complete: 89.0%; Average loss: 2.8213
Iteration: 3562; Percent complete: 89.0%; Average loss: 2.8434
Iteration: 3563; Percent complete: 89.1%; Average loss: 2.8572
Iteration: 3564; Percent complete: 89.1%; Average loss: 2.6884
Iteration: 3565; Percent complete: 89.1%; Average loss: 2.8288
Iteration: 3566; Percent complete: 89.1%; Average loss: 2.7240
Iteration: 3567; Percent complete: 89.2%; Average loss: 2.9716
Iteration: 3568; Percent complete: 89.2%; Average loss: 2.6135
Iteration: 3569; Percent complete: 89.2%; Average loss: 2.7171
Iteration: 3570; Percent complete: 89.2%; Average loss: 2.8323
Iteration: 3571; Percent complete: 89.3%; Average loss: 2.9131
Iteration: 3572; Percent complete: 89.3%; Average loss: 2.8392
Iteration: 3573; Percent complete: 89.3%; Average loss: 3.0153
Iteration: 3574; Percent complete: 89.3%; Average loss: 2.9378
Iteration: 3575; Percent complete: 89.4%; Average loss: 2.7176
Iteration: 3576; Percent complete: 89.4%; Average loss: 2.9498
Iteration: 3577; Percent complete: 89.4%; Average loss: 2.6886
Iteration: 3578; Percent complete: 89.5%; Average loss: 2.6738
Iteration: 3579; Percent complete: 89.5%; Average loss: 2.6686
Iteration: 3580; Percent complete: 89.5%; Average loss: 2.9970
Iteration: 3581; Percent complete: 89.5%; Average loss: 2.6540
Iteration: 3582; Percent complete: 89.5%; Average loss: 2.7801
Iteration: 3583; Percent complete: 89.6%; Average loss: 2.6233
Iteration: 3584; Percent complete: 89.6%; Average loss: 2.7683
Iteration: 3585; Percent complete: 89.6%; Average loss: 2.7934
Iteration: 3586; Percent complete: 89.6%; Average loss: 2.4151
Iteration: 3587; Percent complete: 89.7%; Average loss: 2.7533
Iteration: 3588; Percent complete: 89.7%; Average loss: 2.6971
Iteration: 3589; Percent complete: 89.7%; Average loss: 2.6075
Iteration: 3590; Percent complete: 89.8%; Average loss: 2.7205
Iteration: 3591; Percent complete: 89.8%; Average loss: 2.7282
Iteration: 3592; Percent complete: 89.8%; Average loss: 2.7266
Iteration: 3593; Percent complete: 89.8%; Average loss: 2.8160
Iteration: 3594; Percent complete: 89.8%; Average loss: 2.8874
Iteration: 3595; Percent complete: 89.9%; Average loss: 2.7980
Iteration: 3596; Percent complete: 89.9%; Average loss: 3.0276
Iteration: 3597; Percent complete: 89.9%; Average loss: 2.6229
Iteration: 3598; Percent complete: 90.0%; Average loss: 2.8474
Iteration: 3599; Percent complete: 90.0%; Average loss: 2.7071
Iteration: 3600; Percent complete: 90.0%; Average loss: 2.7491
Iteration: 3601; Percent complete: 90.0%; Average loss: 2.5452
Iteration: 3602; Percent complete: 90.0%; Average loss: 2.6027
Iteration: 3603; Percent complete: 90.1%; Average loss: 2.8040
Iteration: 3604; Percent complete: 90.1%; Average loss: 2.7917
Iteration: 3605; Percent complete: 90.1%; Average loss: 2.7463
Iteration: 3606; Percent complete: 90.1%; Average loss: 2.6440
Iteration: 3607; Percent complete: 90.2%; Average loss: 2.5612
Iteration: 3608; Percent complete: 90.2%; Average loss: 2.5646
Iteration: 3609; Percent complete: 90.2%; Average loss: 2.7144
Iteration: 3610; Percent complete: 90.2%; Average loss: 2.8114
Iteration: 3611; Percent complete: 90.3%; Average loss: 2.9276
Iteration: 3612; Percent complete: 90.3%; Average loss: 2.6421
Iteration: 3613; Percent complete: 90.3%; Average loss: 2.7137
Iteration: 3614; Percent complete: 90.3%; Average loss: 2.6158
Iteration: 3615; Percent complete: 90.4%; Average loss: 2.8649
Iteration: 3616; Percent complete: 90.4%; Average loss: 2.8882
Iteration: 3617; Percent complete: 90.4%; Average loss: 2.8421
Iteration: 3618; Percent complete: 90.5%; Average loss: 2.7221
Iteration: 3619; Percent complete: 90.5%; Average loss: 2.8083
Iteration: 3620; Percent complete: 90.5%; Average loss: 2.7061
Iteration: 3621; Percent complete: 90.5%; Average loss: 2.6450
Iteration: 3622; Percent complete: 90.5%; Average loss: 2.6892
Iteration: 3623; Percent complete: 90.6%; Average loss: 2.6552
Iteration: 3624; Percent complete: 90.6%; Average loss: 2.9621
Iteration: 3625; Percent complete: 90.6%; Average loss: 2.6898
Iteration: 3626; Percent complete: 90.6%; Average loss: 2.6291
Iteration: 3627; Percent complete: 90.7%; Average loss: 2.8643
Iteration: 3628; Percent complete: 90.7%; Average loss: 2.6236
Iteration: 3629; Percent complete: 90.7%; Average loss: 2.7455
Iteration: 3630; Percent complete: 90.8%; Average loss: 2.5929
Iteration: 3631; Percent complete: 90.8%; Average loss: 2.6702
Iteration: 3632; Percent complete: 90.8%; Average loss: 2.5975
Iteration: 3633; Percent complete: 90.8%; Average loss: 2.4614
Iteration: 3634; Percent complete: 90.8%; Average loss: 2.8241
Iteration: 3635; Percent complete: 90.9%; Average loss: 2.8862
Iteration: 3636; Percent complete: 90.9%; Average loss: 2.6832
Iteration: 3637; Percent complete: 90.9%; Average loss: 2.7149
Iteration: 3638; Percent complete: 91.0%; Average loss: 2.8846
Iteration: 3639; Percent complete: 91.0%; Average loss: 2.7813
Iteration: 3640; Percent complete: 91.0%; Average loss: 2.7328
Iteration: 3641; Percent complete: 91.0%; Average loss: 2.6974
Iteration: 3642; Percent complete: 91.0%; Average loss: 2.6331
Iteration: 3643; Percent complete: 91.1%; Average loss: 2.8018
Iteration: 3644; Percent complete: 91.1%; Average loss: 2.6013
Iteration: 3645; Percent complete: 91.1%; Average loss: 2.8440
Iteration: 3646; Percent complete: 91.1%; Average loss: 2.5241
Iteration: 3647; Percent complete: 91.2%; Average loss: 2.6191
Iteration: 3648; Percent complete: 91.2%; Average loss: 2.7166
Iteration: 3649; Percent complete: 91.2%; Average loss: 2.8159
Iteration: 3650; Percent complete: 91.2%; Average loss: 2.5176
Iteration: 3651; Percent complete: 91.3%; Average loss: 2.9361
Iteration: 3652; Percent complete: 91.3%; Average loss: 2.8951
Iteration: 3653; Percent complete: 91.3%; Average loss: 2.7844
Iteration: 3654; Percent complete: 91.3%; Average loss: 2.5875
Iteration: 3655; Percent complete: 91.4%; Average loss: 2.6426
Iteration: 3656; Percent complete: 91.4%; Average loss: 2.7012
Iteration: 3657; Percent complete: 91.4%; Average loss: 2.4056
Iteration: 3658; Percent complete: 91.5%; Average loss: 2.9315
Iteration: 3659; Percent complete: 91.5%; Average loss: 2.6184
Iteration: 3660; Percent complete: 91.5%; Average loss: 2.5767
Iteration: 3661; Percent complete: 91.5%; Average loss: 2.8200
Iteration: 3662; Percent complete: 91.5%; Average loss: 2.5012
Iteration: 3663; Percent complete: 91.6%; Average loss: 2.6502
Iteration: 3664; Percent complete: 91.6%; Average loss: 2.7140
Iteration: 3665; Percent complete: 91.6%; Average loss: 2.7434
Iteration: 3666; Percent complete: 91.6%; Average loss: 2.8486
Iteration: 3667; Percent complete: 91.7%; Average loss: 2.7296
Iteration: 3668; Percent complete: 91.7%; Average loss: 2.5517
Iteration: 3669; Percent complete: 91.7%; Average loss: 2.6550
Iteration: 3670; Percent complete: 91.8%; Average loss: 2.5560
Iteration: 3671; Percent complete: 91.8%; Average loss: 2.7329
Iteration: 3672; Percent complete: 91.8%; Average loss: 2.7265
Iteration: 3673; Percent complete: 91.8%; Average loss: 2.8570
Iteration: 3674; Percent complete: 91.8%; Average loss: 2.7540
Iteration: 3675; Percent complete: 91.9%; Average loss: 2.8823
Iteration: 3676; Percent complete: 91.9%; Average loss: 2.6204
Iteration: 3677; Percent complete: 91.9%; Average loss: 2.8654
Iteration: 3678; Percent complete: 92.0%; Average loss: 2.6180
Iteration: 3679; Percent complete: 92.0%; Average loss: 2.6137
Iteration: 3680; Percent complete: 92.0%; Average loss: 2.7887
Iteration: 3681; Percent complete: 92.0%; Average loss: 2.6914
Iteration: 3682; Percent complete: 92.0%; Average loss: 2.7950
Iteration: 3683; Percent complete: 92.1%; Average loss: 2.6615
Iteration: 3684; Percent complete: 92.1%; Average loss: 2.7374
Iteration: 3685; Percent complete: 92.1%; Average loss: 2.8305
Iteration: 3686; Percent complete: 92.2%; Average loss: 2.7329
Iteration: 3687; Percent complete: 92.2%; Average loss: 2.8024
Iteration: 3688; Percent complete: 92.2%; Average loss: 2.7833
Iteration: 3689; Percent complete: 92.2%; Average loss: 2.6601
Iteration: 3690; Percent complete: 92.2%; Average loss: 2.5707
Iteration: 3691; Percent complete: 92.3%; Average loss: 2.8041
Iteration: 3692; Percent complete: 92.3%; Average loss: 2.7245
Iteration: 3693; Percent complete: 92.3%; Average loss: 2.7587
Iteration: 3694; Percent complete: 92.3%; Average loss: 2.6364
Iteration: 3695; Percent complete: 92.4%; Average loss: 2.6664
Iteration: 3696; Percent complete: 92.4%; Average loss: 2.7493
Iteration: 3697; Percent complete: 92.4%; Average loss: 2.5499
Iteration: 3698; Percent complete: 92.5%; Average loss: 2.9226
Iteration: 3699; Percent complete: 92.5%; Average loss: 2.6194
Iteration: 3700; Percent complete: 92.5%; Average loss: 2.4456
Iteration: 3701; Percent complete: 92.5%; Average loss: 2.8020
Iteration: 3702; Percent complete: 92.5%; Average loss: 2.5509
Iteration: 3703; Percent complete: 92.6%; Average loss: 2.6658
Iteration: 3704; Percent complete: 92.6%; Average loss: 2.9112
Iteration: 3705; Percent complete: 92.6%; Average loss: 2.8620
Iteration: 3706; Percent complete: 92.7%; Average loss: 2.7320
Iteration: 3707; Percent complete: 92.7%; Average loss: 2.6320
Iteration: 3708; Percent complete: 92.7%; Average loss: 2.8494
Iteration: 3709; Percent complete: 92.7%; Average loss: 2.4434
Iteration: 3710; Percent complete: 92.8%; Average loss: 2.6614
Iteration: 3711; Percent complete: 92.8%; Average loss: 2.6836
Iteration: 3712; Percent complete: 92.8%; Average loss: 2.6986
Iteration: 3713; Percent complete: 92.8%; Average loss: 2.7161
Iteration: 3714; Percent complete: 92.8%; Average loss: 2.6335
Iteration: 3715; Percent complete: 92.9%; Average loss: 2.7436
Iteration: 3716; Percent complete: 92.9%; Average loss: 2.5050
Iteration: 3717; Percent complete: 92.9%; Average loss: 2.7759
Iteration: 3718; Percent complete: 93.0%; Average loss: 2.6901
Iteration: 3719; Percent complete: 93.0%; Average loss: 2.7930
Iteration: 3720; Percent complete: 93.0%; Average loss: 2.4716
Iteration: 3721; Percent complete: 93.0%; Average loss: 2.7041
Iteration: 3722; Percent complete: 93.0%; Average loss: 2.7141
Iteration: 3723; Percent complete: 93.1%; Average loss: 2.4301
Iteration: 3724; Percent complete: 93.1%; Average loss: 2.5717
Iteration: 3725; Percent complete: 93.1%; Average loss: 2.5468
Iteration: 3726; Percent complete: 93.2%; Average loss: 2.7746
Iteration: 3727; Percent complete: 93.2%; Average loss: 2.6512
Iteration: 3728; Percent complete: 93.2%; Average loss: 2.7202
Iteration: 3729; Percent complete: 93.2%; Average loss: 2.7710
Iteration: 3730; Percent complete: 93.2%; Average loss: 2.7387
Iteration: 3731; Percent complete: 93.3%; Average loss: 2.7778
Iteration: 3732; Percent complete: 93.3%; Average loss: 2.9172
Iteration: 3733; Percent complete: 93.3%; Average loss: 2.8958
Iteration: 3734; Percent complete: 93.3%; Average loss: 2.7275
Iteration: 3735; Percent complete: 93.4%; Average loss: 2.6928
Iteration: 3736; Percent complete: 93.4%; Average loss: 2.7314
Iteration: 3737; Percent complete: 93.4%; Average loss: 2.6571
Iteration: 3738; Percent complete: 93.5%; Average loss: 2.6362
Iteration: 3739; Percent complete: 93.5%; Average loss: 2.6795
Iteration: 3740; Percent complete: 93.5%; Average loss: 2.6395
Iteration: 3741; Percent complete: 93.5%; Average loss: 2.9843
Iteration: 3742; Percent complete: 93.5%; Average loss: 2.8502
Iteration: 3743; Percent complete: 93.6%; Average loss: 2.7175
Iteration: 3744; Percent complete: 93.6%; Average loss: 2.8744
Iteration: 3745; Percent complete: 93.6%; Average loss: 2.8351
Iteration: 3746; Percent complete: 93.7%; Average loss: 3.0965
Iteration: 3747; Percent complete: 93.7%; Average loss: 2.6851
Iteration: 3748; Percent complete: 93.7%; Average loss: 2.7016
Iteration: 3749; Percent complete: 93.7%; Average loss: 2.7167
Iteration: 3750; Percent complete: 93.8%; Average loss: 2.5060
Iteration: 3751; Percent complete: 93.8%; Average loss: 2.6625
Iteration: 3752; Percent complete: 93.8%; Average loss: 2.5024
Iteration: 3753; Percent complete: 93.8%; Average loss: 2.5866
Iteration: 3754; Percent complete: 93.8%; Average loss: 2.7177
Iteration: 3755; Percent complete: 93.9%; Average loss: 2.6248
Iteration: 3756; Percent complete: 93.9%; Average loss: 2.5598
Iteration: 3757; Percent complete: 93.9%; Average loss: 2.6220
Iteration: 3758; Percent complete: 94.0%; Average loss: 2.4954
Iteration: 3759; Percent complete: 94.0%; Average loss: 2.5927
Iteration: 3760; Percent complete: 94.0%; Average loss: 2.6954
Iteration: 3761; Percent complete: 94.0%; Average loss: 2.7878
Iteration: 3762; Percent complete: 94.0%; Average loss: 2.7712
Iteration: 3763; Percent complete: 94.1%; Average loss: 2.5674
Iteration: 3764; Percent complete: 94.1%; Average loss: 2.5651
Iteration: 3765; Percent complete: 94.1%; Average loss: 2.8357
Iteration: 3766; Percent complete: 94.2%; Average loss: 2.6720
Iteration: 3767; Percent complete: 94.2%; Average loss: 2.8659
Iteration: 3768; Percent complete: 94.2%; Average loss: 2.7919
Iteration: 3769; Percent complete: 94.2%; Average loss: 2.5890
Iteration: 3770; Percent complete: 94.2%; Average loss: 2.9183
Iteration: 3771; Percent complete: 94.3%; Average loss: 2.6160
Iteration: 3772; Percent complete: 94.3%; Average loss: 2.7438
Iteration: 3773; Percent complete: 94.3%; Average loss: 2.6444
Iteration: 3774; Percent complete: 94.3%; Average loss: 2.5684
Iteration: 3775; Percent complete: 94.4%; Average loss: 2.5629
Iteration: 3776; Percent complete: 94.4%; Average loss: 2.6663
Iteration: 3777; Percent complete: 94.4%; Average loss: 2.8947
Iteration: 3778; Percent complete: 94.5%; Average loss: 2.4919
Iteration: 3779; Percent complete: 94.5%; Average loss: 2.6648
Iteration: 3780; Percent complete: 94.5%; Average loss: 2.5744
Iteration: 3781; Percent complete: 94.5%; Average loss: 2.7069
Iteration: 3782; Percent complete: 94.5%; Average loss: 2.5091
Iteration: 3783; Percent complete: 94.6%; Average loss: 2.5981
Iteration: 3784; Percent complete: 94.6%; Average loss: 2.7390
Iteration: 3785; Percent complete: 94.6%; Average loss: 2.6476
Iteration: 3786; Percent complete: 94.7%; Average loss: 2.3744
Iteration: 3787; Percent complete: 94.7%; Average loss: 2.6536
Iteration: 3788; Percent complete: 94.7%; Average loss: 2.6431
Iteration: 3789; Percent complete: 94.7%; Average loss: 2.5650
Iteration: 3790; Percent complete: 94.8%; Average loss: 2.6413
Iteration: 3791; Percent complete: 94.8%; Average loss: 2.6611
Iteration: 3792; Percent complete: 94.8%; Average loss: 2.5789
Iteration: 3793; Percent complete: 94.8%; Average loss: 2.8893
Iteration: 3794; Percent complete: 94.8%; Average loss: 2.8486
Iteration: 3795; Percent complete: 94.9%; Average loss: 2.6323
Iteration: 3796; Percent complete: 94.9%; Average loss: 2.4173
Iteration: 3797; Percent complete: 94.9%; Average loss: 2.4898
Iteration: 3798; Percent complete: 95.0%; Average loss: 2.9259
Iteration: 3799; Percent complete: 95.0%; Average loss: 2.5320
Iteration: 3800; Percent complete: 95.0%; Average loss: 2.7141
Iteration: 3801; Percent complete: 95.0%; Average loss: 2.7161
Iteration: 3802; Percent complete: 95.0%; Average loss: 2.7169
Iteration: 3803; Percent complete: 95.1%; Average loss: 2.8710
Iteration: 3804; Percent complete: 95.1%; Average loss: 2.6128
Iteration: 3805; Percent complete: 95.1%; Average loss: 2.5669
Iteration: 3806; Percent complete: 95.2%; Average loss: 2.6151
Iteration: 3807; Percent complete: 95.2%; Average loss: 2.6108
Iteration: 3808; Percent complete: 95.2%; Average loss: 2.5967
Iteration: 3809; Percent complete: 95.2%; Average loss: 2.7011
Iteration: 3810; Percent complete: 95.2%; Average loss: 2.6232
Iteration: 3811; Percent complete: 95.3%; Average loss: 2.5139
Iteration: 3812; Percent complete: 95.3%; Average loss: 2.7332
Iteration: 3813; Percent complete: 95.3%; Average loss: 2.6448
Iteration: 3814; Percent complete: 95.3%; Average loss: 2.7564
Iteration: 3815; Percent complete: 95.4%; Average loss: 2.4473
Iteration: 3816; Percent complete: 95.4%; Average loss: 2.4220
Iteration: 3817; Percent complete: 95.4%; Average loss: 2.7806
Iteration: 3818; Percent complete: 95.5%; Average loss: 2.7714
Iteration: 3819; Percent complete: 95.5%; Average loss: 2.5110
Iteration: 3820; Percent complete: 95.5%; Average loss: 2.6423
Iteration: 3821; Percent complete: 95.5%; Average loss: 2.7381
Iteration: 3822; Percent complete: 95.5%; Average loss: 2.9371
Iteration: 3823; Percent complete: 95.6%; Average loss: 2.8160
Iteration: 3824; Percent complete: 95.6%; Average loss: 2.6727
Iteration: 3825; Percent complete: 95.6%; Average loss: 2.6519
Iteration: 3826; Percent complete: 95.7%; Average loss: 2.6533
Iteration: 3827; Percent complete: 95.7%; Average loss: 2.6819
Iteration: 3828; Percent complete: 95.7%; Average loss: 2.7563
Iteration: 3829; Percent complete: 95.7%; Average loss: 2.5642
Iteration: 3830; Percent complete: 95.8%; Average loss: 2.5743
Iteration: 3831; Percent complete: 95.8%; Average loss: 2.5598
Iteration: 3832; Percent complete: 95.8%; Average loss: 2.5927
Iteration: 3833; Percent complete: 95.8%; Average loss: 2.7053
Iteration: 3834; Percent complete: 95.9%; Average loss: 2.6236
Iteration: 3835; Percent complete: 95.9%; Average loss: 2.6861
Iteration: 3836; Percent complete: 95.9%; Average loss: 2.7369
Iteration: 3837; Percent complete: 95.9%; Average loss: 2.5999
Iteration: 3838; Percent complete: 96.0%; Average loss: 2.5331
Iteration: 3839; Percent complete: 96.0%; Average loss: 2.6920
Iteration: 3840; Percent complete: 96.0%; Average loss: 2.8016
Iteration: 3841; Percent complete: 96.0%; Average loss: 2.6591
Iteration: 3842; Percent complete: 96.0%; Average loss: 2.5767
Iteration: 3843; Percent complete: 96.1%; Average loss: 2.9560
Iteration: 3844; Percent complete: 96.1%; Average loss: 2.7719
Iteration: 3845; Percent complete: 96.1%; Average loss: 2.6476
Iteration: 3846; Percent complete: 96.2%; Average loss: 2.6330
Iteration: 3847; Percent complete: 96.2%; Average loss: 2.5491
Iteration: 3848; Percent complete: 96.2%; Average loss: 2.9100
Iteration: 3849; Percent complete: 96.2%; Average loss: 2.8778
Iteration: 3850; Percent complete: 96.2%; Average loss: 2.5302
Iteration: 3851; Percent complete: 96.3%; Average loss: 2.6615
Iteration: 3852; Percent complete: 96.3%; Average loss: 2.7009
Iteration: 3853; Percent complete: 96.3%; Average loss: 2.5278
Iteration: 3854; Percent complete: 96.4%; Average loss: 2.7816
Iteration: 3855; Percent complete: 96.4%; Average loss: 2.6849
Iteration: 3856; Percent complete: 96.4%; Average loss: 2.6721
Iteration: 3857; Percent complete: 96.4%; Average loss: 2.7071
Iteration: 3858; Percent complete: 96.5%; Average loss: 2.7185
Iteration: 3859; Percent complete: 96.5%; Average loss: 2.5067
Iteration: 3860; Percent complete: 96.5%; Average loss: 2.7299
Iteration: 3861; Percent complete: 96.5%; Average loss: 2.6219
Iteration: 3862; Percent complete: 96.5%; Average loss: 2.5811
Iteration: 3863; Percent complete: 96.6%; Average loss: 2.5671
Iteration: 3864; Percent complete: 96.6%; Average loss: 2.5319
Iteration: 3865; Percent complete: 96.6%; Average loss: 2.6825
Iteration: 3866; Percent complete: 96.7%; Average loss: 2.7015
Iteration: 3867; Percent complete: 96.7%; Average loss: 2.6941
Iteration: 3868; Percent complete: 96.7%; Average loss: 2.9638
Iteration: 3869; Percent complete: 96.7%; Average loss: 2.6729
Iteration: 3870; Percent complete: 96.8%; Average loss: 2.6100
Iteration: 3871; Percent complete: 96.8%; Average loss: 2.6922
Iteration: 3872; Percent complete: 96.8%; Average loss: 2.9067
Iteration: 3873; Percent complete: 96.8%; Average loss: 2.5232
Iteration: 3874; Percent complete: 96.9%; Average loss: 2.5613
Iteration: 3875; Percent complete: 96.9%; Average loss: 2.5321
Iteration: 3876; Percent complete: 96.9%; Average loss: 2.8355
Iteration: 3877; Percent complete: 96.9%; Average loss: 2.5749
Iteration: 3878; Percent complete: 97.0%; Average loss: 2.6892
Iteration: 3879; Percent complete: 97.0%; Average loss: 2.5967
Iteration: 3880; Percent complete: 97.0%; Average loss: 2.6129
Iteration: 3881; Percent complete: 97.0%; Average loss: 2.9454
Iteration: 3882; Percent complete: 97.0%; Average loss: 2.5790
Iteration: 3883; Percent complete: 97.1%; Average loss: 2.6690
Iteration: 3884; Percent complete: 97.1%; Average loss: 2.6556
Iteration: 3885; Percent complete: 97.1%; Average loss: 2.7182
Iteration: 3886; Percent complete: 97.2%; Average loss: 2.8113
Iteration: 3887; Percent complete: 97.2%; Average loss: 2.6417
Iteration: 3888; Percent complete: 97.2%; Average loss: 2.4952
Iteration: 3889; Percent complete: 97.2%; Average loss: 2.6198
Iteration: 3890; Percent complete: 97.2%; Average loss: 2.8451
Iteration: 3891; Percent complete: 97.3%; Average loss: 2.7395
Iteration: 3892; Percent complete: 97.3%; Average loss: 2.7124
Iteration: 3893; Percent complete: 97.3%; Average loss: 2.6676
Iteration: 3894; Percent complete: 97.4%; Average loss: 2.5765
Iteration: 3895; Percent complete: 97.4%; Average loss: 2.6871
Iteration: 3896; Percent complete: 97.4%; Average loss: 2.7238
Iteration: 3897; Percent complete: 97.4%; Average loss: 2.7702
Iteration: 3898; Percent complete: 97.5%; Average loss: 2.7679
Iteration: 3899; Percent complete: 97.5%; Average loss: 2.5921
Iteration: 3900; Percent complete: 97.5%; Average loss: 2.4785
Iteration: 3901; Percent complete: 97.5%; Average loss: 2.8586
Iteration: 3902; Percent complete: 97.5%; Average loss: 2.5930
Iteration: 3903; Percent complete: 97.6%; Average loss: 2.6293
Iteration: 3904; Percent complete: 97.6%; Average loss: 2.4092
Iteration: 3905; Percent complete: 97.6%; Average loss: 2.5905
Iteration: 3906; Percent complete: 97.7%; Average loss: 2.6294
Iteration: 3907; Percent complete: 97.7%; Average loss: 2.6624
Iteration: 3908; Percent complete: 97.7%; Average loss: 2.8040
Iteration: 3909; Percent complete: 97.7%; Average loss: 2.6974
Iteration: 3910; Percent complete: 97.8%; Average loss: 2.4762
Iteration: 3911; Percent complete: 97.8%; Average loss: 2.7463
Iteration: 3912; Percent complete: 97.8%; Average loss: 2.6333
Iteration: 3913; Percent complete: 97.8%; Average loss: 2.7380
Iteration: 3914; Percent complete: 97.9%; Average loss: 2.4506
Iteration: 3915; Percent complete: 97.9%; Average loss: 2.6015
Iteration: 3916; Percent complete: 97.9%; Average loss: 2.3890
Iteration: 3917; Percent complete: 97.9%; Average loss: 2.6414
Iteration: 3918; Percent complete: 98.0%; Average loss: 2.5285
Iteration: 3919; Percent complete: 98.0%; Average loss: 2.6436
Iteration: 3920; Percent complete: 98.0%; Average loss: 2.7883
Iteration: 3921; Percent complete: 98.0%; Average loss: 2.7723
Iteration: 3922; Percent complete: 98.0%; Average loss: 2.5040
Iteration: 3923; Percent complete: 98.1%; Average loss: 2.8011
Iteration: 3924; Percent complete: 98.1%; Average loss: 2.8037
Iteration: 3925; Percent complete: 98.1%; Average loss: 2.4714
Iteration: 3926; Percent complete: 98.2%; Average loss: 2.6462
Iteration: 3927; Percent complete: 98.2%; Average loss: 2.5547
Iteration: 3928; Percent complete: 98.2%; Average loss: 2.5709
Iteration: 3929; Percent complete: 98.2%; Average loss: 2.6091
Iteration: 3930; Percent complete: 98.2%; Average loss: 2.7459
Iteration: 3931; Percent complete: 98.3%; Average loss: 2.8081
Iteration: 3932; Percent complete: 98.3%; Average loss: 2.5680
Iteration: 3933; Percent complete: 98.3%; Average loss: 2.7092
Iteration: 3934; Percent complete: 98.4%; Average loss: 3.1697
Iteration: 3935; Percent complete: 98.4%; Average loss: 2.6108
Iteration: 3936; Percent complete: 98.4%; Average loss: 2.6062
Iteration: 3937; Percent complete: 98.4%; Average loss: 2.6175
Iteration: 3938; Percent complete: 98.5%; Average loss: 2.5756
Iteration: 3939; Percent complete: 98.5%; Average loss: 2.5644
Iteration: 3940; Percent complete: 98.5%; Average loss: 2.7237
Iteration: 3941; Percent complete: 98.5%; Average loss: 2.7629
Iteration: 3942; Percent complete: 98.6%; Average loss: 2.7440
Iteration: 3943; Percent complete: 98.6%; Average loss: 2.5196
Iteration: 3944; Percent complete: 98.6%; Average loss: 2.5450
Iteration: 3945; Percent complete: 98.6%; Average loss: 2.5053
Iteration: 3946; Percent complete: 98.7%; Average loss: 2.6381
Iteration: 3947; Percent complete: 98.7%; Average loss: 2.5570
Iteration: 3948; Percent complete: 98.7%; Average loss: 2.6373
Iteration: 3949; Percent complete: 98.7%; Average loss: 2.7162
Iteration: 3950; Percent complete: 98.8%; Average loss: 2.7603
Iteration: 3951; Percent complete: 98.8%; Average loss: 2.4992
Iteration: 3952; Percent complete: 98.8%; Average loss: 2.7989
Iteration: 3953; Percent complete: 98.8%; Average loss: 2.7050
Iteration: 3954; Percent complete: 98.9%; Average loss: 2.8415
Iteration: 3955; Percent complete: 98.9%; Average loss: 2.5711
Iteration: 3956; Percent complete: 98.9%; Average loss: 2.4474
Iteration: 3957; Percent complete: 98.9%; Average loss: 2.7158
Iteration: 3958; Percent complete: 99.0%; Average loss: 2.3755
Iteration: 3959; Percent complete: 99.0%; Average loss: 2.6097
Iteration: 3960; Percent complete: 99.0%; Average loss: 2.6795
Iteration: 3961; Percent complete: 99.0%; Average loss: 2.6131
Iteration: 3962; Percent complete: 99.1%; Average loss: 2.8243
Iteration: 3963; Percent complete: 99.1%; Average loss: 2.6676
Iteration: 3964; Percent complete: 99.1%; Average loss: 2.5903
Iteration: 3965; Percent complete: 99.1%; Average loss: 2.7203
Iteration: 3966; Percent complete: 99.2%; Average loss: 2.6654
Iteration: 3967; Percent complete: 99.2%; Average loss: 2.7572
Iteration: 3968; Percent complete: 99.2%; Average loss: 2.4872
Iteration: 3969; Percent complete: 99.2%; Average loss: 2.3965
Iteration: 3970; Percent complete: 99.2%; Average loss: 2.5340
Iteration: 3971; Percent complete: 99.3%; Average loss: 2.8230
Iteration: 3972; Percent complete: 99.3%; Average loss: 2.7521
Iteration: 3973; Percent complete: 99.3%; Average loss: 2.7239
Iteration: 3974; Percent complete: 99.4%; Average loss: 2.5452
Iteration: 3975; Percent complete: 99.4%; Average loss: 2.8919
Iteration: 3976; Percent complete: 99.4%; Average loss: 2.7041
Iteration: 3977; Percent complete: 99.4%; Average loss: 2.8233
Iteration: 3978; Percent complete: 99.5%; Average loss: 2.5158
Iteration: 3979; Percent complete: 99.5%; Average loss: 2.4792
Iteration: 3980; Percent complete: 99.5%; Average loss: 2.4085
Iteration: 3981; Percent complete: 99.5%; Average loss: 2.5839
Iteration: 3982; Percent complete: 99.6%; Average loss: 2.3715
Iteration: 3983; Percent complete: 99.6%; Average loss: 2.6504
Iteration: 3984; Percent complete: 99.6%; Average loss: 2.5247
Iteration: 3985; Percent complete: 99.6%; Average loss: 2.5436
Iteration: 3986; Percent complete: 99.7%; Average loss: 2.8442
Iteration: 3987; Percent complete: 99.7%; Average loss: 2.3686
Iteration: 3988; Percent complete: 99.7%; Average loss: 2.7750
Iteration: 3989; Percent complete: 99.7%; Average loss: 2.5961
Iteration: 3990; Percent complete: 99.8%; Average loss: 2.4143
Iteration: 3991; Percent complete: 99.8%; Average loss: 2.6968
Iteration: 3992; Percent complete: 99.8%; Average loss: 2.6506
Iteration: 3993; Percent complete: 99.8%; Average loss: 2.6170
Iteration: 3994; Percent complete: 99.9%; Average loss: 2.7686
Iteration: 3995; Percent complete: 99.9%; Average loss: 2.5326
Iteration: 3996; Percent complete: 99.9%; Average loss: 2.5852
Iteration: 3997; Percent complete: 99.9%; Average loss: 2.4688
Iteration: 3998; Percent complete: 100.0%; Average loss: 2.7850
Iteration: 3999; Percent complete: 100.0%; Average loss: 2.7477
Iteration: 4000; Percent complete: 100.0%; Average loss: 2.8893
執行評估¶
要與模型聊天,請執行以下程式碼塊。
# Set dropout layers to ``eval`` mode
encoder.eval()
decoder.eval()
# Initialize search module
searcher = GreedySearchDecoder(encoder, decoder)
# Begin chatting (uncomment and run the following line to begin)
# evaluateInput(encoder, decoder, searcher, voc)
結論¶
本次教程到此結束。恭喜你,現在你已經掌握了構建生成式聊天機器人模型的基礎知識!如果你有興趣,可以嘗試透過微調模型和訓練引數以及定製用於訓練模型的資料來調整聊天機器人的行為。
檢視其他教程,瞭解更多 PyTorch 中很酷的深度學習應用!
指令碼總執行時間: ( 2 分 16.405 秒)



